Другие методы оценки физической работоспособности
Проба Шефарда. Автором предложен двухступенчатый степ-тест, который предусматривает темп восхождения на ступеньку в зависимости от возраста, пола и массы тела (табл. 12.2). Время восхождения — 4—5 мин.
Для установления на метрономе необходимого темпа указанное в таблице количество циклов следует умножить на 6. Оценка выполнения двухступенчатой пробы по Шефарду производится по величине пульса, которая регистрируется с помощью электрокардиографа или определяется пальпаторно в первые 10 с после ее завершения (результат умножается на 6). Полученная ЧСС за 1 мин сравнивается с должной для данной нагрузки, представленной в табл. 12.2 в скобках.
Аэробная производительность оценивается как средняя при отклонении фактической ЧСС от должной на ±10 в 1 мин. При меньших значениях пульса работоспособность оценивается как высокая, при больших — как низкая.
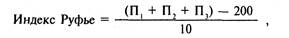
Гарвардский степ-тест. Тест предусматривает восхождение на ступеньку: для мужчин — высотой 50 см, для женщин — 43 см при частоте 30 в 1 мин (темп метронома устанавливается на 120 в 1 мин) и длительности 5 мин. Каждое восхождение состоит из 4 шагов. После завершения работы у обследуемого в положении сидя подсчитывается ЧСС в первые 30 мин, начиная со 2-й, 3-й и 4-й минут восстановления. По полученным данным рассчитывают индекс Гарвардского степ-теста по формуле:

где t — время восхождения (в секундах); П|5 П2, П3 — частота пульса во 2-ю, 3-ю и 4-ю минуты восстановления.
Таблица 12.2. Частота восхождений на ступеньку (циклы в 1 мин) в зависимости от возраста, пола и массы тела
| Масса | Возраст | , годы | Масса | Возраст, годы | |||||
| тепа, кг | тела, кг | ||||||||
| 20—29 | 30—39 | 40—49 | 50—59 | 20—29 | 30—39 | 40—49 | 50—59 | ||
| Мужчины | Женщины | ||||||||
| (161)* | (156) | (152) | (145) | (167)* | (160) | (154) | (145) | ||
* Средняя должная ЧСС.
При отставании из-за усталости от заданного метрономом темпа через 15—20 с после начала нарушений тест прекращают и учитывают фактическое время работы в секундах. Тест следует немедленно прекратить при появлении признаков чрезмерного утомления: бледности лица, появлении холодного пота, слабости и т. д.
При массовых обследованиях используют сокращенную форму Гарвардского степ-теста. В этом случае производится только однократный подсчет пульса в первые 30 мин, начиная со 2-й минуты восстановления. Расчет ИГСТ осуществляют по формуле:

Физическую работоспособность по индексу Гарвардского степ-теста оценивают по следующей шкале:
| ИГСТ | Оценка |
| <55 | Низкая |
| 55—64 | Ниже средней |
| 65—79 | Средняя |
| 80—89 | Хорошая |
| >90 | Отличная |
Проба Руфье. В связи с большой интенсивностью нагрузки при выполнении Гарвардского степ-теста он применяется для оценки физической работоспособности здоровых людей молодого возраста. Для старших возрастных групп рекомендуется метод косвенной оценки работоспособности с помощью функциональной пробы Руфье. Метод основан на учете величины пульса, зафиксированной на различных этапах восстановления после относительно небольших нагрузок. С этой целью используют 30 приседаний за 45 с либо 3-минутный степ-тест. Пульс определяют после 5 мин отдыха в положении лежа (при степ-тесте — сидя) за 15 с до нагрузки, в первые и последние 15 мин, начиная с 1-й минуты восстановления (результат умножают на 4). Для оценки работоспособности по приведенной ниже формуле рассчитывают индекс Руфье:

где П, — исходный пульс; П2 — сразу после нагрузки и П, — в конце 1-й минуты восстановления.
Если индекс Руфье составляет менее 3 — физическая работоспособность высокая, 4—6 — хорошая, 7—10 — посредственная, 10—15 — удовлетворительная, 15 и более — плохая.
