Розчину рефрактометром.
Мета роботи: вивчити принцип роботи рефрактометра та дослідити залежність показника заломлення розчину від концентрації.
Прилади й матеріали: рефрактометр, набір кювет з розчинами різної концентрації, піпетка, марлеві серветки.
Професійне значення теми.
Явище повного внутрішнього відбиття використовується при встановленні гнучких світловодів. Зараз цей принцип використовується при встановленні приладів із волоконною оптикою. Огляд за допомогою оптичних приладів стінок деяких доступних порожнин організму: носоглотки, трахеї, бронхів, шлунку, січового міхура та ін. - називається ендоскопією. З цією метою використовують такі прилади , як оглядовий цистоскоп, гастроскоп, ендоскоп.
Для визначення чистоти води, концентрації загального білка, сироватки крові, для ідентифікації різних речовин, для аналізу жирних кислот тощо, використовують рефрактометри.
Рефрактометр широко використовується в харчовій, хімічній промисловості та сільському господарстві. В медицині за його допомогою визначають концентрацію білка та його окремих фракцій у крові: концентрацію цукру та інших речовин у розчинах, роблять аналіз шлункового соку, сечі. Знання основ рефрактометрії та вміння користуватися рефрактометром необхідні в практичній роботі як фармацевтів, так і інших медичних фахівців.
І. Теоретичне обгрунтування теми.
1.1 Явища заломлення, основні поняття й закони.
Принцип роботи рефрактометра побудований на явищі заломлення (рефракції) світла при його переході з одного середовища в інше.
Заломленням називається зміна світлових променів на межі розділу двох середовищ (мал. І).
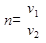
Нехай швидкість світла в першому середовищі дорівнює VI у другому - V2, МN - межа розділу двох середовищ. Якщо V1>V2, то перше середовище менш щільне стосовно іншого. Кут α між перпендикуляром, поставленим у точку падіння променя на межі розділу двох середовищ (точка о) і «променя, що падає» називається кутом падіння.
Кут β між перпендикуляром другого середовища і заломленим променем називається кутом заломлення. Заломлення підпорядковується двом законам. Перший із них формулюється так: промінь падаючий, промінь заломлений і перпендикуляр, поставлений у точку падіння променя на межі розділу двох середовищ, лежать в одній площині.

Мал.1 .
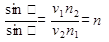
Цей закон є основою геометричної оптики. Він дозволяє правильно будувати хід променів у різних оптичних приладах і системах. Другий закон установлює співвідношення між швидкістю поширення світлових променів у різних середовищах і кутами падіння й заломлення, а також вводить поняття відносного показника заломлення світла в середовищі: відношення синуса кута падіння до синуса кута заломлення є постійна для даних двох середовищ величина, яка називається відносним показником світла в другому середовищі стосовно першого:
.
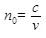
Фізичний зміст відносного показника заломлення полягає в тому, що він показує відношення швидкості світла в першому середовищі V1
до швидкості світла V2 у другому: відношення швидкості світла «c» у вакуумі до швидкості світла «v»
у даному середовищі називають абсолютним показником заломлення. При переході променя із середовища менш щільного в більш щільне кут заломлення β<а. У міру того, як збільшується кут падіння а<90,збільшується й кут заломлення ft (мал. 2). При куті падіння а≈90 заломлений у другому середовищі промінь 3 буде граничним, а кут заломлення всередині якого поширюються всі промені, заломлені в другому середовищі, називається граничним кутом заломлення.
Граничний кут визначає межу поширення заломлених променів, які виходять із призми (мал.2).
Якщо на шляху цих променів розташувати зорову трубу так, щоб граничний промінь 3 проходив уздовж її вісі, то одна половина поля зору (праворуч від граничного променя л)
|
буде темною, а друга (ліворуч від цього променя ) - світла, тобто поле зору буде розділено на дві різні за освітлюваністю половини.
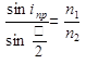
Для випадку граничного кута заломлення, у відповідності з другим законом, можна написати:
;
[4]
Із (4) виходить, що
[5]
Користуючись формулою(5), можна знайти показник заломлення рідини, що знаходиться на поверхні ПРИЗМИ. Для цього треба знати показник заломлення речовини в призмі й граничний кут βпр. Але визначати граничний кут заломлення βпр усередині призми складно, тому вимірюють не його, а кут βпр виходу граничного променя з другої грані призми. Вимір роблять за допомогою зорової труби, у фокальній поверхні якої натягнутий хрест мол і три риски (вони являють собою візирну лінію). Наводять візирну лінію на межу світлотіні й βф та визначають граничний кут βпр. Практично ж не доводиться робити вимір βф таі, через те , що при виготовленні приладів показники заломлення різних речовин (яким відповідають різні кути βпр) наносять відразу на шкалу приладів.
Якщо світло переходить із оптично більш щільного середовища в оптично менш щільне, тоді кут заломлення більше кута падіння (мал. 3).
При деякому куті падіння Іпр кут заломлення β=900, тобто заломлений промінь 3, що відповідає граничному променю 3, сковзає вздовж межі розділу двох середовищ. При подальшому збільшенні кута падіння всі промені, які падають на поверхню розділу, починають відбиватися від межі розділу в те ж середовище, з якого вони вийшли, тобто зазнають повного внутрішнього відбиття.

У цьому випадку кут падіння і, при якому заломлений у менш щільному середовищі промінь починає сковзати вздовж межі розділу двох середовищ, називається граничним кутом повного внутрішнього відбиття.
Тому що
,
то при явищі повного внутрішнього відбиття в зоровій трубі також спостерігається поділ поля зору на світлу й темну частини. Таким чином, граничний кут заломлення й граничний кут повного відбиття для даних двох середовищ залежать від показників заломлення. Це знайшло своє застосування в приладах для вимірювання показника заломлення речовин у рефрактометрах.
2. Будова і принцип роботи рефрактометра.
2.1 В основу рефрактометра покладений метод визначення показника заломлення досліджуваної речовини по граничному куті заломлення й повного внутрішнього відбиття.
2.2 Оптична схема приладу (див. мал. 4).
Досліджуваний розчин розташовують між площинами двох призм - освітлювальної 4 і вимірювальної 5. Від джерела світла 1 конденсором 2, З промінь світла направляється на вхідну грань освітлювальної призми, потім проходить тонкий шар досліджуваної речовини й заломлюється на межі цієї речовини та площини вимірювальної призми.
На підставі закону граничного заломлення:
, де
- показник заломлення, досліджуваної речовини;
nо- показник заломлення скла оптичного, з якого виготовлена вимірювальна призма;
І - граничний кут заломлення.
Промені, граничні й заломлені під різними кутами, що вийшли потім з вимірювальної призми крізь другу її грань, фокусуються об'єктивом 8 зорової труби в її поле зору, відображаючи світлу й темну частину поля, розділену прямою межею. Межею світлотіні є граничні промені.
