Фильтр аналоговых входов
Фильтр аналогового входа обеспечивает стабильность аналоговых значений. Фильтр аналогового входа следует активизировать в приложениях, в которых входной сигнал медленно меняется с течением времени. Если речь идет о быстро меняющемся сигнале, то аналоговый фильтр активизировать не следует.
Не рекомендуется применять аналоговый фильтр у модулей, которые передают цифровые данные или сигналы тревоги. Аналоговый фильтр для ведущих модулей с RTD, термопарами и AS–интерфейсом должен быть всегда выключен.
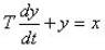
PV фильтр. Фильтр 1 порядка на входной сигнал позволяет уменьшить некоторый шум. Фильтр 1 порядка выражается обыкновенным дифференциальным уравнением. Т – постоянная фильтра для фильтра 1 порядка.

де х-входной сигнал (с аналогового датчика процесса), y -выходной сигнал – отфильтрованный сигнал, Т – постоянная фильтра.
Величины считываются дискретно на интервале выборки . Мы имеем последовательность выборок входов xn, x n-1, x n-2 и последовательность выборок выходов y n, y n-1 , и т.д.
Тогда аппроксимируем:

Преобразуя, получаем:

Время выборки должно быть постоянным.
Входной сигнал с шумом дискретизируется при постояном интервале (обычно 0,1 до 5 с).
Пример
Для шагового ответа в нефильтрованном входе фильтр с временем выборки = 0,5 с и коэффициентом 0,1 даёт 10 выборок, чтобы достигнуть 66 % конечной величины, дающей постоянную времени примерно 5с. Надо точно выбрать и коэффициент фильтра. Обычно время фильтра больше, чем время выборки.

Если очень маленькое, нагрузка на память процессора. Если маленькая величина, то скорость выборки очень быстрая. Типично =0,1 до 5 с и коэффициент фильтра 0.01 до 0.1.
ЛЕКЦИЯ 6.
Дата добавления: 2015-08-11; просмотров: 1568;