Тест Навакки. Своеобразной разновидностью максимального теста с регистрацией лишь «критической» мощности без данных газоанализа является тест Навакки. Его достоинства — информативность, простота исполнения, возможность унифицировать результаты исследования. Тест рекомендован ВОЗ для широкого применения.
Для проведения теста необходим лишь велоэргометр. Нагрузка индивидуализируется в зависимости от массы тела испытуемого. Тест начинается с исходной нагрузки 1 Вт/кг массы тела и через каждые 2 мин увеличивается на эту же величину. Регистрируют максимальную достигнутую мощность и время ее удержания (в пределах 2 мин). В момент «отказа» потребление О, у испытуемого близко к максимальному, ЧСС также достигает максимальных значений. Тест пригоден для исследования как тренированных, так и нетренированных лиц; возможно его использование и в восстановительном лечении для дозирования нагрузки в процедуре ЛГ и оценки эффективности реабилитационного процесса. В последнем случае начинать пробу нужно с нагрузки 0,25 Вт/кг массы тела обследуемого. В таблице 12.3 приведена оценка результатов теста для здоровых лиц.
| Таблица 12.3. | Оценка результатов теста Навакки | |
| Мощность нагрузки, Вт/кг | Время работы на каждой ступеньке, мин | Оценка физической работоспособности |
| Низкая работоспособность у нетренированных | ||
| Удовлетворительная работоспособность у нетренированных | ||
| Нормальная работоспособность у нетренированных | ||
| Удовлетворительная работоспособность у спортсменов | ||
| Хорошая работоспособность у спортсменов | ||
| 1—2 | Высокая работоспособность у спортсменов | |
| Очень высокая работоспособность у спортсменов |
Нормальная работоспособность у нетренированных (мощность 3 Вт/кг, удерживаемая в течение 2 мин) соответствует МПК 42—44 мл/кг/мин, т.е. среднему функциональному классу (ФК) аэробной способности по Астранд для мужчин в возрасте 20— 50 лет. Выборочные исследования показывают, что среди мужчин Европы подобным уровнем физической работоспособности обладают всего 5—8 %.
12.3. Физическое состояние и методы его оценки
В последнее время наряду с терминами «физическое развитие», «физическая работоспособность» широко используется понятие «физическое состояние».
Физическое состояние— это совокупность взаимосвязанных признаков, в первую очередь таких, как физическая работоспособность, функциональное состояние органов и систем, пол, возраст, физическое развитие, физическая подготовленность. Вместе с тем зарубежные авторы под этим термином понимают готовность («physical fitness») человека к выполнению физической работы, занятиям физкультурой и спортом.
Применительно к спортсмену физическая готовность — это только часть общей физической подготовленности, которая,
кроме двигательной, включает эмоциональную, социальную и интеллектуальную компоненты. В некоторой степени это понятие сходно с термином «физическая форма».
Проведенные исследования свидетельствуют о том, что из всех рассмотренных показателей лишь определенная часть может отражать физическое состояние человека.
? Наибольшие факторные нагрузки в структуре физического
состояния несут показатели общей физической работо
способности, выраженные как ее аэробной (УО2шх, общая
выносливость tmax, AME), так и анаэробной (ХНАМЕ)
компонентой. Существенное значение в формировании фи
зического состояния имеют анаэробные процессы, учет ко
торых необходим как при разработке систем диагностики
физического состояния, так и при регламентации физиче
ских нагрузок в оздоровительной физической тренировке.
? Существенная роль в структуре физического состояния
принадлежит комплексу гемодинамических показателей,
полученных при максимуме нагрузки и отражающих
мощность кардиоциркуляторного резерва (минутный
объем сердца, ударный объем крови, О2-пульс, по
требность миокарда в О2, общее периферическое сопро
тивление). Эта группа показателей обладает высокой
информативностью для оценки физического состояния.
? Достаточно выражена в структуре физического состояния
значимость показателей гемо- и кардиодинамики в
состоянии мышечного покоя.
? Несколько меньшая, но все же заметная значимость в
структуре физического состояния респираторных реакций.
