Уравнение плоской монохроматической волны
Волну, имеющую постоянную частоту, называют монохроматической. Уравнением волны называется выражение, которое определяет смещение точки, как функцию её координат x, y, z и времени.
(1)
Функция (1) должна быть периодической как относительно времени t, так и относительно координат x, y, z. Периодичность по t следует из того, что f описывает колебания точки с координатами x, y, z. Периодичность по координатам вытекает из того, что точки отстающие друг от друга на расстоянии
, колеблются одинаковым образом.
Найдём вид функции f в случае плоской волны, предполагая, что колебания носят гармонический характер. Для упрощения направим оси координат так, чтобы ось x совпала с направлением распространения волны.

Пусть колебания точек в плоскости x = 0 имеют вид:

Найдём вид колебания частиц в плоскости, соответствующей произвольному значению х. Для прохождения пути от х = 0 до этой плоскости волне требуется время:
, где υ – скорость распространения волны.
Следовательно, колебания частиц, лежащих в плоскости х, будут отставать по времени на τ от колебаний частиц в плоскости х = 0:
(2)
Величина f представляет собой смещение любой из точек с координатой х в момент времени t. При выводе формулы (2) предполагалось, что амплитуда колебаний во всех точках одна и та же. В случае плоской волны это наблюдается, если энергия волны не поглощается средой.
Запишем какое-либо значение фазы:
(3)
Отсюда найдём скорость, с которой перемещается данное значение фазы. Продифференцируем (3):
. (4)
Таким образом, скорость распространения волны есть скорость перемещения фазы. Поэтому её называют фазовой скоростью.
Из (4) следует, что волна распространяется в направлении возрастания Х. Волна, распространяющаяся в противоположном направлении, имеет вид:
,
.
Волна распространяется в сторону убывания Х. Введём величину, называемую волновым числом:
. Можно получить:
.
Тогда уравнение (2) перепишем:
.
Если волна распространяется в сторону убывания Х:
.
Рассмотрим случай распространения плоской волны в произвольном направлении:
, (5)
где:
– волновой вектор.
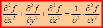
Оказывается, что уравнение любой волны есть решение дифференциального уравнения, называемого волновым. Продифференцируем (5) по каждой из переменных x, y, z, t:
; (6)
(7)
Сложим три последних уравнения (7):
; (8)
Разделив уравнение (8) на (6): 
Получаем:
– волновое уравнение.
Дата добавления: 2015-06-12; просмотров: 563;
