Коэффициент учета второстепенных работ – коэффициент фиктивности - .Учет теплоотдачи и прорыва пороховых газов .
Рассмотрим виды работ совершаемые пороховыми газами :
1. L1 - работа поступательного движение снаряда – главная работа .
(9.32)
2. L2- работа, затрачиваемая на вращение снаряда
(9.33) ,
где 
-радиус инерции снаряда , определяемый по формуле
, где I- момент инерции относительно оси вращения
r=d/2- радиус сечения снаряда
-угол нарезки
- крутизна нарезов
h- шаг нарезки
обычно
от 0,25% до 2,5%
К2=0,0025-0,025
L3- работа на преодоление трения между пояском снаряда и внутренней поверхности канала ствола , а также на преодоление трением между центрующими утолщениями снаряда и полями нарезов
(9.34) ,где
1 -коэффициент трения

4. L4- работа затрачиваемая на перемещение газов самого заряда и несгоревшего пороха . В предположении о постоянстве плотности
газопороховой смеси по всему за снарядному пространству .т.е. плотность
зависит только от времени и не зависит от координаты сечения и в самом сечении , энергия , затрачиваемая на перемещение заряда , будет выражаться зависимостью :
(9.35) , где
,
, где l0- приведенная длина каморы = 
L0- действительная длина каморы
l- путь пройденный снарядом
Работа L4 вычисленная по формуле (9.35) будет больше действительной работы , т.к. плотность газопороховой смеси уменьшается в направлении к снаряду , что доказывают газодинамические расчеты .
5. Работа затрачиваемая на перемещение откатных частей.
(9.36)
, где
-масса откатных частей ; Q0 –вес откатных частей .
(9.37) ,где V –скорость откатных частей
mг=
-масса заряда, т.к.
и
, то 
L6 –работа , расходуемая на врезание ведущего пояска в нарезы . Как правило не учитывается и может быть учтено косвенно в момент вылета снаряда из ствола .
L7 –работа, расходуемая на преодоление снарядом сопротивления воздуха , находящегося в канале орудия . Этой работой при малых скоростях пренебрегают . Однако при скоростях 2,5-3
противодавление уже составляет 150-300
и учет противодавления необходим .
- тепловая энергия , расходуемая во время выстрела на нагрев стенок ствола , гильзы и снаряда – потеря на теплоотдачу . Учитывается путем уменьшения силы пороха ,-f.
(9.38)
в момент времени t при t=0 , 
при t=tд
,где
;
;
;
;
;
;
;
;
;
;
;
l –путь снаряда
-скорость снаряда
См% -определяется по кривой С% от tк при
кг/дм2
d –калибр снаряда
lкм –длина каморы
Wкн –объём канала ,включая камору
- вес заряда
q –вес снаряда
Рсн – давление на снаряд
Таким образом , сила пороха по мере движения снаряда по каналу за счет теплоотдачи убывает ; она зависит от :
1) калибра-d
2) плотности заряжания - 
3) коэффициента уширения каморы - 
4) относительного пути снаряда - 
5) отношения скоростей
При выводе использовалось предположение , сделанное Мюреуром :
и соотношение
, сделанное профессором Вентцелем.
- энергия , теряемая газами , прорывающимися по зазорам между пояском снаряда и стенками канала орудия.
(9.39)
где
;
- относительная часть прорвавшихся газов

Если расход газа невелик , то
, или с учетом теплоотдачи
.
Значение
,где a=1.09-1.03 и b=
- для цилиндрических каналов и
и
- для конических каналов.
9.5 Анализ изменения давления пороховых газов в канале ствола от условий заряжания .
Имея формулу для давления из основного уравнения пиродинамики (9.19)
,
исследуем ,как будет меняться давление в зависимости от пути и времени . Для этого найдем производные :
(9.40)
,
или
,
,
,

