Отверждение эпоксидных олигомеров
Эпоксидные. олигомеры, содержащие реакционноспособные эпоксидные группы, отверждаются многими низкомолекулярными соединениями, олигомерами и полимерами. В числе часто используемых с этой целью веществ — первичные алифатические и ароматические ди- и полиамины (полиэтиленполиамин, гексаметилендиамин, диэтилентриамин, п-фенилендиамин и т. д.), дициандиамид, ангидриды ди- и тетракарбоновых кислот, третичные амины, их комплексы с BF3 и др.
Отверждение аминами. Реакция с первичными аминами протекает с выделёниём тепла и большой скоростью. Отверждение первичными аминами описывается уравнением:
(Э9)
При достаточной концентраций эпоксидных групп процесс протекает при комнатной температуре, что позволяет формовать крупногабаритные изделия. Она не сопровождается выделением каких-либо, побочных продуктов, поэтому такие полимеры имеют минимальную усадку. На конечных стадиях процесса образуется третичный амин, каталитическое влияние которого мало из-за пространственных затруднений, обусловленных размером этих молекул.
Вторичные амины реагируют медленнее и для достижения высокой степени отверждения процесс проводят при нагревании.
При отверждении третичными аминами происходит полимеризация α-окисного цикла, протекающая по ионному механизму. Третичные амины, как и их комплексы с BF3, отверждают эпоксидные олигомеры путем ионной полимеризации по эпоксидным группам. В присутствии третичных аминов отверждение протекаeт, например, по следующей схеме:
(Э10)
Алифатические амины (диэтилентриамин, триэтилентетрамин, полиэтиленполиамин и др.) реагируют очень энергично. Наиболее часто для отверждения эпоксидных олигомеров на холоду используют полиэтиленполиамины общей формулы H2N(CH2CH2NH)nH, где n=l-4. При использовании полиаминов с эпоксидными группами олигомера взаимодействуют все подвижные атомы водорода амина.
Ароматические амины менее реакционноспособны, отверждение ими проводится при нагревании. В результате получаются продукты с хорошими механическими свойствами. Чаще всего применяют м-фенилендиамин, бензидин, пиперидин и др. Смешение аминов с эпоксидными олигомерами должно проводиться в жидкой фазе.
Алифатические диамины способны отверг ждать эпоксидные олигомеры на холоду, а отверждение ароматическими диаминами проводят при 80 °С и выше.
К недостаткам отверждения аминам и следует отнести их токсичность, большой экзотермический эффект, который приводит к местным перегревам и образованию внутренних напряжений или пузырей. Растворы полимеров с аминами нестабильны при хранении. Для устранения этих недостатков отверждение проводят аддуктами (продуктами взаимодействия избытка амина с эпоксидным олигомером), которые не только облегчают работу, но и улучшают некоторые свойства продуктов (например, эластичность).
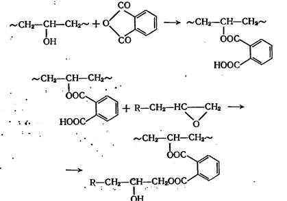
Отверждение дикарбоновыми кислотами и их ангидридами
При отверждении ангидридами дикарбоновых кислот, например фталевым, вначале с ангидридом реагируют гидроксильные группы олигомера, а затем образовавшиеся карбоксильные группы взаимодействуют с эпоксидными:
(Э11)
где R — остаток олигомера.
Наиболее высокую скорость имеет реакция между карбоксильной и эпоксидной группами. Процесс ускоряется в присутствии щелочных катализаторов:
(Э12)
Другие виды отверждения эпоксидных олигомеров
В определенных условиях может происходить самоотверждение эпоксидных олигомеров, т.е. взаимодействие различных функциональных групп макромолекулы между собой с образованием поперечных связей. Кроме того, отверждение может производиться этерификацией эпоксидных и гидроксильных групп олигомера жирными кислотами или смоляными кислотами канифоли. Отвердителями эпоксидных олигомеров могут служить также полимеры и олигомеры, содержащие реакционноспособные по отношению к эпоксидным функциональные группы — гидроксильные (фенолоформальдегидные олигомеры), карбоксильные (полиэфиры), аминные (полиамиды) и др.
В зависимости от свойств эпоксидного олигомера, природы и количества отвердителя подбирают оптимальные условия отверждения. Для повышения термостойкости отвержденные полимеры прогревают при повышенной температуре. При этом следует учитывать, что продолжительная термообработка уменьшает механическую прочность пластмассы.
Степень отверждения эпоксидных полимеров характеризуется их тепло- и химической стойкостью, диэлектрическими и механическими свойствами, а также стабильностью этих свойств. Практически важным показателем отверждения является количество растворимого вещества, экстрагируемого растворителем. Поперечные связи в отвержденных эпоксидиановых олигомерах расположены сравнительно редко. Поэтому они менее хрупки, чем, например, фенолоформальдегидные или аминоформальдегидные.
Для сохранения стабильности свойств полимеров необходимо использовать эффективные отвердители и ускорители высокого качества.
Дата добавления: 2015-06-22; просмотров: 4619;
