Десятичная система счисления
Люди предпочитают десятичную систему, вероятно, потому, что с древних времен считали по пальцам, а пальцев у людей по десять на руках и ногах. Не всегда и не везде люди пользуются десятичной системой счисления. В Китае, например, долгое время пользовались пятеричной системой счисления.
|
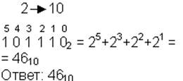
Способ перевода чисел из позиционных систем счисления с основанием отличным от 10 в десятичную систему счисления:
|
|
Дата добавления: 2015-08-08; просмотров: 576;