Как видно из выражения (9.40) нарастание давления зависит от многих факторов .
В момент формообразования Р=Р0
, нарастание давления зависит от Р0,f и
,и обратно пропорционально
, при Р0=0 (для миномета ) ,тангенс угла наклона будет равен 0 . И далее тангенс угла наклона возрастает до точки перегиба и далее тангенс угла наклона убывает до 0 и далее становится отрицательным за счет значения
.
На рис. ….. фиг. 91 показан характер этих кривых .При
получим соотношение
, в момент ….. горения при
, 
При переходе ко второму периоду выражение для давления имеет вид
,
,
,
Характер нарастания давления в функции от пути –l выразится общей формулой
(9.41)
Вначале движения ,когда
тангенс угла наклона равен ∞ ,т.е. кривая Р(l) будет иметь касательную совпадающую с осью ординат рис.(фиг.92)
9.6 Влияние формы и размеров пороха на кривые давления газов и скорости снаряда.
Анализ формул (9.40) и (9.41) показывает ,что характер нарастания давления как во времени так и функции от пути снаряда зависит , главным образом от
при данной "силе" и природе пороха зависит от 
Для простоты , рассмотрим случай когда зёрна имеют одинаковую толщину , но разную форму . Взяв для пяти дегрессивных форм общие формулы и примерные числовые данные имеем таблицу :
| форма зерна |
|
|
|
|
|
| |
| трубка |
|
|
| 1,003 | 0,0994 | 0,997 | |
| лента |
|
|
| 1,06 | 0,89 | 0,943 | |
| пластинка |
|
|
| 1,20 | 0,675 | 0,810 | |
| брусок |
| ~2,0 | |||||
| куб |
Нанеся на график изменение
в зависимости от Z получим диаграмму изображенную на рис(фиг.93). На рис(фиг.94) приведены расчеты давлений газов при
и
в функцию от пути . Диаграмма показывает ,что лента дает нормальное давление
и дульную скорость
.Брусок –4 , имея большую начальную оголенность дает давление
и
. Куб –5 в следствии втрое большей оголенности имеет давление
и
. Если бы поставить задачу : сравнить дульные скорости при одинаковых Рm ,то ленточный порох показал наилучшие результаты .
Теперь рассмотрим влияние толщины свода при одинаковой форме зерна . Результаты расчетов сведены в таблицу :
2
|
|
|
|
|
| 1,5 | 1,414 | 1,256 | ||
| 2,0 | 1,06 | 0,943 | ||
| 2,5 | 0,848 | 0,744 |
Влияние толщины пороха на кривые давления показаны на рис…(фиг.96)
10. Решение основной задачи внутренней баллистики (ОЗВБ).
Установление закономерностей , связывающих разнообразные условия заряжания с зависящими от них величин , называемыми баллистическими элементами выстрела составляет общую задачу внутренней баллистики .
К условиям заряжания относятся : размеры каморы и канала ствола , его вес , устройство нарезка в канале , вес и устройство снаряда ,давление форсирования , зависящее от устройства пояска снаряда и нарезки канала , вес заряда , марка пороха , физико-химические и баллистические пороха , характеристики расширения газов
.
К баллистическим элементам выстрела относятся : изменяющееся во времени путь снаряда –l, скорость снаряда
, давление пороховых газов –Р, их температура – Т , а также количество газов
, образовавшиеся к данному моменту ; а также относительная толщина горящего свода –Z.
При решении указанной выше ОЗВБ можно выделить две важнейших основных задач пиродинамики и ряд частных задач .
Первая основная задача пиродинамики состоит в определении расчетом изменения газов и скорости снаряда в канале ствола в функции от пути снаряда и от времени при заданных условиях заряжания . При этом наряду с кривыми Р(l),υ(l) или P(t),υ(t) и l(t) определяются две важнейшие баллистические характеристики орудия – наибольшее давление газов –Рm в канале ствола и дульная скорость снаряда -
,т.е. скорость снарыда при вылете его из канала ствола . Эту задачу называют прямой задачей пиродинамики . При заданных условиях заряжания она иееет единственное решение. Изменяя условия заряжания можно провести анализ этих условий на изменение кривых давления газов и скорости снаряда ,т.е. решить ряд частных задач . Точность решения этой задачи зависит от выбранной математической модели выстрела и методов решения . Вторая основная задача пиродинамики – задача баллистического проектирования орудия состоит в определении конструктивных данных канала ствола и условий заряжания , при которых снаряд данного калибра-d и веса-q , получает при вылете определенную дульную скорость -
