КОРОТКОЗАМКНУТЫЙ ВИТОК
Если отрывное усилие электромагнита будет Ротр, то дважды за период в точке А (рис. 5-5,в) якорь электромагнита будет отпадать, а в точке В — снова притягиваться, т. е. будет вибрировать с двойной частотой. Вибрация приводит к
износу магнитной системы и сопровождается гудением.
Для устранения вибрации электромагниты переменного тока снабжаются ко-роткозамкнутыми витками (рис. 5-6, а) из проводниковых материалов (медь, латунь), охватывающими часть полюса электромагнита (70 — 80%).
Принцип работы витка заключается в следующем. Общий поток электромагнита Ф разветвляется на поток Ф1, который проходит по не охваченной витком части полюса, и на поток Ф2, который проходит через часть, охватываемую короткозамкнутым витком. При этом в витке индуцируется ЭДС еКЗи возникает ток iКЗ, сдвинутый по отношению к еКЗ, на угол
0 и определяемый весьма незначительной индуктивностью витка. Для упрощения принимаем
0 = 0. Ток iКЗ возбуждает магнитный поток Фкз, который охватывает короткозамкнутый виток и вместе с частью основного потока образует поток Ф2,

Рис. 5-5. Кривые изменения силы притяжения электромагнита переменного тока без короткозамкнутого витка
проходящий через часть полюса, охваченную витком, и сдвинутый во времени по отношению к потоку Ф1 на угол
(рис. 5-6,б и в).
Сила притяжения электромагнита Р складывается из двух пульсирующих, но сдвинутых во времени сил P1 и Р2 (рис. 5-6, г). Благодаря сдвигу их во времени общая сила Р пульсирует много меньше и минимальное значение ее остается выше Ротр, чем и исключается вибрация якоря.
Каждая из сил P1 и Р2 может быть представлена в виде двух составляющих:
Р1 =
-
cos 2
t; (5-31)
Р2 =
-
cos 2(
t-
); (5-32)
Полная сила
Р =
+
. (5.33)
Р =
+
- постоянная составляющая;
- переменная составляющая.
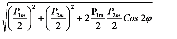
Амплитудное значение Р12т (рис 5-6, д) переменной составляющей
Р12т =
. (5-34)
тогда полная сила
Р =
+
-
. (5-35)
Как видно из уравнения (5-35), пульсация зависит от угла сдвига
, между потоками Ф1 и Ф2. Под пульсацией силы
понимают отношение амплитудных значений переменной и постоянной составляющих:
=
. (5-36)
Пульсация будет отсутствовать при Р12т =0. Это возможно при одновременном выполнении двух условий: '
1) Р1m/2 = Р2m|/2, т.е. Ф1 = Ф2;
2) 2
=
, т. е. угол сдвига между потоками Ф1 и Ф2 должен быть 90°.

Рис. 5-6. Принцип работы короткозамкнутого витка в электромагнитных системах переменного тока
В системах с короткозамкнутым витком достигнуть сдвига потоков на 90° практически невозможно. В осуществляемых системах
= 50 ... 80°. Минимальное
значение пульсации получается при соблюдении первого условия.
Дата добавления: 2015-08-11; просмотров: 1562;