? Менее заметна значимость антропометрических параметров,
характеризующих физическое развитие человека. Если в пе
риод роста и становления организма показатели физичес
кого развития играют ведущую роль в формировании функ
циональных возможностей организма и широко использу
ются при отборе для занятий конкретным видом спорта, то
у взрослого человека они приобретают подчиненное значе
ние. На первый план для лиц зрелого возраста выступают
показатели общей физической работоспособности, функ
циональных возможностей сердечно-сосудистой системы,
возраст.
Из всех стандартных физических качеств лишь отдельные двигательные качества (общая, скоростная, скоростно-силовая выносливость) занимают по сравнению с другими ведущее положение. На это указывает и тот факт, что показатели быстроты, гибкости и динамической силы стоят в иерархии классификации физических качеств на последнем месте.
Таким образом, разработка программ оздоровительной тренировки, направленных на повышение уровня физического состояния, не может быть сведена к произвольному использованию любых физических упражнений. Значительное выделение такого качества, как общая, скоростная и скоростно-силовая выносливость, указывает на необходимость преимущественного использования соответствующих упражнений. Упражнения на гибкость, быстроту и динамическую силу в такого рода программах приобретают второстепенное значение. Их развитие в этих условиях может быть обеспечено по механизму положительного переноса двигательных качеств.
В настоящее время наибольшее распространение получили градации физического состояния по результатам максимальных и субмаксимальных тестов с нагрузками. В качестве основного показателя, наиболее объективно отражающего функциональные возможности кардиореспираторной системы и физическое состояние в целом, используется МПК. С учетом его значений P.O.Astrand и К.Cooper классифицируют физическое состояние здоровых людей как 5 уровней. При этом предельные величины МПК, характеризующие каждый уровень, существенно различаются.
Определить МПК в естественных условиях можно с помощью 12-минутного теста, предусматривающего измерение максимального расстояния, которое преодолевается за это время. Установлено, что между длиной дистанции и потреблением кислорода существуют следующие взаимоотношения:
| Дистанция, км | Потребление О22, мл-мин~1.кг -' |
| <1,6 1,6—1,9 2,0-—2,4 2,5—2,7 2,8 и более | <25,0 25,0—33,2 33,3—42,5 42,6—51,5 51,6 и более |
С учетом данных закономерностей для лиц разного пола и возраста разработана соответствующая шкала оценки физического состояния (табл. 12.4).
Несмотря на то что МПК является одним из наиболее важных показателей, отражающих физическое состояние человека, его использование в качестве единственного критерия вряд ли оправдано.
Во-первых, в ряде случаев отмечается несоответствие между уровнем развития двигательной функции и состоянием сердечнососудистой системы, что проявляется в виде нарушений деятельности циркуляторного аппарата на фоне высоких аэробных возможностей.

Таблица 12.4. Шкала оценки физического состояния по результатам 12-минутного теста, км*
| Степень физической подготовленности | Возраст, годы | |||
| До 30 | 30—39 | 40—49 | Старше 50 | |
| Очень плохая | Меньше 1,6 (меньше 1,5) | Меньше 1,5 (меньше 1,3) | Меньше 1,3 (меньше 1,2) | Меньше 1,2 (меньше 1,0) |
| Плохая | 1,6—1,9 (1,5—1,8) | 1,5—1,84 (1,3—1,6) | 1,3—1,6 (1,2-1,4) | 1,2—1,5 (1,0—1,3) |
| Удовлетворительная | 2,0—2,4 (1,85—2,15) | 1,85—2,24 (1,7-1,9) | 1,7—2,1 (1,5—1,8) | 1,6—1,9 (1,4-1,6) |
| Хорошая | 2,5—2,7 (2,16—2,6) | 2,25—2,64 (2,0—2,4) | 2,2—2,4 (1,85—2,3) | 2,0—2,4 (1,7—2,15) |
| Отличная | 2,8 и больше (2,65 и больше) | 2,65 и больше (2,5 и больше) | 2,5 и больше (2,4 и больше) | 2,5 и больше (2,2 и больше) |
* В скобках приведены размеры дистанции для женщин.
Во-вторых, физическое состояние не может определяться только уровнем развития какой-либо одной функции организма. Аэробная производительность — важнейший, но не единственный показатель физического статуса человека. Кроме аэробных возможностей, к числу параметров, определяющих физическое состояние, относятся максимальная мощность работы, функциональное состояние кардиореспираторной системы, возраст, отдельные двигательные качества. Поэтому в основу градаций физического состояния должен быть положен комплекс именно этих показателей. Следует также учитывать объективные и субъективные критерии ограничения максимального нагрузочного теста.
