Пространственная работа каркаса одноэтажного пром. здания при крановых нагрузках.

Рис. 13.20. Пространственный блок одноэтажного каркасного здания
а — схема блока; б — схема перемещения блока; 1 — покрытие; 2 — подкрановая балка; 3 — вертикальные связи по колоннам
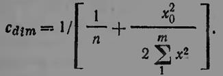
Поперечную раму можно рассчитывать на крановые нагрузки с учетом пространственной работы каркаса здания методом перемещений с введением к реакции от единичного перемещения поперечной рамы коэффициента Cdim
Дата добавления: 2015-07-30; просмотров: 1729;