Для фіксацій положення межі світлотіні щодо нерухомої шкали 10 зорова труба обертається відносно вісі. Через окуляр 11 зорової труби спостерігається межа світлотіні, перехрестя сітки 9 та шкала 10. Шкала розрахована на підставі формули граничного заломлення (1) і обчислювання ходу граничних променів, що вийшли з вимірювальної призми.
Для компенсації дисперсії променів, що вийшли з вимірювальної призми, у зоровій трубі встановлені дві призми прямого зору G1 що обертаються щодо вісі зорової труби. Шляхом обертання призми встановлюють таке положення, при якому межа світлотіні не має спектрального фарбування. Відлік за шкалою робиться після усунення спектрального фарбування межі світлотіні в положенні перетинання межею світлотіні центру перехрестя сітки по лінії межі світлотіні.
2.3. Конструктивно прилад складається із двох основних частин (див. мал. 5):, верхньої – корпусу 2, нижньої – основи 1.

Мал.4 Оптична. схема рефрактометра.
2.4. 1- джерело світла; 2,3- конденсатор; 4 - призма освітлювальна; 5 - призма вимірювальна; 6 -11 призма прямого зору; 7 - призма відбивна; 8 - об'єктив зорової труби; 9 - сітка; 10 – шкала; 12 – окуляр зорової труби.
2.5. До корпусу приладу кріпляться камери: верхня 6 і нижня 3. Нижня камера, що містить у собі вимірювальну призму, жорстко закріплену на корпусі, верхня ж камера, що містить у собі освітлювальну призму, з'єднана шарніром із нижньою та може повертатися відносно неї.
Нижня та верхня частини камери мають вікна, що закриваються пробкою. На штуцері нижньої камери рухомо укріплений освітлювач 4, світло від якого може бути спрямоване в одне з вікон камери.
Кожна камера обладнана двома штуцерами, з'єднаними з каналами, розташованими всередині камери. Штуцери призначені для підведення термостатуючої рідини.
Канали камер з'єднуються між собою за допомогою гумових трубок, що надіваються на штуцери.
Для контролю температури вимірюваного розчину використовується термометр 5, укріплений на штуцері нижньої камери за допомогою накидної гайки. З боку передньої кришки корпуса видно шкалу (9) рефрактометра. На вісі приладу укріплені:
• ручка 11 з окуляром 10 та настроювальний механізм 14, що полегшує сполучення межі світлотіні з перехрестям сітки;
• лімб дисперсії 7 для усунення забарвленості межі світлотіні, що спостерігається в окулярі;
• механізм наведення, що перебуває всередині корпусу, що разом з ручкою може повертатися на вісі вздовж шкали.
На корпусі розташований отвір, закритий пробкою 8, що служить для введення ключа 13 та установки нуль - пункту.
2.5. Всередині підставки рефрактометра розташований понижувальний трансформатор, запобіжник та весь електричний монтаж.
На передній стінці підставки розташовано перемикач для вмикання освітлювача.
На боковій стінці розташовано шнур із штепсельною вилкою 12 для підводки живлення від мережі.
Доступ до запобіжника здійснюється з боку дна підставки.

Мал.5. Загальний вид приладу
1-підставка; 2-корпус; 3 – нижня камера; 4 освітлювач; 5- термометр; 6- верхня камера ; 7 – лімб компенсації дисперсии; 8 – пробка; 9-шкала ; 10-окуляр; 11 – рукоятка; 12-шнур з вилкою; 13- ключ установки нуль-пункту; 14 – механізм, що настроює.
3. Підготовка до роботи
Після зовнішнього огляду та перевірки комплектності розпочинають підготовку рефрактометра до роботи, для чого необхідно:
3.1 Підготувати рефрактометр у зручне для вимірів положення.
3.2 Встановити термометр на штуцер нижньої камери та зміцнити накидною гайкою.
3.3 За допомогою гумових трубок приєднати камеру до термостатуючої установки та з'єднати між собою частини камери так (див. мал 6), щоб вода надходила у верхню частину камери, а виходила зі штуцера, на якому встановлений термометр.
Установити температуру в камері 20+0,1 °С.
3.4 Включити рефрактометр у мережу.

З'єднання рефрактометра з термостатом мал. 6
4. Хід роботи.
4.1 Перед початком роботи необхідно перевірити установку нуль-пункту рефрактометра.
Установка нуль-пункту та вимір на рефрактометрі необхідно проводити при температурі 20+0,1°С.
4.2 Перевірку та установку нуль - пункту потрібно робити на дистильованій воді. При дослідженні дистильованої води межа світлотіні повинна перебувати на 1,33299 шкали n0 та 0% шкали сухих речовин.
4.3 Перевірка та установка нуль - пункту на дистильованій воді відбувається таким чином:
• зняти пробку з вікна верхньої камери, вікно нижньої камери повинно бути закритим;
• відкрити верхню камеру та промити дистильованою водою або спиртом поверхні вимірювальної та освітлювальної призм й насухо витерти чистою лляною серветкою;
• оплавленим кінцем палички нанести на площину вимірювальної призми одну- дві краплі дистильованої води та закрити верхню камеру;
• зміщуючи освітлювач, промінь світла спрямувати у вікно верхньої камери;
• переміщенням ручки з окуляром (усередині приладу разом з ручкою переміщується механізм наведення) вздовж шкали нагору та вниз увести в поле зору межу світлотіні;
• різкість межі світлотіні, штрихів шкали та перехрестя сітки щодо ока спостерігача встановити обертанням гайки окуляра;
• обертанням ручки дисперсійного конденсатора усунути забарвлення межі світлотіні;
• поворотом важеля освітлювача та обертанням освітлювача щодо вісі домогтися максимально контрастної межі світлотіні;
• межу світлотіні, зміщюючи ручку, підвести до центру перехрестя сітки: якщо при сполученні з центром перехрестя сітки вона пройшла через розподіли шкали nD =1,33299 і 0% шкали сухих речовин, то нуль - пункт установлений правильно. Якщо цього немає, то установка нуль - пункту відбувається таким чином:
• центр перехрестя встановити щодо шкали приблизно на одній лінії з розподілами нуль - пункту;
• зняти гумову заглушку на корпусі приладу;
• ввести в отвір корпусу ключ, прикладений до приладу та встановити його на квадрат гвинта, що знаходиться всередині приладу на механізмі наведення, обертанням ключа границю світлотіні підвести до центру перехрестя сітки до необхідного розподілу шкали n0 і шкали сухих речовин;
• установку нуль - пункту перевірити два - три рази шляхом зсуву
ручки межі світлотіні та повторним наведенням її до перехрестя сітки.