Применение комплекса перечисленных критериев позволило распределить представителей каждой декады жизни на 5 функциональных классов в соответствии с уровнем физического состояния (УФС): низкий, ниже среднего, средний, выше среднего и высокий. Лица с низким УФС характеризуются способностью выполнять работу в диапазоне 50—60 % ДМ ПК, ниже среднего — 61—75 %, со средним — 76—90 %, выше среднего — 91 — 100 % и с высоким — 101 % ДМПК и более.
Физическую работоспособность в диапазоне 2—3 Вт/кг массы тела принято считать хорошей или средней, а при 3 Вт/кг и более — отличной, так как установлено, что на уровне таких значений работоспособность сопряжена с высокими функциональными возможностями кардиореспираторной системы.
О функциональной полноценности системы транспорта кислорода свидетельствует также возможность выполнять нагрузки мощностью 200 Вт; работа в 150 Вт соответствует пограничному состоянию, меньшие ее значения указывают на наличие патологических факторов, лимитирующих физическую работоспособность [Пирогова Е.А., 1990]. ,
| Порядковый номер УФС | Уровень физического состояния |
| \ | Низкий НВ Ниже среднего Средний ШШ Выше среднего Высокий ШШ |
Функциональная достаточность кардиореспираторной системы отмечается у мужчин 20—39 лет не ниже чем со средним, 40—49 лет — выше среднего и 50—59 лет — с высоким УФС. Лица 30—49 лет с низким и ниже среднего УФС и 50—59 лет со средним УФС отражают пограничные возможности циркуляторного аппарата. У мужчин 50—59 лет с низким и ниже среднего УФС, средние величины работоспособности которых находятся в диапазоне 108,2—125,4 Вт, не исключается наличие скрытой патологии сердечно-сосудистой системы, в частности скрыто протекающего атеросклероза.
Экспресс-методы оценки физического состояния для первичного, текущего врачебно-педагогического контроля. В нашей стране разработаны комплексные диагностические системы КОНТРЭКС-3, КОНТРЭКС-2 и КОНТРЭКС-1, предназначенные соответственно для первичного, текущего врачебно-педагогического контроля и самоконтроля физического состояния. С их помощью можно определить не только уровень физического состояния, но и структуру физической подготовленности.
Выбор метода диагностики (экспресс-метод прогнозирования УФС или нагрузочное тестирование) двигательных возможностей с целью планирования нагрузок в оздоровительной физической тренировке определяется этапностью контроля. При решении диагностических задач на этапе первичного обследования предложенные методы как единственные способы оценки физических возможностей показаны лишь у лиц с полноценной функцией кардиореспираторного аппарата. Как было отмечено ранее, полноценная деятельность системы кровообращения характерна для представителей с физической работоспособ-
ностью 190 Вт и более или отнесенных в 20—39 лет не ниже чем к среднему, в 40—49 лет — выше среднего, в 50—59 лет — к высокому уровню физического состояния. Поэтому выявление в условиях первичного контроля экспресс-методами диагностики принадлежности к одному из названных классов служит основанием для программирования тренировочных занятий по полученным результатам.
Обнаружение при первичном контроле методами экспресс-диагностики низкого или ниже среднего уровня физического состояния указывает на необходимость у данной категории лиц глубокого клинико-функционального обследования с использованием нагрузочных тестов для выявления скрытой патологии. Принадлежность к более высокому функциональному классу требует дифференцированного выбора методов диагностики. Наличие риск-факторов развития сердечно-сосудистых заболеваний (в частности, превышение должных величин массы тела на 15 % и более, уровень АД в пограничной зоне, эффективность субэндокардиального кровотока в рамках относительной ишемии миокарда, гиперхолестеринемия более 6,72 ммоль/л, длительный перерыв после интенсивных тренировок) также указывает на необходимость использования в целях диагностики тестов с физическими нагрузками. При отсутствии этих факторов допустимо планирование нагрузок по результатам оценки двигательных возможностей экспресс-методами диагностики (Е.А.Пирогова).
