И МОМЕНТОВ ЭЛЕКТРОМАГНИТА
При перемещении якоря электромагнита из положения
1 в положение
2,
т. е. за путь
, им произведена работа
А . Следовательно, средняя сила притяжения Рср, действовавшая на этом отрезке,
Рср =
А /
. (5-14)
Переходя к пределу, получим формулы для вычисления сил и моментов притяжения якоря электромагнита:
Р =
;
, (5-15
где d
— угол поворота якоря, соответствующий изменению воздушного зазора на d
.
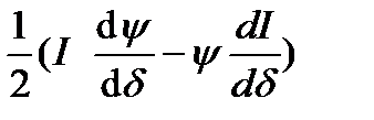
Подставив в уравнение (5-15) выражение (5-11) для dA, получим в общем случае
Р =
. (5-16)
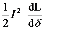
В электромагнитных системах, работающих при постоянной МДС, 1 == const и dI/d
= 0, тогда
Р =
. (5-17)
Согласно выражению (5-4)
= L I,, откуда
= I
+
= I 
так как при I = const, dI/d
= 0, то
Р =
. (5-18)
Учитывая, что L=
, где
— проводимость воздушного зазора,
— число витков катушки, получим
=
Р =
. (5-19)
Здесь произведение w I представляет собой МДС F
, приложенную к воздушному зазору. В таком случае
P =
. (5-20)
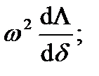
Для электромагнитных систем, работающих при постоянном потокосцеплении
= const, d
/d
= 0 и
P =
. (5-21)
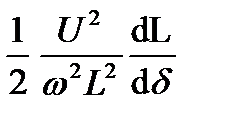
Так как I =
;
= -
;
=
, то
P =
. (5-22)
Заменив в формуле (5-22) U/w = Ф w J/
, a L=
, получим
P =
. (5-23)
С учетом рассеяния
P =
. (5-24)
Таким образом, уравнения (5-20) и (5-24) позволяют определить тяговые усилия для электромагнитов постоянного и переменного тока.
Для построения тяговых характеристик, кроме зависимостей F
= f(
) или
Ф = f(
) , необходимо иметь вспомогательные кривые:
= f(
) /(8);
= f(
);
d
/d
=f(
)).
Сила притяжения электромагнита может быть вычислена по формуле Максвелла:
Р = В
2S
(2
0), (5-25)
где В
— индукция в рабочем зазоре; S
- эквивалентное сечение воздушного зазора;
0 - магнитная проницаемость воздуха.
Формулой (5-25) можно пользоваться, если индукция в воздушном зазоре распределена равномерно. При неравномерном распределении индукции воздушный зазор можно разбить на отдельные параллельные участки
S
и, принимая индукцию равномерной на каждом участке, вычислить силу притяжения как сумму сил отдельных участков. Формулой (5-25) можно также пользоваться, если достаточно точно определена средняя индукция.
При однородном магнитном поле
Р =
. (5-26)
Дата добавления: 2015-08-11; просмотров: 923;