4.4 Вимір показника заломлення прозорих рідин і відсотка сухих речовин щодо сахарози робиться аналогічно виміру дистильованої води при установці нуль - пункту (див. п. 4.3)
• після сполучення межі світлотіні з перехрестом сітки зробити відлік щодо
шкали показників заломлення або відсоток сухих речовин по сахарозі. Вимір зробити три рази.
Середнє арифметичне трьох відліків є кінцевим результатом вимірів. Вимір продуктів цукрового виробництва можна робити при температурі +10-30°С з урахуванням виправлення на температуру за таблицею. Наприклад, якщо виміри проводилися при температурі 17°С, що дорівнює 37,8% сухих речовин. За таблицею знаходимо виправлення, рівні 0,22. Показання рефрактометра дорівнюватиме: 37,80 - 0,22 = 37,58% сухих речовин. Після проведення вимірів необхідно відкрити верхню камеру, промити, насухо витерти площини верхньої та нижньої камер і повільно опустити верхню камеру приладу.
4.5 Вимір нев'язких темних розчинів.
Вимір нев'язких темних розчинів можна робити в світлі, що проходить (світло направляється в вікно верхньої камери) або у відбитому світлі (світло направляється у вікно нижньої камери). Це визначається дослідним шляхом залежно від контрольованої речовини. Для роботи в світлі,що проходить при дослідженні розчинів, прилад забезпечується червоним світлофільтром, який необхідно одягти на освітлювач замість діафрагми з боку камери приладу.
4.6 Вимір в'язких темних розчинів.
Для виміру в'язких темних розчинів передбачена призма, що додається до приладу:
• на гіпотенузну грань наносять досліджуваний розчин, і цією гранню вона встановлюється на вимірювальну призму приладу таким чином, щоб світлофільтр призми (полірована грань) була звернена до освітлювача;
• освітлювач та окуляр установити в потрібне положення й зробити відлік.
4.7 Вимір показника заломлення.
Досліджуваний зразок має бути оптично однорідним, конфігурація його може бути будь-яка за умови наявності двох взаємно перпендикулярних полірованих площин, одна з них повинна дорівнювати за своїм розміром вхідної грані вимірювальної призми. Товщина досліджуваних зразків може бути різною, але не менш ніж 0,15 мм.
Неплощинність грані, що стикається з поверхнею грані вимірювальної призми, не повинна перевищувати 0,6 мкм, тобто двох інтерференційних смуг. Для дослідження зручно виготовляти прямокутні бруски розміром 10x30x4 мм, у яких дві грані розміром 10х4 і 10х30 мм поліровані, а інші - матові. Ребра між боковими та нижніми гранями не повинні мати фасок.
Вимір показника заломлення твердих тіл робиться таким чином:
• відкрити верхню камеру, поверхню вимірювальної призми й поліровану більшу поверхню контрольної призми, промити спиртом і дати просохнути;
• на більшу поліровану поверхню зразка нанести оплавленим кінцем палички 2-3 краплі імерсійної рідини - монобромнафталіну та цією поверхнею встановити зразок на поверхню вимірювальної призми так, щоб мала полірована поверхня зразка була повернена до освітлювача. Зразок злегка пригорнути, щоб рідина поширювалася рівномірно по всій товщині шару. Про рівномірність шару можна судити за інтерференційними смугами, які видно через матову грань зразка. Кількість смуг не може бути більше трьох і вони мають бути спрямовані паралельно світлу, яке падає. Якщо смуги нахилені до напрямку поширення світла, то це означає, що рідина розподілилася у вигляді клина.
У цьому випадку потрібно перевстановити зразок:
• поворотом важеля освітлювача та обертанням освітлювача на вісі домогтися максимально контрастної межі світлотіні;
• межу світлотіні, переміщаючи ручкою, піднести до центру перехрестя сітки та по межі світлотіні зробити відлік за шкалою показників заломлення.
Для речовин, показник яких не перевищує 1,65, у якості імерсійної рідині застосовується монобромнафталін (nD-1,66). Для речовин з більш високим показником заломлення приміщується імерсійна рідина, у якої n0=1,710. Рідину необхідно зберігати в закритій посудині.
Рідина отруйна, тому використовувати її треба дуже обережно.
При зміні показника заломлення скла коливання температури в межах ±30С не враховується.
4.8. Вимір показника заломлення пофарбованих і мутних речовин.
Виміри показника заломлення пофарбованих або мутних речовин робляться в відбитому світлі. Для цього відкривається вікно нижньої камери, вікно верхньої камери має бути закритим пробкою. У вікно нижньої камери направляється промінь світла від освітлювача.
Вимір показника заломлення пофарбованих і мутних речовин роблять так само, як і вимір прозорих розчинів (див. п.4.4).
4.9. Вимір середньої дисперсії.
Для визначення середньої дисперсії досліджуваний зразок або пробу встановлюють так само, як при вимірі показника заломлення. Після сполучення межі світлотіні з перехрестям сітки зорової труби роблять відлік показника заломлення n1 і кількості поділок Z1 по дисперсійному лімбу.
При вимірах кількості поділок Z варто зробити не менш п'яти відліків та знайти середнє арифметичне – Zср.
Величину середньої дисперсії (nf-nс) визначають за величинами А,В, і δ досліджуваної речовини за допомогою формули (2):
=A+ В
(2).
Величини коефіцієнтів А і В визначають за обмірюваним значенням показника заломлення n1, за таблицями дисперсійних коефіцієнтів, данних у додатку 2.
Величину δ визначають за обмірюваним значенням Zсp, за таблицею у додатку 3.
Через те, що в таблицях значення дисперсійних коефіцієнтів А і В дані показники заломлення n0 через кожну 1х10-3, а на рефрактометрі можна виміряти заломлення з точністю до 1х10-4 , то відповідні обмірюваним значенням коефіцієнти А і В одержують через інтерполяцію. Аналогічно для дробових значень Z значення δ визначають інтерполяцією.
При обчисленнях середньої дисперсії необхідно пам'ятати, що для Z, більше 30, величина δ приймає негативні значення.
Приклад запису результату виміру при визначенні середньої дисперсії дистильованої води.
Вода при 200 С має nD=1,33299.
Відліки за лімбом компенсатора :
375;
37.4;
37.5;
37.4;
37.5.
Середнє 37.5.
Загальне Z ср.= 37,5.
За додатком 2 для n0 = 1,33299 визначається: А=0, 02219 і В=0,04227
За додатком 3 визначається: для Z=37,5: δ =-0,383.

Коефіцієнт дисперсії Аббе обчислюється за формулою (3):
. [3]
Завдання для самопідготовки.
1.Взаємодія світла з речовиною.
2.Відбиття світла.
3. Суть явища рефракції світла. Фізичний зміст показника заломлення світла. Абсолютний та відносний показник заломлення .