.Эта скорость задается на основе тактико-технических требований ,предъявляемых к проектируемому орудию . При решении её обычно , задаются наибольшим давлением газов –Рm. Решение этой задачи многовариантно от целесообразности и рациональности выбранного варианта баллистического решения в значительной степени зависит дальнейшее проектирование всей артиллерийской системы в целом и боеприпасов к ней . По выбранным условиям заряжания производится расчет кривых давления и скорости . Полученная кривая Р(t) или P(l) используется конструкторами для расчета прочности стенок орудия и снаряда , лафета ,дистанционных трубок , взрывателей . Вместе с этим даются требуемая толщина и форма пороха , который должен быть изготовлен на заводе .
Здесь возникают специальные частные задачи о нахождении наивыгоднейших решений , от орудий наибольшего могущества , об орудии наименьшей длины или объёма , о наивыгоднейшем заряде и наивыгоднейших условий заряжания .
Методы решения решения задач пиродинамики можно разделить на аналитические , численные , эмпирические и табличные.
В настоящее время , в связи с появлением персональных быстродействующих ЭВМ , все большее значение приобретают численные методы , в которых постановка задачи ставится более шире , чем в других методах решения , но в численных методах используется целый ряд допущений.
Основные допущения при решении ОЗВБ:
1. Горение пороха подчиняется геометрическому закону горения или физическому закону горения.
2. Порох горит при средних давлениях p , воспламенение мгновенное.
3. Состав продуктов горения не меняется (f и
- постоянные).
4. Скорость горения пороха пропорциональна давлению
.
5. Учитываемые второстепенные работы пропорциональны главной работе поступательного движения снаряда и учитываются при помощи коэффициента
.
6. Движение снаряда начинается , когда в каморе в результате сгорания части заряда разовьется давление форсирования –p0 , постепенность врезания в n не учитывается.
7. Работа врезания пояска отдельно не учитывается.
8. Растяжением стенок ствола при выстреле , прорывом газов через зазоры между ведущим пояском и стенками канала ствола и сопротивлением воздуха в канале ствола пренебрегаем.
9. Охлаждение газов в результате теплоотдачи стенкам ствола непосредственно не учитывается и может принято в расчет косвенно , снижением f и увеличением
.
10. Движение снаряда рассматривается до момента прохождения его дна через дульный срез.
11. Величину
принимаем равной среднему значению для всего периода выстрела.
12. Плотность газопороховой смеси зависит только от времени и не зависит от координаты.
Таким образом уравнения классической внутренней баллистики для усредненных значений давлений p, температуры T и относительного количества сгоревшего заряда
, при этом осреднение T и
получается как следствие осреднения давления . Иначе говоря , в классическом методе внутренней баллистики волновые процессы течения газа не учитываются , и применяется "термодинамический" закон расширения газов .
Этот классический метод расширения дает хорошие результаты для относительно тяжелых снарядов , когда
, т.е. когда в области действия первой волны разряжения , снаряд не набирает значительной скорости и первая волна разряжения от дна каморы догоняет снаряд вблизи начала координат , и учет первой волны разряжения будет несущественным , т.к. далее устанавливается "термодинамический" режим расширения пороховых газов .
Для нахождения элементов выстрела в классическом методе О.З.В.Б. имеем следующие зависимости :
1)
- основное уравнение пиродинамики , уравнение Резаля .
2)
или
- закон горения пороха .
3)
- двухчленный закон газообразования .
4)
- закон движения снаряда .
5)
- кинематическая связь между скоростью и путем .
Совокупность этих 5-ти уравнений позволяет найти 5-ть неизвестных p,z,υ,l,
как функции времени.
10.1 Система уравнений ОЗВБ для пороха простой дигрессивной формы.
Для вычисления элементов выстрела по имеющейся специальной программе, по которой решается система обыкновенных дифференциальных уравнений 1-го порядка на ПЭВМ (macad) приведем наши уравнения к нормализованному виду (система 10,1)
(10,1)
где l
=
;
.
Система уравнений ( 10,1 ) решается при следующих начальных данных :
при t = 0 , z =0 ,
= 0 , p = pв , υ = 0 , l = 0 , конец расчета l = lд .
Точность и правильность расчета проверяются по аналитическим зависимостям в момент p = p0 :



