Закон сохранения импульса. Импульс замкнутой системы сохраняется, т.е
Импульс замкнутой системы сохраняется, т.е. не изменяется со временем.
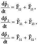
На рисунке изображена замкнутая система, состоящая из трех тел.

По II закону Ньютона (4.6), примененному к каждому телу рассматриваемой замкнутой системы, имеем:

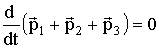
Сложим эти уравнения. Справа, по III закону Ньютона (4.7), получим ноль. Слева - производную по времени от полного импульса системы (5.1.3).

Производная - ноль, значит, сама величина - константа.

если нет внешних сил (система замкнута).
| рх = const, если Fx = 0, рy = const, если Fy = 0, рz = const, если Fz = 0. | |
Если система не замкнута, но внешние силы не действуют на неё вдоль каких-либо осей, то соответствующие компоненты импульса сохраняются, например:
| рх = const, если Fx= 0, рy≠ const, если Fy ≠ 0, рz ≠ const, если Fz ≠ 0. | |
Работа
Дата добавления: 2015-08-08; просмотров: 755;
