Примеры. 1. Составим таблицу истинности для формулы , которая содержит две переменные x и y
1. Составим таблицу истинности для формулы
, которая содержит две переменные x и y. В первых двух столбцах таблицы запишем четыре возможных пары значений этих переменных, в последующих столбцах — значения промежуточных формул и в последнем столбце — значение формулы. В результате получим таблицу:
| Переменные | Промежуточные логические формулы | Формула | |||||
|
|
|
|
|
|
|
|
Из таблицы видно, что при всех наборах значений переменных x и y формула
принимает значение 1, то есть является тождественно истинной.
2. Таблица истинности для формулы
:
| Переменные | Промежуточные логические формулы | Формула | ||||
|
|
|
|
|
|
|
Из таблицы видно, что при всех наборах значений переменных x и y формула
принимает значение 0, то есть является тождественно ложной.
3. Таблица истинности для формулы
:
| Переменные | Промежуточные логические формулы | Формула | ||||||
|
|
|
|
|
|
|
|
|
Из таблицы видно, что формула
в некоторых случаях принимает значение 1, а в некоторых — 0, то есть является выполнимой.
5.11. Как упростить логическую формулу?
Равносильные преобразования логических формул имеют то же назначение, что и преобразования формул в обычной алгебре. Они служат для упрощения формул или приведения их к определённому виду путем использования основных законов алгебры логики.
| Под упрощением формулы, не содержащей операций импликации и эквиваленции, понимают равносильное преобразование, приводящее к формуле, которая либо содержит по сравнению с исходной меньшее число операций конъюнкции и дизъюнкции и не содержит отрицаний неэлементарных формул, либо содержит меньшее число вхождений переменных. |
Некоторые преобразования логических формул похожи на преобразования формул в обычной алгебре (вынесение общего множителя за скобки, использование переместительного и сочетательного законов и т.п.), тогда как другие преобразования основаны на свойствах, которыми не обладают операции обычной алгебры (использование распределительного закона для конъюнкции, законов поглощения, склеивания, де Моргана и др.).
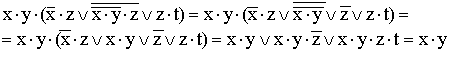
Покажем на примерах некоторые приемы и способы, применяемые при упрощении логических формул:
1)
(законы алгебры логики применяются в следующей последовательности: правило де Моргана, сочетательный закон, правило операций переменной с её инверсией и правило операций с константами);
2)
(применяется правило де Моргана, выносится за скобки общий множитель, используется правило операций переменной с её инверсией);
3)
(повторяетсявторойсомножитель, что разрешено законом идемпотенции; затем комбинируются два первых и два последних сомножителя и используется закон склеивания);
4)
(вводится вспомогательный логический сомножитель (
); затем комбинируются два крайних и два средних логических слагаемых и используется закон поглощения);
5)
(сначаладобиваемся, чтобы знак отрицания стоял только перед отдельными переменными, а не перед их комбинациями, для этого дважды применяем правило де Моргана; затем используем закон двойного отрицания);
6)
(выносятся за скобки общие множители; применяется правило операций с константами);
7)
(к отрицаниям неэлементарных формул применяется правило де Моргана; используются законы двойного отрицания и склеивания);
8)
(общий множитель x выносится за скобки, комбинируются слагаемые в скобках — первое с третьим и второе с четвертым, к дизъюнкции
применяется правило операции переменной с её инверсией);
9)
(используются распределительный закон для дизъюнкции, правило операции переменной с ее инверсией, правило операций с константами, переместительный закон и распределительный закон для конъюнкции);
10)
(используются правило де Моргана, закон двойного отрицания и закон поглощения).
Из этих примеров видно, что при упрощении логических формул не всегда очевидно, какой из законов алгебры логики следует применить на том или ином шаге. Навыки приходят с опытом.
5.12. Что такое переключательная схема?
В компьютерах и других автоматических устройствах широко применяются электрические схемы, содержащие сотни и тысячи переключательных элементов: реле, выключателей и т.п. Разработка таких схем весьма трудоёмкое дело. Оказалось, что здесь с успехом может быть использован аппарат алгебры логики.
| Переключательная схема — это схематическое изображение некоторого устройства, состоящего из переключателей и соединяющих их проводников, а также из входов и выходов, на которые подаётся и с которых снимается электрический сигнал. |
Каждый переключатель имеет только два состояния: замкнутое и разомкнутое. Переключателю Х поставим в соответствие логическую переменную х, которая принимает значение 1 в том и только в том случае, когда переключатель Х замкнут и схема проводит ток; если же переключатель разомкнут, то х равен нулю.
Будем считать, что два переключателя Х и
связаны таким образом, что когда Х замкнут, то
разомкнут, и наоборот. Следовательно, если переключателю Х поставлена в соответствие логическая переменная х, то переключателю
должна соответствовать переменная
.
Всей переключательной схеме также можно поставить в соответствие логическую переменную, равную единице, если схема проводит ток, и равную нулю — если не проводит. Эта переменная является функцией от переменных, соответствующих всем переключателям схемы, и называется функцией проводимости.
Найдем функции проводимости F некоторых переключательных схем:
a) 
Схема не содержит переключателей и проводит ток всегда, следовательно F=1;
б) 
Схема содержит один постоянно разомкнутый контакт, следовательно F=0;
в) 
Схема проводит ток, когда переключатель х замкнут, и не проводит, когда х разомкнут, следовательно, F(x) = x;
г) 
Схема проводит ток, когда переключатель х разомкнут, и не проводит, когда х замкнут, следовательно, F(x) =
;
д) 
Схема проводит ток, когда оба переключателя замкнуты, следовательно, F(x) = x . y;
е) 
Схема проводит ток, когда хотя бы один из переключателей замкнут, следовательно, F(x)=x v y;
ж) 
Схема состоит из двух параллельных ветвей и описывается функцией
.
| Две схемы называются равносильными, если через одну из них проходит ток тогда и только тогда, когда он проходит через другую (при одном и том же входном сигнале). Из двух равносильных схем более простой считается та схема, функция проводимости которой содержит меньшее число логических операций или переключателей. |
Задача нахождения среди равносильных схем наиболее простых является очень важной. Большой вклад в ее решение внесли российские учёные Ю.И. Журавлев, С.В. Яблонский и др.
При рассмотрении переключательных схем возникают две основные задачи: синтез и анализ схемы.
СИНТЕЗ СХЕМЫ по заданным условиям ее работысводится к следующим трём этапам:
- составлению функции проводимости по таблице истинности, отражающей эти условия;
- упрощению этой функции;
- построению соответствующей схемы.
АНАЛИЗ СХЕМЫ сводится к
- определению значений её функции проводимости при всех возможных наборах входящих в эту функцию переменных.
- получению упрощённой формулы.
Дата добавления: 2015-08-08; просмотров: 1345;
