Измеряемые параметры оптических волокон (ОВ)
Основным «рабочим» элементом оптического кабеля, определяющим его информационную способность, является ОВ. Всю совокупность параметров ОВ принято разделять на следующие группы:
1. Конструктивные:
1.1. Геометрические:
1.1.1. Поперечные, включающие в себя различные параметры, характеризующие размеры и форму поперечного сечения ОВ;
1.1.2. Продольные, связанные с измерением различных длин и расстояний (строительная длина, длина регенерационного участка, расстояние до места неоднородности, и т.д.) - Длина ОВ: L.
.
Поперечные параметры:
1. Максимальный, минимальный, средний диаметры сердцевины: Дcmax, Дcmin, Дcср.

Эллиптичность и эксцентриситет:
; 
Наружный (внешний) диаметр оболочки, средний, минимальный, максимальный: Дu max, Дu min, Дu ср.

Среднее значение принимают наружным (внешним) диаметром оболочки: Дu = Дu ср
Толщина светоизолирующей оболочки, минимальная, максимальная: 
Несоосность (некоаксиальность): 
Неконцентричность: 
2. Оптические:
2.1. Показатель преломления сердцевины
;
2.2. Показатель преломления оболочки
;
.2.3. Максимальная и относительная разности показателей преломления сердцевины и оболочки:
(максимальная);
(относительная);
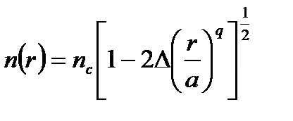
2.4. Профиль показателя преломления (ППП):
;
В градиентных волокнах ППП задается соотношением:
,
где
- радиус сердцевины;
- текущее значение по радиусу;
- показатель степени, который определяет вид профиля (как правило, q=2)
2.5. Апертурный угол или апертура
(угол между оптической осью ОВ и образующей светового конуса, падающего на торец ОВ, при котором выполняются условия полного внутреннего отражения).
2.6. Числовая апертура:
, при
=1 NA = 
где
- показатель преломления (ПП) среды перед торцом ОВ.
2.7. Нормированная частота характеризует волокно и распространяющийся по нему свет

2.8. Длина волны отсечки – это максимальная длина волны, при которой волокно поддерживает только одну распространяемую моду – параметр характерен для одномодового ОВ. Если рабочая длина волны меньше длины волны отсечки, то имеет место многомодовый режим распространения света и появляется дополнительный источник дисперсии – межмодовая, ведущая к уменьшению полосы пропускания ОВ.
Дата добавления: 2015-08-11; просмотров: 1137;