4. Рефракція світла при проходженні його з середовища більш щільного оптично в середовище менш щільне. Граничний кут повного внутрішнього відображення та його зв'язок з показником заломлення.
5 .Рефракція світла при проходженні його з середовища оптично менш щільного в середовище оптично більш щільне. Граничний кут заломлення та його зв'язок з показником заломлення речовини.
6. Будова рефрактометра. Оптична схема: хід променів в рефрактометрі в прохідному світлі. Хід променів у відбивному світлі. Пристрої для нагляду повного внутрішнього відбиття.
7. Методика визначення показника заломлення рефрактометром у прохідному та відбивному світлі. Використання рефрактометра в медицині.
8.Дослідження залежності показника заломлення речовини від її концентрації.
Задачі.
1. При визначенні показника заломлення розчину межа поля зору виявилася забарвленою в різні кольори. Пояснити причини та способи усунення забарвлення.
2 Граничний кут повного внутрішнього відбиття для спирту 470. Знайти показник заломлення світла для спирту.
3. Показник заломлення води – 1,3; скіпидару - 1,5. Знайти показник заломлення скіпидаром відносно води.
Завдання для перевірки знань за темою.
1.Яке явище зветься рефракцією світла?
1.Явище падіння променів на межу розділу двох середовищ під кутом
.
2.Явище зміни швидкості світла та його напрямок при переході через межу розділу двох середовищ.
3.Явище зміни довжини хвилі при переході світлової хвилі з одного середовища до другого.
4.Явище зміни частоти коливання при переході світлової хвилі з одного середовища до другого.
5.Явище падіння променя на граничну межу двох середовищ перпендикулярно.
2.На якому принципі працює рефрактометр?
1.Повного внутрішнього відбиття світлового променя.
2.На визначенні абсолютного показника заломлення.
3.На визначенні граничного кута заломлення світла.
4.На визначенні показника заломлення речовини.
5.Поляризація світла.
3.Як записується показник заломлення речовини, якщо α-кут падіння, β- кут відображення, γ - кут заломлення.
1.
;
2.
;
3.
;
4.
;
5.
.
4.Що відбувається у верхній освітлюванній призмі рефрактоматра?
1.Відображення світла.
2.Розсіювання світла.
3.Поляризація світла.
4.Заломлення світла.
5.Заломлення та розсіяння світла.
5.Під яким кутом промінь світла входить до вимірюванної призми?
1.Під граничним кутом заломлення.
2.Під кутом 90°.
3.Під кутом в двічі більшим ніж кут падіння.
4.Під кутом заломлення.
5.Під кутом більш граничного.
6.Від чого залежить показник заломлення середовища?
1.Від кута падіння променів.
2.Від кута заломлення променів.
3.Від кута відображення променів.
4.Від довжини хвилі та оптичної щільності середовища.
5.Від здібності поверхні заломлювати промені.
7.При яких умовах можливе повне внутрішнє відбиття світла?
1.Якщо промінь переходить із оптично менш щільної речовини в оптично більш щільну.
2.Якщо промінь переходе із оптично більш щільної речовини в оптично менш щільну.
3.Якщо промінь переходить із одного середовища в друге оптичні щільності котрих однакові;
4.Якщо промінь падає перпендикулярно до межі розділу двох середовищ.
5.Якщо промінь падає паралельно до границі межі двох середовищ.
8.З яких основних частин складається рефрактометр?
1.Двох прозорих призм та окуляра.
2.Двох матових призм.
3.Прозора призма, матова призма, компенсаторні призми, зорова труба.
4.Двох скляних призм, зорової трубки.
5.Зорової трубки та призми.
9.Вкажіть вірний хід променів у рефрактометрі:
| | |
|
1. 2. 3. 4. 5.
10.Поле зору окуляра рефрактометра розділено на дві частини – темну та світлу тому, що:
1.Відбувається поглинання світла.
2.Світло проходить крізь компенсаторні призми.
3.Відбувається відображення світла.
4. Повне внутрішнє відбиття.
5.Промені, ковзають вздовж вимірюванної призми, після заломлення промінь під повним кутом і визначає межу розповсюдження світла.
Еталони відповіді: 1-2; 2-1, 3; 3-1; 4-2; 5-1,4; 6-4; 7-2; 8-3; 9-1; 10-4.
Література:
1. Лівінцев Н.М. Курс фізики. - М:"Высшая школа», 1978, с. 228-231.
2.Ремизов А.Н. Курс физики, электроники и кибернетики для мед. институтов.-М.: «Высшая школа» 1982., с. 346-347.
3.Ремизов А.Н. Курс физики.- М.: «Высшая школа», 1976, т.2, с. 186-187.
4.Агапов Б.Т., Максютин Г.В., Островерхов П.И. Лабораторний практикум по физике.- М.: «Высшая школа», 1982, с. 197- 203.
5. Чалий О.В., Агапов Б.М., Цехмістер Я.В. та інш. “Медична і біологічна фізика” - К.: Книга-плюс, 2005, с. 562-566
Тема: Визначення коефіцієнта пропускання світла і концентрації
речовини в розчині за допомогою фотоелектроколориметра КФК-2.
Мета роботи: Вивчити будову, принцип роботи та методику практичного
використання фотоелектроколориметра КФК-2.
Прибори та матеріали: 1. Колориметр фотоелектричний концентраційний КФК-2.
2. Набір кольорових розчинів різної концентрації.
І. Теоретичне обґрунтування роботи.
І.1. Призначення КФК-2
КФК використовується в біології та медицині для визначення законів поглинання світла розчинами. В клінічній практиці його застосовують для вимірювання насичення крові киснем. Це має значення для функціональної діагностики роботи органів і тканин організму.
КФК призначений для вимірювання в окремих ділянках діапазонну довжини хвиль 315 - 980 мм., які виділяються фільтрами , коефіцієнтів пропускання та оптичної густини розчинів, а також визначення концентрації речовин в розчині методом градуйованих графіків.
Колориметр дозволяє також робити вимірювання коефіцієнтів пропускання розсіюючих суспензій, емульсій та колоїдних розчинів в пропущеному світлі.
І.2. Будова концентраційного фотоелектроколориметра КФК-2.
Колориметр складається з 2-х блоків, з’єднаних в одне - механічно: оптичний блок і блок живлення. Зовнішній вигляд прибору приведено на мал.1., де:
1. Мікроамперметр із шкалою від 0 - 100 поділок. який відповідає шкалі коефіцієнта пропускання t і оптичної густини Д;
2. Устрій що освітлює.
3. Ручка для перемикання світлофільтрів.
4. Ручка перемикача положення кювет.
5. Ручка включення фотоприймальників.
6. Ручка регулювання чутливості "Грубо".
7. Кришка кюветного відділення.
