ПАРАМЕТРЫ И ЭКВИВАЛЕНТНЫЕ СХЕМЫ
Параметры транзисторов являются величинами, характеризующими их свойства. С помощью параметров можно сравнивать качество транзисторов, решать задачи, связанные с применением транзисторов в различных схемах, и рассчитывать эти схемы.
Для транзисторов предложено несколько различных систем параметров и эквивалентных схем, каждая из которых имеет свои преимущества и недостатки.
Все параметры можно разделить на собственные (или первичные) и вторичные. Собственные параметры характеризуют свойства самого транзистора независимо от схемы его включения, а вторичные параметры для различных схем включения различны.
В качестве собственных параметров помимо знакомого нам коэффициента усиления по току, а принимают некоторые сопротивления в соответствии с эквивалентной схемой транзистора для переменного тока (рис. 5.9). Эта схема, называемая Т-образной, отображает электрическую структуру транзистора и учитывает его усилительные свойства. Как в этой, так и в других эквивалентных схемах следует подразумевать, что на вход включается источник усиливаемых колебаний, создающий входные напряжения с амплитудой Um1 а на выход - нагрузка RH. Здесь и в дальнейшем для переменных токов и напряжений будут, как правило, указаны их амплитуды. Во многих случаях они могут быть заменены действующими, а иногда и мгновенными значениями.
Основными первичными параметрами являются сопротивления гэ, rк и гб, т. е. сопротивления эмиттера, коллектора и базы переменному току. Сопротивление гэ . представляет собой сумму сопротивлений эмиттерного перехода и эмиттерной области. Подобно этому гк является суммой сопротивлений коллекторного перехода и коллекторной области. Последнее очень мало по сравнению с сопротивлением перехода, поэтому им можно пренебречь. А сопротивление rб есть поперечное сопротивление базы.
Рассматриваемая эквивалентная схема напоминает схему на рис. 4.4, однако отличается от нее. Схема на рис. 4.4 непригодна для переменных токов прежде всего потому, что в ней даны сопротивления
постоянному току, а сопротивления
вследствие

нелинейных свойств транзистора имеют иные значения. Кроме того, эта схема не отражает усилительных свойств транзистора. Если ко входу схемы подключить источник колебаний, то на выходе переменное напряжение получится не усиленным, а пониженным за счет потерь в сопротивлениях гэ0 и гк0.
В схеме же на рис. 5.9, а усиленное переменное напряжение на выходе, получается от некоторого эквивалентного генератора, включенного в цепь коллектора; ЭДС этого генератора пропорциональна току эмиттера iтэ.
Эквивалентный генератор надо считать идеальным, а роль его внутреннего сопротивления выполняет сопротивление гк. Как известно, ЭДС любого генератора равна произведению его тока короткого замыкания на внутреннее сопротивление. В данном случае ток короткого замыкания равен ,
так как
при R,н, = 0, т. е. при коротком замыкании на выходе. Таким образом, ЭДС генератора равна
.
Вместо генератора ЭДС можно ввести в схему генератор тока. Тогда получается наиболее часто применяемая эквивалентная схема (рис. 5.9, б). В ней генератор тока создает ток, равный
,. Значения первичных параметров примерно следующие. Сопротивление гэ, составляет десятки ом, гб — сотни ом, а rк — сотни килоом и даже единицы мегаом. Обычно к трем сопротивлениям в качестве четвертого собственного параметра добавляют еще а. Рассмотренная эквивалентная схема транзистора пригодна только для низших частот. На высоких частотах необходимо учитывать еще емкость эмиттерного и коллекторного перехода, что приводит к усложнению схемы. В данном параграфе будут рассмотрены только низкочастотные эквивалентные схемы и параметры. Работа транзисторов на более высоких частотах описана в гл. 6.
Эквивалентная схема с генератором тока для транзистора, включенного по схеме ОЭ, показана на рис. 5.10. В ней генератор дает ток
, а сопротивление коллекторного перехода по сравнению с предыдущей схемой значительно уменьшилось и равно 

приближенно,
если учесть, . что
. Уменьшение сопротивления коллекторного перехода в схеме ОЭ объясняется тем, что в этой схеме некоторая часть напряжения uко приложена к эмиттерному переходу и усиливает в нем инжекцию. Вследствие этого значительное число инжектированных носителей достигает коллекторного перехода и его сопротивление снижается. Переход от эквивалентной схемы ОБ к схеме ОЭ можно показать следующим образом. Напряжение, создаваемое любым генератором, равно разности между ЭДС и падением напряжения на внутреннем сопротивлении. Для схемы по рис. 5.9, это будет


В этом выражении первое слагаемое
представляет собой ЭДС, а второе слагаемое есть падение напряжения от тока 1тб на сопротивлении rK(l —a), которое является сопротивлением коллекторного перехода. А ток короткого замыкания, создаваемый эквивалентным генератором тока, равен отношению ЭДС к внутреннему сопротивлению, т. е.