При текущем и этапном контроле предложенные экспресс-способы диагностики являются предпочтительным методом оценки физического состояния, планирования нагрузок и управления тренировочным процессом.
| Глава 13 |
МЕДИЦИНСКОЕ ОБЕСПЕЧЕНИЕ ОЗДОРОВИТЕЛЬНОЙ ТРЕНИРОВКИ
13.1. Оздоровительная тренировка
Оздоровительная тренировка отличается от спортивной. Если спортивная тренировка предусматривает использование физических нагрузок в целях достижения максимальных двигательных результатов в избранном виде спорта, то оздоро-
вительная — в целях повышения уровня физического состояния. Поэтому характер и мощность используемых физических нагрузок в этих видах тренировки различны. В спортивной тренировке применяются в большом объеме сверхпредельные нагрузки, а в оздоровительной — не превышающие функциональных возможностей организма, но достаточно интенсивные, чтобы вызвать оздоровительный эффект. Как и в спортивной тренировке, эффективность физических упражнений оздоровительной направленности определяется периодичностью и длительностью занятий, интенсивностью и характером используемых средств, режимом работы и отдыха.
Рациональная кратность занятий физическими упражнениями.Результаты клинико-физиологических исследований позволяют сделать заключение, что для совершенствования физического состояния целесообразны 3- и 5-кратные занятия в неделю. Для поддержания высокого физического состояния на достигнутом уровне достаточны двукратные занятия в неделю, поскольку эта кратность занятий при отсутствии существенных изменений в двигательной функции обеспечивает изменения гемо- и кардиодинамики. Конкретная периодичность занятий должна определяться уровнем физического состояния. У лиц с низкими физическими возможностями (уровень низкий и ниже среднего) для повышения двигательных качеств рациональны частые занятия (4—5 раз в неделю) при одновременном снижении мощности нагрузок в одном занятии.
Одним из важнейших факторов, определяющих тренированность, является интенсивность процессов истощения и восстановления. Рост работоспособности наблюдается лишь в том случае, когда последующая нагрузка соответствует периоду максимального развития восстановительных процессов (суперкомпенсация). Наблюдаемое некоторое преимущество трехкратных занятий по сравнению с 5-кратными при данной мощности нагрузок объясняется, очевидно, тем, что при 5-кратных занятиях каждая последующая тренировка совпадает с известным недовосстановлением метаболических процессов в мышце сердца, тогда как при 3-кратных — с периодом максимального отдыха.
Для лиц среднего и выше среднего уровня физического состояния рациональными являются трехкратные занятия в неделю. Молодым лицам с высоким уровнем физического состояния также целесообразно заниматься 3 раза в неделю в целях дальнейшего совершенствования физической работоспособности и подготовленности. В среднем и пожилом возрасте при достижении высокого уровня физического состояния для его поддержания необходимы двукратные занятия в неделю.
Периодичность занятий в течение недели должна определяться объемом и мощностью тренировочных нагрузок. Например, даже двухкратные занятия в неделю продолжительностью 20—40 мин при относительно высокой интенсивности нагрузок (75—80 % МП К) дают положительный эффект в течение 8—14 нед занятий. Такого же эффекта можно достигнуть при аналогичной периодичности занятий, но с применением нагрузок невысокой интенсивности (50 % МПК) и увеличением продолжительности тренировки до 90—120 мин.
Направленность оздоровительной тренировки.Тренировочный эффект определяется уровнем функционирования механизмов преобразования энергии в организме. Наиболее часто профи-лактико-оздоровительный эффект физической тренировки связывают с применением упражнений умеренной интенсивности (аэробной направленности). В связи с этим получили широкое распространение рекомендации к использованию с оздоровительной целью циклических упражнений (бег, езда на велосипеде, ходьба на лыжах и др.), вовлекающих в работу '/5— 1/2 мышечного массива и более.
, Исследования недавнего времени, согласно которым тренировка в аэробном режиме не исключает возможности развития инфаркта миокарда при непривычных напряжениях скоростного и скоростно-силового характера, послужили аргументом в пользу точки зрения, обосновывающей необходимость использования в тренировочных программах упражнений большей мощности, т.е. стимулирующих анаэробные источники энергообеспечения.