8. Ручка регулювання чутливості "Точно".
Оптичний блок (Мал.2.)
В оптичний блок входять: освітлювач, оправа з оптикою, набір світлофільтрів, кюветне відділення, держач кювет. фотометрична будова з підсилювачем постійного струму і елементами регулювання, прилад що реєструє.
Нитка лампи 1 з конденсором 2 зображена в площині діафрагми 3 ø 2мм. Це зображення об’єктивом 4,5 переноситься в площину, яка стоїть від об’єктива на відстані 300мм., із збільшенням 10х . Кювета 10 з досліджуваним розчином вводиться в світовий пучок між захисними склами 9,11. Для виділення вузьких ділянок спектра із суцільного спектра випромінювання лампи в колориметрі є набір кольорових фільтрів світла 8.
Теплозахісний світофільтр 6 введений в пучок світла при роботі в видимій частині спектра (400 - 490)нм. Для послаблення потоку світла при роботі в спектральному діапазоні 400 - 450 нм. встановлені нейтральні фільтри світла 7.
Фотоприймачі працюють в різних ділянках спектра:
· фотоелемент Ф-26 17 - в ділянках спектра 315 - 540 нм.
· фотодіод ФД - 24К 12 - в ділянці спектра 590 - 980 нм.
Пластина 15 поділяє потік світла на два: 10% світлового потоку направляється на фотодіод ФД - 24К і 90% - на фотоелемент Ф-26. Для зрівняння фототоків, які знімаються з фотоприймача ФД-24К при роботі з різними кольоровими фільтрами світла, перед ним встановлений світлофільтр 14 із кольорового скла – 16.
При роботі з кюветами 19 малої місткості в кюветне відділення встановлюється приставка 21 для мікроаналізу. Лінзи 20 зменшують пучок світла у місті, де встановлені мікрокювети або пробірки. Лінзи 18 відновляють пучок світла до початкового діаметра.
І.3. Принцип роботи КФК-2
Принцип вимірювання коефіцієнта пропускання світла полягає в тому, що на фотоприймач по черзі направляються світлові потоки: повний Fох і той, який пройшов через досліджуване середовище Fх , і визначає співвідношення цих потоків.
Відношення потоків є коефіцієнт пропускання розчину, що досліджується
. [1]
На колориметрі це відношення визначається таким чином. Спочатку у потоці світла розташовують кювету з розчинником або контрольним розчином. Зміною чутливості колориметра досягають того, щоб відлік за шкалою коефіцієнтів пропускання колориметра дорівнював n1 = 100% поділок. Таким чином, повний світловий потік
умовно дорівнює 100%. Потім в світловому потоці розмішують кювету з досліджуваним розчином. Одержаний відлік
за шкалою коефіцієнтів пропускання досліджуваного розчину в % буде дорівнювати
, тобто:
.
Оптична густота Д визначається за формулою:
[2]
І.4. Фізичні основи методу фотоелектроколориметрії.
В основі методу фотоелектроколориметрії лежить явище поглинання світла кольоровими розчинами. Якщо два розчина однієї речовини, які мають концентрації
і товщину шару
поглинають світло однаково, то їх оптичні густини
теж однакові
.
Або:
, тоді
,
де Х - коефіцієнт поглинання світла розчином товщиною l=2,72 і концентрацією
= 1%;
Д - оптична густина розчину:
,
де τ - коефіцієнт пропускання світла (прозорість розчину);
Iо - початкова інтенсивність світла, який падає на даний розчин;
Iе - інтенсивність світла, який пройшов через даний розчин товщиною l.
Таким чином, коефіцієнт пропускання світла τ - це відношення інтенсивності світла, який пройшов через розчин до інтенсивності світла, який падає на даний розчин.
Оптична густина Д - це десятичний логарифм величини, яка обернена коефіцієнту пропускання світла, що падає на даний розчин.
По величинам τ і Д можна судити про поглинальну здатність даної речовини і визначити її концентрацію в розчині.
ІІ. Техніка безпеки при роботі з КФК – 2.
При роботі з КФК-2 треба дотримуватися таких правил:
1. Працювати з колориметром треба в чистому приміщені, вільному від пилу, парів кислот.
2. Біля колориметра не повинні розташовуватись великі речі, які утворюють незручність в роботі.
3. Всі роботи, які пов’язані з проникненням за постійні огорожі до частин колориметра, по яким іде струм, заміна ламп, деталей повинні проводитись при відключенні колориметра від мережі.
4. При роботі колориметр повинен бути надійно заземлений.
ІІІ. Порядок виконання роботи.
3.1. Підготовка КФК-2 до роботи.
1. Ввімкнути колориметр в мережу за 15 хвилин до початку вимірювання. Під час підігріву кюветне відділення повинно бути відкритим ( при цьому завіска перед фотоприймачами перекриває пучок світла).
2. Ввести необхідний за різновидом вимірювання кольоровий фільтр світла.
3. Встановити мінімальну чутливість колориметра. Для цього ручку "чутливість" встановити в положення "1", ручку "установка 10 грубо" - в крайнє ліве положення.
4. Перед вимірюванням і при перемиканні фотоприймачів перевірити, щоб стрілка була встановлена на "С" за шкалою пропущення τ у відкритому кюветному відділенні. При зміщенні стрілки від нульового положення ії підводять до нуля за допомогою потенціометра "нуль", який виведений під шліц.
3.2. Вимірювання коефіцієнта пропущення.
1. В пучок світла помістити кювету з розчином або контрольним розчином, по відношенню до якого буде відбуватися вимір.
2. Закрити кришку кюветного відділення.
3. Ручками "Чутливість" та "Установка 10 грубо" точно встановити відлік 100 за шкалою колориметра. Ручка "Чутливість" може знаходитись в одному з трьох положень: "1", "2", "3". Встановити “100”, починаючи з чутливості “1”.
4. Повертаючи ручку "4" (мал.1) кювету з розчинником або з контрольним розчином, замінити кюветою з досліджуваним розчином.
5. Зняти відлік за шкалою колориметра, який відповідає коефіцієнту пропущення світла дослідженим розчином в процентах або за шкалою Д в одиницях оптичної густини.
6. Вимірювання проведіть 3 - 5 разів та кінцеве значення вимірюваної величини визначте як середнє арифметичне з одержаних значень.
3.3. Визначення концентрації речовини в розчині.
При визначенні концентрації речовини в розчині треба виконувати наступну послідовність в роботі:
· Вибір фільтра світла.
· Вибір кювети.
· Будова градуйованої кривої для даної речовини.
· Вимірювання оптичної густини досліджуваного розчину і визначення концентрації речовини в розчині.
1. Вибір фільтра світла.
Наявність в колориметрі вузла фільтрів світла та набору кювет дозволяє підібрати таке їх сполучення, при якому помилка в визначенні концентрації буде мінімальною.
