Создание ресурсо- и энергосберегающих производств.
Существуют следующие пути создания таких производств:
1) Комплексная переработка сырья (к экзамену примеры)
2) Разработка новых эффективных технологических процессов (к экзамену примеры)
3) Применение нетрадиционных видов энергии
4) Создание бессточных и замкнутых систем водоснабжения
Схема оборотного водоснабжения предприятия:
| Производство |
| Очистка |
| Охлаждение |
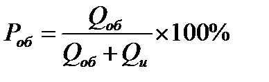
Qи – количество воды, забираемое из источника водоснабжения.
Qсб – количество воды, сбрасываемое предприятием.
Qоб – количество оборотной воды.
Для оценки эффективности оборотных систем водоснабжения используются следующие параметры:
Процент оборота воды: 
Коэффициент использования воды: 
5) Рекуперация отходов – это улавливание и переработка ценных веществ, находящихся в отходах (к экзамену примеры)
Л11Основные направления охраны окружающей природной среды от промышленных выбросов. Очистка воздуха и воды.
Дата добавления: 2015-07-22; просмотров: 1256;