Рациональные соотношения средств различной направленности. Воздоровительной тренировке для повышения физической работоспособности в молодом возрасте следует отдавать предпочтение упражнениям, совершенствующим различные виды выносливости (общую, скоростную, скоростно-силовую). В среднем и пожилом возрасте важна стимуляция всех двигательных качеств на фоне ограничения скоростных упражнений. С возрастом также расширяется спектр воздействия физических упражнений.
В настоящее время применяется номограмма (Е.А.Пирогова и др.), для выбора рациональных средств различной направленности в занятиях определенной продолжительности у лиц с разным уровнем физического состояния (рис.13.1). На рис.13.1 по вертикали обозначены длительность и характер нагрузок, по горизонтали — уровень физического состояния. Для определения рациональных соотношений физических упражнений следует точку, соответствующую уровню физического состояния, соединить с прямой, обозначающей конкретный вид упраж-
| Продолжительность, мин |
| 30- | 40- | 60- |
| 27- | - | |
| 24-21- | 30- | 45- |
| 18- | ~ | - |
| 15- | 20- | 30- |
| 12- | - | - |
| 9-5 - | 10- | 15- |
| 3 -0 | - |

| 30 40 60 |
2 3 4 5
Уровень физического состояния
Рис. 13.1. Номограмма для определения рациональных средств различной направленности у лиц разного возраста.
ОВ — общая выносливость; ССВ — скоростно-силовая выносливость; Г — гибкость; СВ — скоростная выносливость.
нений (например, на выносливость), из этой точки провести перпендикуляр к одной из вертикальных осей, представляющих длительность занятия. В точке их пересечения и будет находиться искомый объем упражнений данного вида. Например, для лиц со средним физическим состоянием соотношение средств на развитие общей, скоростной, скоростно-силовой выносливости и гибкости должно составлять в 60-минутном занятии 30:5:13:12 мин.
Критерии дозирования физических нагрузок в оздоровительной тренировке
Решающим условием обеспечения оптимального оздоровительного эффекта при использовании средств физкультуры является соответствие величины нагрузок функциональным возможностям организма.
Способы регламентации нагрузок:
• по относительной мощности (в процентах к МПК,PWCirax);
• по абсолютным и относительным значениям числа повто
рений упражнений (количество повторений в процентах к
максимальному числу повторений);
•
по величине физиологических параметров (ЧСС, энерге
тические затраты);
• по субъективным ощущениям.
Дозирование физических нагрузок по относительным значениям их мощности. При дозировании величины нагрузок в соответствии с уровнем МПК или максимальной работоспособности необходимо проведение тестов субмаксимальной или максимальной мощности, на основании которых графически определяются конкретные значения тренировочных уровней нагрузок. В оздоровительной тренировке диапазон рекомендуемой мощности колеблется в довольно широких пределах, составляя 40—90 % МПК. Наиболее прочно утвердилась точка зрения о преимущественном использовании в тренировочных программах нагрузок умеренной мощности (40—60 % МПК), обеспечивающих стимуляцию аэробных источников энергопродукции.
Дозирование физических нагрузок по ЧСС. Регламентация нагрузок с учетом уровня максимального потребления кислорода или максимальной работоспособности в условиях использования массовых форм физической культуры весьма затруднительна. Поэтому в практике нагрузки чаще дозируют по ЧСС. Линейная зависимость между мощностью нагрузки и сдвигами, возникающими под ее влиянием в различных системах организма, явилась основой использования ЧСС для оценки интенсивности физической нагрузки как в спортивной практике, так и в практике оздоровительной физкультуры.
В настоящее время высказывается точка зрения о наибольшей информативности в физиологической оценке напряженности работы аэробного характера некоторых относительных пульсовых показателей, рассчитываемых с учетом исходного, максимального и рабочего уровня ЧСС, пульсового резерва, рабочего и абсолютного рабочего прироста.