Вибір фільтрів світла проводять так:
Налити розчин в кювету (як вибрати кювету дивись далі) і визначити оптичну густину для всіх фільтрів світла.
За отриманими даними побудувати криву, відкладаючи по горизонтальній вісі довжину хвиль, які відповідають максимуму коефіцієнта пропускання фільтрів світла, які вказані в опису колориметра, а по вертикальній вісі - відповідні значення оптичної густини розчину. Відмітити ту ділянку кривої, для якої виконуються наступні умови:
· оптична густина має максимальне значення;
· крива паралельна горизонтальній вісі, тобто оптична густина мало залежить від довжини хвилі.
Фільтр світла для роботи треба вибрати так, щоб довжина хвилі відповідала максимуму коефіцієнта пропускання і знаходилась на відміченій вище ділянці спектральної кривої досліджуваного розчину.
Якщо ці умови виконуються для декількох фільтрів світла, виберіть той з них, для якого чутливість колориметра вище.
2. Вибір кювети.
Абсолютна похибка вимірювання коефіцієнта пропускання не перевищує 1%. Відносна похибка визначення концентрації розчину буде різною при роботі на різних ділянках шкали колориметра і сягає максимуму при значеннях оптичної густини 0,7. Тому при роботі на колориметрі рекомендується працювати поблизу вказаного значення оптичної густини. Якщо оптична густина більше 0,5 – 0,6, беруть кювету меншої робочої довжини, якщо величина оптичної густини менше 0,3 – 0,2, то треба вибирати кювету з більшою робочою довжиною.
3. Побудова градуйованої кривої для даної речовини.
Будова градуйованої кривої проводиться таким чином. Приготувати ряд розчинів даної речовини з відомими концентраціями, які займають ділянку можливих змін концентрацій цієї речовини в досліджуваному розчині.
Заміряти оптичні густини всіх розчинів і побудувати градуйовану криву, відкладаючи по горизонталі відомі концентрації, а по вертикалі - відповідні їм значення оптичної густини.
4. Визначення концентрації речовини в розчині.
По градуйованій кривій подальше визначається невідома концентрація речовини в досліджуваних розчинах. Для цього розчин налити в ту ж саму кювету, для якої побудована градуйована крива, і ввімкнувши той самий фільтр світла, визначити оптичну густину розчину. Далі за градуйованою кривою знайти концентрацію, відносно обмірюваному значенню оптичної густини.
Примітка:
1.Часто в роботі буває зручніше користуватися градуйованими таблицями, які складаються за даними градуйованої кривої.
2.Градуйовану криву треба час від часу перевіряти.
IV. Завдання для самопідготовки та самоконтролю.
1. Явище поглинання світла, його суть.
2. Вивід закону Бугера. Поняття натурального показника поглинання світла.
3. Закон Бера. Поняття питомого коефіцієнта поглинання. Зв’язок натурального показника поглинання з концентрацією речовини.
4. Об’єднаний закон Бугера - Бера. Поняття коефіцієнта пропускання та оптичної густини речовини.
5.
Залежність оптичної густини речовини від її концентрації в розчині.
6. Методи концентраційної колориметрії. Фотоелектроколориметрія.
7. Призначення, будова та принцип роботи КФК-2. Оптична схема. Органи керування на зовнішній панелі приладу.
8. Правила підготовки приладу до роботи.
9. Методика вимірювання коефіцієнта пропускання.
10. Методика визначення концентрації речовини в розчині.
Задачі.
1. При проходженні світла з довжиною хвилі λ1 через шар речовини, його інтенсивність зменшується внаслідок поглинання в 4 рази. Інтенсивність світла з довжиною хвилі λ2 зменшується в тричі. Знайти товщину шару речовини і показник поглинання для світла з довжиною хвилі λ2, якщо для світла з довжиною хвилі λ1 він дорівнює Х1 =0,02 см - 1 .
Завдання для перевірки знань за темою.
1.У чому полягає фізична суть явища поглинання світла?
1. У тому, що при проходженні світла через речовину відбувається змінення швидкості світла.
2. При проходженні світла через речовину відбувається послаблення його інтенсивності, внаслідок перетворення енергії у другі її види.
3. У тому, що при проходженні світла через будь-яку речовину відбувається зміна світлової енергії.
4. При поглинанні відбувається зміна довжини світлової хвилі.
5. При поглинанні спостерігається зміна світлового потоку.
2.Поглинання світла стає особливо інтенсивним при:
1. Відсутності вільних електронів.
2. Великій концентрації речовини.
3. Резонантній частоті.
4. Наявності вільних електронів.
5. Малій концентрації речовини.
3.Закон Бугера-Ламберта-Бера має вигляд:
1. I=I 0 ℮-εcx ;
2. I=I 0℮--cx ;
3. I=I 0℮--ǽx ;
4. I=I 0℮+cx ;
5. I=lgI 0 .
4. Коефіцієнт пропускання дорівнює:
1.
;
2.
;
3.
;
4.
;
5.
.
5.Оптична щільність розчину це:
1.
;
2.
;
3.
;
4.
;
5.
.
6. Формула закону Бугера:
1.
;
2.
;
3.
;
4.
;
5.
.
7.Закон Бера має вигляд:
- k=εc;
- k=cx;
- k=ld;
- k=cl2;
- k=c2x.
8.Явище, яке використовується в принципі роботи ФЕК це:
1. Рефракція на межі повітря-розчин.
2. Інтерференція монохроматичного світла.
3. Поглинання світла кольоровими розчинами.
4. Поляризація світла в кольоровому розчині.
5. Дифракція світла, коли світло проходить кольоровий розчин.
9.ФЕК використовується для:
1. Визначення концентрації речовин у розчині та показника поглинання світла.
2. Вимірювання коефіцієнта світлопропускання та оптичної щільності речовин.
3. Визначення коефіцієнта пропускання світла та коефіцієнта заломлення.
4. Вимірювання природного показника поглинання світла.
5. Вимірювання концентрації розчину.
10.Для чого ставлять кольорові світлофільтри у фотоколориметрі?
1. Для того, щоб виділити окремі ділянки діапазонів хвиль315-980Нм.
2. Для того, щоб виділити вузькі ділянки спектра з усього спектра.
3. Теплозахисту.
4. Для того, щоб послабити світловий потік, який випромінює лампа.
5. Для посилення сили світла, яке падає на кювету з розчином.
Еталони відповіді: 1-2; 2-3,4; 3-1; 4-1; 5-1; 6-2; 7-1; 8-3; 9-2; 10-1.
Література:
1. Ремизов А.Н. Медицинская и биологическая физика. М, 1976, с. 191-194.
2. Ливенцев Н.М. Курс физики, М, 1978, с 263-241.
3. Методична розробка для студентів.