При горении пороха :



где pm , zm , Vm – значения давления , скорости и относительной толщины в момент максимального давления .


где υпр = 
Правильность решения проверяется при различных условиях заряжания в постоянных переменных Н.Ф. Дроздова :


10.2 Системы уравнений для многоканального пороха прогрессивной формы .
При решении ОЗВБ для многоканального пороха воспользуемся двухчленными формулами для 1-й фазы горения ( до распада зерна ) и 2-й фазы горения ( после распада зерна ) . Для 1-й фазы горения характеристики
и
найдутся из условия , что при z = 1
и при z = 0,5 значения
будут совпадать как по трехчленной , так и по двухчленной формулам :
при z=0,5 
при z=1 
откуда имеем
, 
Для второй фазы горения имеем

характеристики
и
найдутся из условия , что при z=zk
и при
z=zk поверхность горения должна обратиться в ноль . Откуда получим :


Решая находим эти уравнения: 

Подсчитав χ и λ по этим формулам для 7-ми канального стандартного пороха имеем :
=0,712 ;
=0,225 ;
= - 0,0237 ;
=0,855 ;
=1,375 ;
;
=0,1873 ;
ошибка
=0,004 .
Принимая для 7-ми канального пороха наружный радиус вписанного круга в наружную призмочку
0,532е1 получим ек=е1+0,532е1=1,532е1
;
=0,855 ;
= - 0,94 ; 
Для зерна Уолша с 7-ю каналами
;
=0,95 ;
= - 2,16 ; 
=1,37 ;
;
=0,218 .
Исходя из 2-х фаз горения : прогрессивного в первой фазе и дегрессивного во второй фазе система уравнений ( 10,2 ) будет иметь следующий вид
(10.2)
где
; 
Система ( 10,2 ) решается при следующих начальных данных : при t = 0 , z=0,
=0 , p = pв , l = 0 , υ= 0 . Расчет заканчивается при l = lд . Точность и правильность расчета проверяется как при расчете системы ( 10,1 ) .
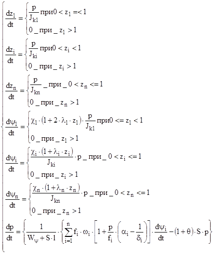
10.3 Системы уравнений для комбинированного заряда из дегрессивных порохов простой формы .
Пусть комбинированный заряд состоит из n порохов дегрессивной простой формы . Характеристики i-того пороха обозначим с индексом i , так что
, где i =1...n .
Весовую долю каждого пороха обозначим через
, тогда по правилу смешения можно найти фиктивный эквивалентный порох , имеющий такие же характеристики как комбинираванный пороховой заряд :
;
;
;
; 
Расставив пороха по импульсу в конце горения , пороха по возрастающему значению J1<Ji<Jn и воспользовавшись системой уравнений ( 10,1 ) окончательно получим
( 10,3 )
где 
Точность решения системы уравнений проверяется по аналитическим зависимостям , по которым проверяется точность системы ( 10,1 ) . При этом необходимо брать характеристики эквивалентного фиктивного пороха f , Jk ,
, Г ,
,
, формулы которых приведены выше . Значения
и
такого пороха определяются по формулам ( 10,4 )
( 10,4 )
Уравнение газообразования примет вид :
( 10,5 )
10.4 Системы уравнений для комбинированного заряда , состоящего из 7-ми канального и трубчатого порохов .
В артиллерийских орудиях среднего и крупного калибра пороховой заряд состоит из центрального пучка , содержащего трубчатый порох , заданного по чертежу веса , вокруг которого размещается в ... картузе переменный заряд 7-ми канального пороха того же состава .
При приемке партии варьируется вес только зерненного пороха . Ниже приведена система уравнений для такого комбинированного заряда .
Пусть трубчаты порох имеет индекс – Т . 7-ми канальный имеет обозначения такие же как в системе ( 10,2 ) . ОЗВБ для такого заряда решается по системе уравнений ( 10,6 ) :
(10,6 )
Фиктивный порох эквивалентный комбинированному заряду имеет следующие баллистические характеристики :





