Пептиды. Белки
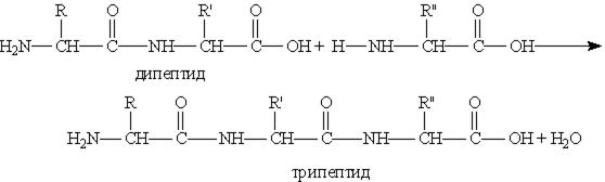
Пептиды — это высокомолекулярные соединения, содержащие от 2 до 100 аминокислотных остатков. Две молекулы аминокислоты могут реагировать друг с другом с отщеплением молекулы воды и образованием продукта, в котором фрагменты связаны пептидной связью —СО—NH —.

Полученное соединение называют дипептидом. Представителем самых «маленьких» пептидов являются содержащиеся в мышцах животных и человека карнозин и ансерин. Молекула дипептида, подобно аминокислотам, содержит аминогруппу и карбоксильную группу и может реагировать еще с одной молекулой аминокислоты:

Продукт реакции называется трипептидом. Один из наиболее распространенных трипептидов – глутатион – содержится во всех животных, растениях и бактериях. Глутатион участвует в ряде окислительно- восстановительных процессов. Он выполняет функцию протектора белков и защищает свободные тиольные группы от нежелательного окисления .

Процесс наращивания пептидной цепи может продолжаться в принципе неограниченно (поликонденсация) и приводить к веществам с очень высокой молекулярной массой (белкам). Некоторые пептиды способны проявлять антибактериальное действие и используются как лекарственные средства. Например, грамицидин – S – циклический декапептид, оказывающий антибактериальное действие на стрептококки, пневмококки и другие микроорганизмы.
Большое значение имеет группа пептидов, проявляющих гормональное действие. Гормоны задней доли гипофиза – окситоцин и вазопрессин являются нанопептидами и имеют близкую первичную структуру. Различие в структуре приводит к формированию специфического биологического действия каждого из этих гормонов. Так, окситоцин образуется только у женщин и вызывает сокращение гладкой мускулатуры матки и применяется в гинекологии и акушерстве для стимуляции родовой деятельности. Вазопрессин регулирует минеральный обмен и встречается и в мужском и женском организме.
Инсулин – гормон, ответственный за контроль метаболизма углеводов, жиров и белков. Его вырабатывает поджелудочная железа. С недостатком инсулина связано заболевание – сахарный диабет.
Белки— это природные полипептиды с высокими значениями молекулярной массы (от 10 000 до десятков миллионов), состоящие более 100 аминокислотных остатков. Они входят в состав всех живых организмов и выполняют разнообразные биологические функции.
Можно выделить четыре уровня в строении полипептидной цепи. Первичная структура белка — это конкретная последовательность аминокислот в полипептидной цепи. Пептидная цепь имеет линейную структуру только у небольшого числа белков. В большинстве белков пептидная цепь определенным образом свернута в пространстве.
Вторичная структура — это конформация полипептидной цепи, т. е. способ скручивания цепи в пространстве за счет водородных связей между группами NH и СО. Основной способ укладки цепи — спираль.
Третичная структура белка — это трехмерная конфигурация закрученной спирали в пространстве. Третичная структура образуется за счет дисульфидных мостиков —S—S— между цистеиновыми остатками, находящимися в разных местах полипептидной цепи. В образовании третичной структуры участвуют также ионные взаимодействия противоположно заряженных групп NH3+ и СОО- и гидрофобные взаимодействия, т. е. стремление молекулы белка свернуться так, чтобы гидрофобные углеводородные остатки оказались внутри структуры.
Третичная структура — высшая форма пространственной организации белков. Однако некоторые белки (например, гемоглобин) имеют четвертичную структуру, которая образуется за счет взаимодействия нескольких полипептидных цепей.
Дата добавления: 2015-08-04; просмотров: 1071;