4. Конспект лекцій.
Тема: Визначення чисельної апертури та корисного збільшення мікроскопа.
Мета роботи: Засвоїти методи оцінки дозволяючої здатності та корисного збільшення
мікроскопу.
Прилади та матеріали: Мікроскоп, фольга з отвором d=0,5мм., міліметровий папір,
вказівні стрілки, лінійка.
I Теоретичне обґрунтування роботи.
I.1. Призначення мікроскопа.
Око людини розмежує об'єкти, розміри яких більше 0,1 - 0,2 мм. В медичній практиці часто необхідно вивчати об'єкти (клітина, ії елементи, формені елементи крові і т.п.), розміри яких значно менші. Спостерігання за такими мікрооб'єктами виконується за допомогою мікроскопів, роздільна здатність яких обмежена аберацією лінз оптичної системи та дифракцією світла на деталях препарата, менших за 0,1 мкм. Тому часто, раніш ніж користуватися мікроскопом для вивчення об'єкта, необхідно оцінити його роздільну здатність та корисне збільшення.
І.2. Будова та принцип дії мікроскопа.
Мікроскоп - це центрирована оптична система, яка складається із об'єктива та окуляра, що розташовані на відстані один від одного. Оптична система мікроскопа і хід променів в ньому представлені на мал. 1.
У мікроскопі предмет АВ, розташований на відстані більшій, ніж передній головний фокус об'єктива Об. При цьому, площина проміжного зображення А¹В¹ знаходиться за подвійною фокусною відстанню об'єктива. Окуляр ОК розташований так, щоб ця площина знаходилась на відстані ближче до лінзи, ніж ії передній фокус. Хід променів через об'єктив будуємо за загальними правилами. Хід променів через окуляр і око будуємо аналогічно, як в першому випадку (через об'єктив), розглядаючи зображення А¹В¹ як предмет, розташований перед окуляром. Для цього промені, які утворюють точку В¹ проміжного зображення, треба продовжити до перетину з головною площиною окуляра в точках l і l¹. Через оптичний центр О¹ окуляра проводяться побічні вісі, паралельні цим променям, до перетину в точках m і n з фокальною площиною MN окуляра, яка в цьому випадку співпадає з головною площиною ока.
Промені, які розглядаються, повинні пройти через ці точки, як через фокуси для променів такого ж напрямку.
Аналогічна будова виконується і для знаходження точок перетину цих променів з фокальною площиною ока на перетині їх з фокальною площиною уl знаходиться точка Б''' зображення на сітківці. Точка ''Б'' уявного зображення знайдеться як точка перетину продовження відрізків lm і l'n променів, які роздивляємося.
І.3. Теоретичне обґрунтування методу.
Межою роздільної здатності мікроскопа (або відстань роздільної здатності) зветься найменша відстань між двома точками препарату, при якій їх зображення ще видно окремо.
Із теоретичного курсу відомо, що це відстань
X
Ζ=
[1],
де λ - довжина хвилі, що падає на препарат;
n- показник заломлення імерсійного середовища між препаратом і об'єктивом
мікроскопа;
θ- апертурний кут об’єктива мікроскопа, який утворений променями, один з
яких іде вздовж оптичної осі, а другий - із центру препарату до краю отвору
об'єктива.
В приведеному виразі [1] - 2n sinθ=А,
де А - чисельна апертура об'єктива.
При освітленні препарату паралельним пучком світла і при відсутності спеціального інверсійного середовища вираз для межі роздільної здатності має вигляд:
.
Знання чисельної апертури дозволяє правильно підібрати об'єктив для розглядання об'єктів бажаного розміру. Для нормального ока середня відстань найкращого зору дорівнює 25 см., при цьому око розрізняє дві точки, які знаходяться на відстані 0,1мм як окремі, тобто роздільні, якість ока оцінюється як 0,1мм.
Корисне збільшення мікроскопа - це величина, значення якої дозволяє оку розрізняти деталі препарату, величина якого дорівнює роздільної відстані від об'єктива мікроскопа, тобто корисне максимальне збільшення мікроскопа можна одержати із формули:
.
Наприклад, К об'єктива дорівнює 20, числова апертура 0,60 при середній довжині хвилі освітлення λ=0,6 мкм. роздільна здатність буде дорівнювати:
.
Корисне збільшення мікроскопа визначається:
.
Тобто до об'єктива з К=20x необхідно додати окуляр із збільшенням, яке приблизно дорівнює:
.
ІІ. Порядок виконання роботи.
1. Визначення чисельної апертури об’єктива.
1.На предметному столику мікроскопа розташувати пластину з отвором, діаметр якого d=0,5мм.
2.За допомогою регулюючих гвинтів, що регулює положення дзеркал, добитися яркого освітлення отвору.
3.Зняти конденсор і освітлювальне дзеркало. На основу штатива мікроскопа покласти аркуш міліметрового паперу з чіткими поділками.
4.Обережно витягти окуляр із тубуса мікроскопа. Подивитися в тубус і спостерігати зображення на міліметровому аркушу по всьому світлому колу поля зору.
5.Встановити вказівники так, щоб вони торкалися країв поля зору, яке ми бачимо з протилежних сторін у точках M і N (мал. 2 ).
6.Відмітити положення вказівників на шкалі і заміряти відстань між ними в мм.
7.Заміряти відстань від пластинки з отвором до основи штатива мікроскопа.
8.Визначити чисельне значення тангенса апертурного кута, а потім - його чисельну апертуру.
9.Результати занести до таблиці.
| Положення вказівників в мм. | Відстань 2D між вказівниками. |
| Відстань між препаратом і шкалою R | θ | sin θ |
2. Визначення корисного збільшення мікроскопа.
1. Визначити розподільчу відстань (межу дозволеного) із формули:
прийняв λ = 600 нм., n=1.
2. Визначити максимальне корисне збільшення мікроскопа із співвідношення:
Q
K= , де Q = 0,1мм.
Z
3. Із знайденого значення корисного збільшення мікроскопа вичислити збільшення окуляра, необхідного для роботи з даним об’єктивом.
ІІ.3 Користуючись засвоєним методом оцінити збільшення окулярів. необхідних для роботи з об’єктивами, які є 40х, 90х .
Підготовити реферат на тему: Методи оптичної мікроскопії на службі у медицини.
ІІІ. Питання для самостійної підготовки.
1. Центрирована оптична система, ії характерні точки, площини, лінії. Будова зображення в такій системі.
2. Призначення мікроскопа.
3. Оптична система та будова біологічного мікроскопа.
4. Апертурний кут, чисельна апертура, роздільна здатність мікроскопа, межа розділення.
5. Корисне збільшення мікроскопа.
7. Використання мікроскопа в біології та медицині.
8. Деякі ****** засоби мікроскопії, імерсійний мікроскоп, метод темного поля, метод фазового контрасту, мікрофотографія.