1)
при
где


2) или
при
где


Точность решения системы проверяется по аналитическим зависимостям , представленным выше , которые справедливы в 1-м случае – до распада зерна 7-ми канального пороха , во втором случае – до конца горения трубчатого пороха , который наступает раньше распада зерна .
10.5 Исходная система уравнений внутренней баллистики для миномётов, орудий и ракет.
Рассмотрим систему уравнений , базирующуюся на единой теплофизической модели для различных по схемам действия и конструктивному оформлению орудий ( классическое артиллерийское орудие , динамо реактивные системы , РДТТ и другие ) . Впервые , это важное с методической и практической точек зрения , придложение было высказано и реализовано профессором Б.В. Орловым .
За основу исследований при выводе системы уравнений принимаем частично уравновешенное орудие рис... , для которого справедливо соотношение :
( 2,13 )
где n – коэффициент уравновешенности ; S – площадь поперечного сечения канала ствола с учетом нарезов ; p – баллистическое давление ( среднее давление газов в за снарядном пространстве в данный момент времени ) ; Gp1- расход газов через сопловой блок орудия , имеющий размерность "кг/с" ;
Jr – удельный импульс , развиваемый пороховыми газами при истечении из сопла .
Величина коэффициента уравновешенности "n" ограничена пределами 0<=n<=1 . Для классического артиллерийского орудия n = 0 , для безоткатного n =1 .
Будем полагать так же , что имеет место прорыв пороховых газов через ведущее устройство снаряда , количественно характеризующееся расходом
Gp2 , а так же имеется теплоотдача стенкам канала ствола , и стенка ствола расширяется упруго при выстреле .
Исходную систему уравнений запишем при следующих допущениях :
1. Горение пороха происходит параллельными слоями , т.е. справедливо уравнение газоприхода
и относительную поверхность горения :
где
- характеристики формы пороха ; z =
- относительная толщина сгоревшего пороха ; e1 – половина толщины порохового зерна ; e – толщина слоя сгоревшего пороха ;
- сгоревшая часть порохового заряда ;
- вес заряда ; Sгор – горящая поверхность заряда ; Sгоро – начальная поверхность заряда .
2. Давление p , температура Т и плотность газопороховой смеси
в заснарядном пространстве для каждого момента времени t равны их среднему по объему значениям ( гипотеза квазистационарного процесса ) .
p , T и
связаны уравнением состояния :

где R – газовая постоянная ;
- коволюм газа .
3. Состав продуктов сгорания не меняется во время выстрела , а удельные теплоемкости Cp , C
равны их средним значениям для всего диапазона изменения температур .
и
= const .
4. Воспламенение порохового заряда происходит мгновенно .
5. Отсутствует выброс несгоревших частиц пороха .
6. Противодавлением воздуха в канале ствола пренебрегаем .
При выводе системы уравнений используем основные законы термодинамики :
закон сохранения энергии – первого закона термодинамики запишем в виде :

здесь
- скорость изменения тепла в газе , вес которого , к рассматриваемому моменту времени составит
, вследствие его взаимодействия с окружающей средой .
- скорость изменения внутренней энергии газа , где U=
(2,15)
- мощность , развиваемая газом при его расширении или при сжатии .
Применительно к периоду движения снаряда при горящем заряде :
( 2,16 )
Здесь
- скорость подвода тепла вследствие сгорания порохового зерна , где Е = 4270
- механический эквивалент тепла;

- калорийность пороха при воде жидкой , т.к.
.
- приход продуктов сгорания .
- скорость оттока тепла из каморы орудия в атмосферу вследствие истечения газов через сопло ( Gp1 ) и в зазоры между ведущими устройствами снаряда и стенками канала ствола ( Gp2 ) .
- энтальпия одного кг газа .
- скорость изменения тепла в следствие теплоотдачи между стенками ствола и газами ( символ
показывает , что
не является полным дифференциалом ) .
Скорость отвода тепла из-за снарядного пространства в стенке канала ствола:
( 2,17 )
где
- коэффициент теплоотдачи от газа к стенкам ; Тсг – температура внутренней поверхности ствола ; F – поверхность , омываемая газами .
Точно уравнение ( 2,17 ) решается совместно с уравнением теплопроводности материала стенки при соответствующих краевых условиях. Величина
в общем случае выражается уравнением :
( 2,18 )
Здесь W – свободный объем за снарядного пространства ;
- мощность , создаваемая газом , вследствие сгорания заряда с учетом истечения части газа из за снарядного пространства , где
- удельный вес пороха ;
- мощность , затрачиваемая на упругие деформации стенок , гильзы и ствола , где
- "упругое" приращение за снарядного объема . Обычно этой мощностью пренебрегают , хотя в пушках высоких давлений она может являться ощутимой ( ППН,ЛГУ ) .
( 2,19 )
Мощность расходуемая на поступательное движение снаряда с фиктивным весом
, где q – вес снаряда ,
- коэффициент фиктивности или коэффициент , учитывающий поступательное движение снаряда , его вращение , преодоление вредных сопротивлений , откат откатных частей , выталкивание столбов воздуха и , наконец , работу на перемещение газопороховой смеси .
Обычно в расчетах
принимается постоянным :
( 2,20 )
где к зависит от калибра и начальной скорости снаряда и типа снаряда .
С уменьшением калибра снаряда величина "к" – возрастает и уменьшается с ростом начальной скорости . Для снаряда с ведущим пояском "к" = 1,02-1,05.
Для пуль , имеющих калибр меньше 14,5 мм и не имеющих ведущего пояска
"к"=1,2-1,3 .
С учетом выражений ( 2,15 ) , ( 2,16 ) , ( 2,18 ) уравнение сохранения энергии применительно к рассматриваемой схеме ( рис... ) приводится к виду :

