Диффузионный ток
Определяет специфические свойства п/п. Если есть где-то избыточная концентрация электронов или дырок, то они начинают двигаться в сторону уменьшения grad концентрации. Значит, течет ток. Откуда берется дрейфовый ток? Например, можно просто направить на полупроводник пучок электронов.
Электронная компонента диффузионного тока/ дырочная компонента диффузионного тока:

D – коэффициент диффузии.dn/dx– grad концентрации (мы рассматриваем одномерный случай). В сторону уменьшения grad всегда течет ток, знак + , потому, что говорим об электронах, а ток направлен противоположно движению электронов.
Коэффициент диффузии электронов/дырок

К изменению концентрации также приводит рекомбинация неравновесных носителей.

р – концентрация дырок
pn – концентрация дырок в п/п n-типа, т.е. концентрация не основных носителей заряда. Рекомбинация основных носителей заряда роли не играет потому, что она происходит во всем п/п. Рекомбинация не избыточных носителей заряда также никакой роли не играет.
Генерация неравновесных носителей.

Генерация может быть обусловлена самыми разными процессами.
Эти четыре процесса так или иначе вмещают в себя все процессы, которые могут идти в полупроводнике.
Уравнение непрерывности(ЗСЗ в дифференциальной форме)
Разность между числом частиц, входящих в некий объем и выходящих из этого объема, = числу частиц, которые там возникли.

ЗСЗ:

G – функция, которая описывает генерацию.
R – функция, которая описывает рекомбинацию.

Делим все на
, переходим к пределу
Уравнение непрерывности для электронов:

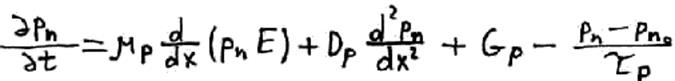
Аналогично уравнение непрерывности для дырок

Уравнение непрерывности (ЗСЗ) в общем виде:

Дата добавления: 2015-08-21; просмотров: 1042;