ІІІ.2. Задачі.
Задачі:
1. У скільки разів зображення предмета на сітківці ока менше самого предмета. Відстані до предмета R=30м., Fока (фокус) =1,5см. (Відповідь: 2000 разів).
2. Як повинні працювати люди, які користуються окулярами з мікроскопом: дивитися в окуляр в окулярах, або без них?
3. Знайти F(фокус) об’єктива мікроскопа, який дає збільшення в 500 разів, якщо фокусна відстань окуляра 7 см., а довжина тубуса - L=20 см.
4. Діаметр бактерії 7,5 мкм. Визначити діаметр ії зображення в мікроскопі, якщо Fоб.=4мм.; Fок=25мм. Препарат розташований на відстані 4,2 мм. від оптичного центра об’єктива.
Завдання для перевірки знань за темою.
1.Роздільна здатність мікроскопа зумовлена:
1. Хвильовими властивостями світла.
2. Корпускулярними властивостями світла.
3. Корпускулярно-хвильовими властивостями світла.
4. Інтерференцією світла.
5. Поляризацією та інтерференцією світла.
2. Роздільна здатність це:
1. Властивість оптичної системи давати роздільне відображення крапок.
2. Властивість оптичної системи давати зображення малих предметів.
3. Властивість оптичної системи давати роздільне відображення двох близько розташованих крапок.
4. Властивість оптичної системи давати відображення близько розташованих предметів.
5. Властивість оптичної системи давати відображення світлових променів.
3. Основним елементом, який зумовлює роздільну здатність мікроскопа є:
1. Відстань об'єктива від окуляра.
2. Апертурний кут.
3. Оптична відстань тубуса.
4. Фокус лінзи.
5. Фокус окуляра.
4. Кутове збільшення мікроскопа чисельно дорівнює:
1. Сумі лінійного збільшення об’єктива та кутового збільшення окуляра.
2. Різниці між лінійним збільшенням об’єктива та кутовим збільшенням окуляра.
3. Додатку лінійного збільшенням об’єктива та кутового збільшення окуляра.
4. Додатку лінійного збільшення об’єктива та окуляра.
5. Різниці між лінійним збільшенням об'єктива та окуляра.
5.Числова апертура мікроскопа це:
1.
;
2.
;
3.
;
4.
;
5.
.
6. Збільшення мікроскопа дорівнює:
1.
;
2.
;
3.
;
4.
;
5.
.
7.Об’єктив та окуляр діють як:
1. Лупа.
2. Розсіюча лінза.
3. Збираюча лінза.
4. Збираюча та розсіюча лінза.
5. Окуляри.
8. Межа розрізнення мікроскопа дорівнює:
1.
;
2.
;
3.
;
4.
;
5.
.
9.При імерсійному об’єктиві:
1. Значно збільшується яскравість та чіткість зображення.
2. Збільшується роздільна здатність мікроскопа, зменшується апертурний кут.
3. Значно збільшується яскравість зображення, та збільшується апертурний кут;
4. Значно збільшується яскравість зображення, збільшується роздільна здатність мікроскопа.
5. Збільшується роздільна здатність мікроскопа та зменшується апертурний кут.
10. Межа розподілу мікроскопу дорівнює:
1.
;
2.
;
3.
;
4.
;
5.
.
Еталони відповіді:
1-1; 2-3; 3-2; 4-3; 5-4; 6-1; 7-3; 8-2; 9-4; 10-5.
ІУ. Література:
1. Чалий О.В., Агапов В.Т., Цехмістер Я.В. та інш. “Медична і біологічна фізика” - К.: Книг-плюс, с. 520-525, 514-516, 558-562
2. Лівенцев Н.М. Курс фізики, М., Вища школа.,1978, с. 266-279.
3. Ремізов А.Н. Курс фізики, електроніки и кібернетики. М. 1982. Вища школа., с.323-346
Тема: Визначення розмірів формених елементів крові за допомогою лазерного випромінювання.
Мета роботи: Вивчити принцип дії та устрій гелій-неонового лазера, властивості лазерного випромінювання, первинну та біофізичну дію лазерного випромінювання, застосування в медицині.
Прилади та матеріали:газовий лазер, оптична лава з поляроїдами , дифракційні ґратки, препарат крові, екран з шкалою, фотоелемент з гальванометром.
1. Теоретичне обґрунтування теми.
1.1. Професійна значимість теми.
Медицина та біологія взяли на озброєння лазер як засіб проникнення в мікросвіт клітин, ядер, хромосом і окремих генів і як засіб біостимуляцїї органів організму (низько енергетичного лазера) і як абсолютно стерильний скальпель в хірургії (випромінювання високо енергетичних лазерів). Вивчення властивостей лазерного випромінювання ( його висока монохроматичність і енергетична щільність, просторова і часова когерентність, строга спрямованість і можливість точного фокусування) необхідно для розуміння не тільки механізму первинної його дії, але на цій базі поняття біологічної дії когерентного випромінювання.
1.2.Вимушене випромінювання та його властивості.
Згідно з законами квантової механіки, енергія електрона в атомі може мати преривчастий (дискретний) ряд "дозволених" значень енергії. Самий нижчий рівень енергії Е називається основним рівнем, а всі інші, відповідні до вищої енергії електрона, називаються збудженими.
Під час переходу електрона в атомі з одного рівня в іншій атом може випромінювати або поглинати електромагнітні хвилі, частота яких визначається співвідношенням:
(1).
Це співвідношення є наслідком другого постулату Бору, який стверджує, що випромінювання і поглинання атомом електромагнітною енергії відбувається порціями — квантами, фотонами, величина яких дорівнює:
(2)..
Збуджений стан атома має дуже короткий час життя порядку 10~8 С,після закінчення якого атом спонтанно перейде в стан з нижчою енергією випромінювання, при цьому випустить квант електромагнітної енергії рівний hv. Цей процес випадковий за часом і тому неможливо точно передбачити момент спонтанного переходу, а можна лише говорити про вірогідність такого переходу. Випадковість спонтанних переходів призводить до того, що різні атомні джерела світла випромінюють неодночасно та незалежно. В результаті цього в спонтанному випромінюванні фази електромагнітних хвиль в квантах різні і не узгоджені, напрямки розповсюдження квантів випадкові, площини поляризації хвиль довільно орієнтовані, випромінювання не монохроматично. В результаті цього сумарне спонтанне випромінювання джерела світла (ламп розжарювання, газо розрядних ламп) є некогерентним.
Але атом може перейти з рівня Е2 на Е1 не спонтанно, а під дією кванта електромагнітної хвилі, якщо його частота близька до частоти переходу електрона в атомі:
(3).
Переходи електрон
Дата добавления: 2015-08-04; просмотров: 4593;