( 2,21 )
Соотношение ( 2,21 ) так же называют основным уравнением внутренней баллистики . Уравнение сохранения вещества может быть записано в виде
( 2,22 )
Приход газов в следствии сгорания пороха
определяется по формуле
( 2,23 )
Значения Gp2 , Gp1 зависят от значений полной температуры T00 и полного давления газов p00 в за снарядном пространстве , а так же площадей критических сечений сопла
и зазор Fз . При расчете Gp2 следует дополнительно учитывать скорости снаряда и формы зазоров во времени


- коэффициент расхода , который учитывает особенности истечения пороховых газов через появившийся зазор и определяется экспериментально член
- скорость изменения количества газов в за снарядном пространстве . Уравнение движения снаряда :
или
( 2,25 )
Уравнение состояния :
где

где

Для решения основной задачи внутренней баллистики должны быть известны законы скорости горения пороха U=Up и изменения поверхности порохового зерна в функции толщины горения свода е ( или z ) . Таким образом параметры состояния газа , а так же скорость и путь снаряда до момента вылета его из ствола могут быть найдены из следующей системы уравнений :
(2,26)
Накладывая определенные ограничения , с помощью полученной системы уравнений (2.26) можно описать процессы выстрела в следующих системах:
1. Безоткатные орудия (n=1).
2. Миномет (n=0 , Gp1=0).
3. Классическое орудие (n=0 , Gp1=0 , Gp2=0).
4. Ракетный двигатель (Gp2=0 , υ=0).
5. Бомба постоянного объема ( Gp1=0 , Gp2=0 , υ=0).
Если параметры состояния газов определяются после окончательного горения заряда в системе (2.26) необходимо положить Sгор=0 и U=0.
После вылета снаряда из канала ствола расчет продолжается при Sгор=0 и U=0 и Fз=S и из системы (2.26) исключается уравнение движения снаряда.
Внутренняя баллистика классического орудия.
Для закона сохранения энергии , когда Gp1=0 , Gp2=0
в момент горения пороха будем иметь:
(2.27).
В предварительном периоде горения пороха идет при υ=0 и l=0 до момента p=p0 и
, где p0- давление форсирования снаряда;
количество газа , образовавшегося в момент t=t0 – форсирования снаряда. Интегрируя уравнение (2.27) получим:
( 2,28 )
На 2-м периоде – периоде расширения пороховых газов ( Sгор = 0 , U = 0 ,
) , уравнение сохранения энергии примет следующий вид :

Для предварительного периода ( υ = 0 ) получим

Для приближенного учета теплоотдачи
воспользуемся допущением , согласно которому процесс теплоотдачи можно считать квазистационарным,
с коэффициентом теплоотдачи – линейно зависящим от удалённого веса газа
в за снарядном пространстве
( 2,29 )
где
- постоянный коэффициент теплоотдачи . Т.к.
, то
= 
Введем обозначение
, тогда
=
( 2,30 )
Значение
находятся из экспериментов . Для автоматических пушек допустимо принимать
,
. С учетом этого допущения система ( 2,26 ) примет вид :
( 2,31 )
где Jk = 
Учитывая , что 
где f – сила пороха ,
- доля твердых остатков в продуктах сгорания ( для дымных порохов
= 0,5 ; для бездымных порохов
= 0 ).