возможной благодаря применению биоэнергетического подхода, или метода «эквивалентных килокалорий», при регламентации двигательной активности в лечебной физкультуре. Суть этого подхода заключается в подборе различных видов мышечной деятельности, в том числе физических упражнений, не превышающих по своей энергетической «стоимости» индивидуальных энергетических пределов организма. При этом разработаны соответствующие рекомендации по энергетической оценке профессиональных, бытовых нагрузок и физических упражнений, эквивалентных определенному энергетическому уровню толерантной нагрузки или максимальной физической работоспособности, для здоровых и больных людей. При массовых формах физической культуры такой подход может быть использован для определения предельно допустимых, тренировочных и минимальных нагрузок в конкретных видах упражнений.
За минимальную границу тренировочных нагрузок принята величина порога анаэробного обмена (ПАНО), ниже которой в условиях 20—30 мин занятий максимальная стимуляция кислородотранспортной системы не наблюдается. Физические упражнения, мощность которых ниже ПАНО на 10—15 %, могут быть рекомендованы как восстанавливающие нагрузки в качестве активного отдыха. Энергетический уровень, составляющий 50— 75 % максимального, соответствует тренирующим нагрузкам. Ориентация на энергетические пределы при выборе средств физической культуры гарантирует безопасность их использования даже у лиц с низкими функциональными возможностями [Пирогова Е.А. и др., 1990; Макарова Г.А., 1997].
Дозирование нагрузок по числу повторений физических упражнений. Метод дозирования физических упражнений в занятиях предусматривает учет максимального числа повторений (МП) в течение определенного промежутка времени (15—30 с).
Тренировочная величина нагрузки выражается в процентах от индивидуального максимума повторений (МП) или в
относительных единицах (МП/2;MП/3;МП/4 и т.д..). в оздоровительной тренировке дозировка нагрузки находится в диапазоне MJL- Ш1 или 25-50 % МП.

Дозирование физических нагрузок в соответствии с метаболическими показателями. Реализация принципа соответствия нагрузки функциональным резервам организма при занятиях физическими упражнениями стала
Принципы и методы оздоровительной физической тренировки
Физическая тренировка основана на ряде принципов, в основе которых лежат определенные физиологические закономерности.
Принцип повторности основан на учении о следовых явлениях в тканях и регулирующих образованиях (А.А.Ухтомский). Предполагается систематическое использование физических упражнений в соответствии с функциональными возможностями организма занимающихся.
Принцип постепенности заключается в изменении тренировочной нагрузки в соответствии с динамикой функционального состояния индивида. В этом случае допускают и значительное увеличение нагрузки, и ее стабилизацию, и снижение. Однако общая тенденция — постепенное повышение нагрузки до достижения должных возрастно-половых характеристик резервов функций.
Принцип индивидуализации заключается в строгом соответствии физической нагрузки функциональным возможностям занимающихся. Индивидуальный подход — главное требование оздоровительной тренировки.
Тренировка общейвыносливости. Из всех основных физических качеств человека — силы, быстроты, общей выносливости и ловкости — ведущим для укрепления здоровья является общая выносливость (способность длительно выполнять аэробную физическую работу умеренной интенсивности). Теория спортивной тренировки выделяет ряд методов развития общей выносливости, среди них — интервальный и непрерывный методы, наиболее характерные для тренировочного процесса в целях укрепления здоровья.
Интервальный методрекомендуется для начинающих и заключается в чередовании значительных по мощности (для данного индивида) нагрузок с умеренными нагрузками в течение одной тренировки. Например, сочетание коротких отрезков ходьбы и бега (бег 50 м + ходьба 150 м) на дистанции 1600— 3200 м при ЧСС 120 в 1 мин. При достижении определенного уровня общей выносливости (например, способность преодолеть 3200 м менее чем за 28 мин при ЧСС не более 120 в 1 мин) переходят к преимущественно непрерывному методу развития общей выносливости. Он заключается в равномерном распределении нагрузки в основной части занятия. Например, легкий равномерный бег в течение 10—30 мин при частоте пульса не выше 22-24 за 10 с (ЧСС 132-144 в 1 мин).
Из богатого арсенала тренировочных средств могут быть преимущественно рекомендованы те, которые сопровождаются циклическими движениями, развивающими общую выносливость (ходьба, бег, езда на велосипеде, ходьба на лыжах, плавание, гребля и т.п.).
Дата добавления: 2015-07-04; просмотров: 1066;
