Расчет осадки свайного фундамента
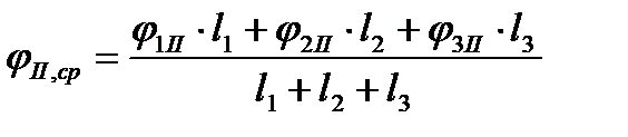
Средневзвешенное значение угла внутреннего трения:

где
- расчётное значение углов внутреннего трения для отдельных пройденных сваями слоёв грунта толщиной соответственно
,
и
.



Размеры свайного ростверка в пределах периметра куста свай:

Площадь условного массива:

Объём условного массива:

Объём свай: 
Объём грунта: 
Средневзвешенное значение объёмного веса

Вес условного массива грунта: 
Вес свай в условном фундаменте: 
Вертикальная составляющая нормальных сил в уровне нижних концов свай:

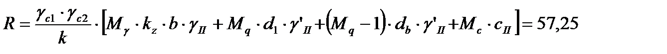
Среднее фактическое давление на грунт под подошвой условного фундамента от нормативных нагрузок:

R > P – условие выполняется.
Природное давление условного фундамента:


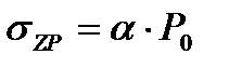
Дополнительное вертикальное напряжение на глубине Z от подошвы условного фундамента:
, где α – коэффициент, принимаемый по [табл.1, прил.2, 1]
Нижняя граница сжимаемой толщи основания принимается на глубине, где выполняется условие.

hi = 0,4×L = (0,2-0,4) × 1 = 0,4 м –толщина i-го слоя грунта.
Составляем таблицу и строим графики напряжений.
| z | 2*z/b |
| l/b |
|
|
|
| E |
| ||
| 0,4 | 0,8 | 0,866 | 1,8 | 11,3215 | 0,772 | 0,1544 | 9,438941 | 1,93 | 0,005034 | ||
| 0,8 | 1,6 | 0,578 | 7,556382 | 1,544 | 0,3088 | 6,222903 | 1,93 | 0,003319 | |||
| 1,2 | 2,4 | 0,374 | 4,889424 | 2,316 | 0,4632 | 4,085414 | 1,93 | 0,002179 | |||
| 1,6 | 3,2 | 0,251 | 3,281405 | 3,12 | 0,624 | 2,791155 | 1,95 | 0,001063 | |||
| 0,176 | 2,300905 | 3,9 | 0,78 | 1,150453 | 1,95 | 0,000438 | |||||
| 0,012033 | |||||||||||
| 0,009627 |
Таблица 8– Значения осадки свай
Осадка 0,9 см , т.е. меньше допустимой 8см.
Расчет перкаращен на глубине 2, м от отметки 98,0 что выше фундамента заложеннго на глубине 3,0м, следовательно схемы загружения не представлено.
Дата добавления: 2015-07-30; просмотров: 847;