( 2,32 )
где 
т.к.
и
то получим
( 2,33 )
Подставляя выражение ( 2,33 ) в первое уравнение системы ( 2,32 ) окончательно получим :
( 2,34 )
где F = S0 + 
; 
Если пренебречь растяжением стенок ствола (
) окончательно получим систему уравнений с учетом теплоотдач :
( 2,35 )
где
; 

.
Рассмотрим учет теплоотдачи при выстреле предложенный Мюрауром для бомбы , принимая во внимание постепенное возрастание охлаждающей поверхности стенки :
( 2,36 )
где Cm – экспериментально найденный коэффициент в бомбе при сжигании дымного пороха по времени сгорания его при
= 0,2 кг/дм3 .
Имеется кривая Cm=Cm(tk) или таблица , по которой Cm можно определить .
С другой стороны имеем :
( 2,37 )
Согласно формуле профессора Мамонтова М.А.
( 2,38 )
где
- коэффициент теплопередачи для газов при U = 0 .
- плотность пороховых газов
U – скорость течения газов у стенки
n – показатель степени : n = 0,5-1
- скоростной коэффициент , определяемый из опытов .
Сравнивая ( 2,36 ) и ( 2,37 ) получим :
( 2,39 )

Коэффициент Cm/ учитывает скорость течения пороховых газов в орудии .
В мfнометрической бомбе U=0 и Cm/ = Cm ,тогда
( 2,41 )
где
- потеря температуры пороховых газов за счет теплоотдачи ;
T1 – температура горения пороха ;
7,774 – переходной коэффициент от бомбы Мюраура к нашим условиям .
Поверхность теплоотдачи F =
( 2,42 )
где F0 =
- поверхность каморы орудия ;
lкам – длина каморы ;
Д – диаметр каморы ;
d – диаметр канала ствола ;
l – пройденный путь снарядом в канале ствола ;
- коэффициент , учитывающий поверхность граней нарезов ;
tn – глубина нарезов ;
n – число нарезов .
Объем каморы
где
- приведенная длина каморы ;
S- площадь сечения ствола ;
- уширение каморы .
Учитывая , что сила пороха f = RT1 , то введя значение f1 =
(2,43)
мы придем к системе уравнений имеющей вид ( 11,1 ) принимает вид системы ( 2,44 )
( 2,44 )
где 
; 

W0 = 
;
; 
Начальные условия :
при t = 0 , p = pв , V = 0 , l = 0 ,
= 0 , z = 0 .
Расчет ведется до l = lд . Шаг интегрирования не более
и уточняется в процессе расчета .
Входными данными являются :
Параметры ствола – Д , lкам , d , tn , a , n , lд .
Параметры снаряда – q , p0 .
Параметры порохового заряда -
.
Марка пороха : 2е1 ,
или Jк ,
.
Коэффициент фиктивности
или k : 
10.6 Баллистическое проектирование артиллерийских стволов .
Задача обычно расчленяется на две части :
1. Устанавливается калибр орудия , тип снаряда и его начальная скорость , обеспечивающая решение поставленной боевой задачи .
2. Определяются размеры канала ствола и характеристики заряда .
Первая часть задачи имеет сравнительно мало вариантов решения , т.к. ТТТ обычно более или менее однозначно определяют вес снаряда , что в свою очередь определяет калибр системы и начальную скорость снаряда .Решение второй части баллистического проектирования имеет множество вариантов и отыскание наилучшего без хорошей методики потребует значительного времени .
В качестве основного метода решения обратной задачи внутренней баллистики обычно используется табличный метод , позволяющий достаточно быстро определить все параметры интересующего варианта . В последние годы для решения этой задачи используется ПЭВМ .
10.5.1. Порядок баллистического проектирования артиллерийского ствола .
1. В соответствии с ТТТ устанавливается вес снаряда q , калибр системы , начальная скорость снаряда V0 . Вес и кинетическая энергия снаряда определяются из условия поражения цели , калибр желательно брать равным одному из существующих . По расстоянию до цели и энергии снаряда у цели определяется начальная скорость ( задача внешней баллистики ) .
2. Определяются исходные данные для баллистического решения , с этой целью вычисляется дульная энергия снаряда – Ед :

Коэффициент могущества – CE :
CE = 
причем величина дульной скорости принимается равной начальной скорости Vд = V0 , т.е. с небольшим запасом на импульс после действия пороховых газов . Величина CЕ определяет в первом приближении исходные данные системы . Профессор В.Е. Слухоцкий , проанализировав большое число артиллерийских систем установил приближенные зависимости между коэффициентом могущества CЕ и основными характеристиками орудия . Результаты этого исследования приведены в таблице .
CЕ ,
| ,
| pm ,
| ,
|
| lд , клб. | CЕ ,
| ,
| pm ,
| ,
|
| lд , клб |
| 0,5 | 1,02 | 0,69 | 1,85 | ||||||||
| 0,55 | 1,09 | 0,69 | 1,98 | ||||||||
Генерация страницы за: 0.321 сек.

,