Рассмотренные Т-образные эквивалентные схемы являются приближенными, так как на самом деле эмиттер, база и коллектор соединены друг с другом внутри транзистора не в одной точке. Но тем не менее использование этих схем для решения теоретических и практических задач не дает значительных погрешностей.
Все системы вторичных параметров основаны на том, что транзистор рассматривается как четырехполюсник, т. е. прибор, имеющий два входных и два выходных зажима. Вторичные параметры связывают входные и выходные переменные токи и напряжения и справедливы только для данного режима транзистора и для малых амплитуд. Поэтому их называют низкочастотными малосигнальными параметрами. Вследствие нелинейности транзистора вторичные параметры изменяются при изменении его режима и при больших амплитудах.
В настоящее время основными считаются смешанные (или гибридные) параметры, обозначаемые буквой h или Н. Название «смешанные» дано потому что среди них имеются два коэффициента, одно сопротивление и одна проводимость. Именно h-параметры приводятся во всех справочниках. Параметры системы h удобно измерять. Это весьма важно, так как в справочниках содержатся усредненные параметры, полученные в результате измерений параметров нескольких транзисторов данного типа. Два из /г-параметров определяются при коротком замыкании для переменного тока на выходе, т. е. при отсутствии нагрузки в выходной цепи. В этом случае на выход транзистора подается только постоянное напряжение (и2 =const) от источника Е2. Остальные два параметра определяются при разомкнутой для переменного тока входной цепи, т. е. когда во входной цепи имеется только постоянный ток (i= const), создаваемый источником питания. Условия и2 = const и i = const нетрудно осуществить на практике при измерении h-параметров.
В систему /г-параметров входят следующие величины:
1. Входное сопротивление

представляет собой сопротивление транзистора переменному входному току (между входными зажимами) при коротком замыкании на выходе, т. е. при отсутствии выходного переменного напряжения.
При таком условии изменение входного тока
является результатом изменения только входного напряжения
. А если бы на выходе было переменное напряжение, то оно за счет обратной связи, существующей в транзисторе, влияло бы на входной ток. В результате входное сопротивление получалось бы различным в зависимости от переменного напряжения на выходе, которое, в свою очередь, зависит от сопротивления нагрузки RH. Но параметр h11 должен характеризовать сам транзистор (независимо от RH), и поэтому он определяется при и2 = const, т. е. при Rн=0.
2. Коэффициент обратной связи понапряжению

показывает, какая доля выходного переменного напряжения передается на вход транзистора вследствие обратной связи в нем.
Условие i1= const в данном случае подчеркивает, что во входной цепи нет переменного тока, т. е. эта цепь разомкнута для переменного тока, и, следовательно, изменение напряжения на входе Aui есть результат изменения только выходного напряжения Аи2.
Как уже указывалось, в транзисторе всегда есть обратная связь за счет того, что электроды транзистора электрически соединены между собой, а также за счет сопротивления базы. Эта обратная связь существует на любой низкой частоте, даже при f= 0, т. е. на постоянном токе.
3. Коэффициент усиления по току(коэффициент передачи тока)

показывает усиление переменного тока транзистором в режиме работы без нагрузки.
Условие и2 = const, т. е. Rн = 0, и здесь задается для того, чтобы выходной ток
зависел только от входного тока
. Именно при выполнении такого условия параметр h21 будет действительно характеризовать усиление тока самим транзистором. Если бы выходное напряжение менялось, то оно влияло бы на выходной ток и по изменению этого тока уже нельзя было бы правильно оценить усиление.
4. Выходная проводимость

представляет собой внутреннюю проводимость для переменного тока между выходными зажимами транзистора.
Ток i2 должен изменяться только под влиянием выходного напряжения и2. Если при этом ток i1 не будет постоянным, то его изменения вызовут изменения тока i2 значение -h22 будет определено неправильно.
Величина h22 измеряется в сименсах (См). Так как проводимость в практических расчетах применяется значительно реже, нежели сопротивление, то в дальнейшем мы часто будем пользоваться вместо h22 выходным сопротивлением RBЫХ = l/h22, выраженным в омах или килоомах.
Определить параметры можно не только через приращения токов и напряжений, но и через амплитуды переменных составляющих токов и напряжений:

Напомним, что h-параметры определены для малых амплитуд, поэтому использование их для больших амплитуд дает значительные погрешности.
При измерении параметров на переменном токе вместо амплитуд могут быть взяты действующие значения, показываемые измерительными приборами.
Зависимость между переменными токами и напряжениями в транзисторе при использовании h-параметров можно выразить следующими уравнениями:

Действительно, напряжение во входной цепи Uml складывается из падения напряжения от входного тока Im1 на входном сопротивлении h11 и напряжения, переданного с выхода на вход за счет обратной связи и составляющего часть выходного напряжения Um2. Эту часть показывает параметр h12. А выходной ток 1т2 является суммой усиленного тока, равного h2llmi, и тока в элементе h22 схемы, создаваемого выходным напряжением Um2.
Уравнениям (5.11) и (5.12) соответствует эквивалентная схема, изображенная на рис. 5.11. В ней генератор ЭДС hl2Um2 показывает наличие напряжения обратной связи во входной цепи. Сам генератор надо считать идеальным, т. е. не имеющим внутреннего сопротивления. Генератор тока
в выходной цепи учитывает эффект усиления тока, a h22 является внутренней проводимостью этого генератора. Хотя и входная и выходная цепи кажутся не связанными друг с другом, на самом деле эквивалентные генераторы учитывают взаимосвязь этих цепей.
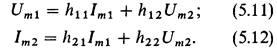
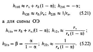
В зависимости от того, к какой схеме относятся параметры, дополнительно к цифровым индексам ставятся буквы: «э» — для схемы ОЭ, «б» — для схемы ОБ и «к» — для схемы ОК.
Рассмотрим h-параметры для схем ОЭ и ОБ и приведем их выражения для транзисторов небольшой мощности.
Для схемы ОЭ
поэтому h-параметры определяются по следующим формулам:
входное сопротивление

и получается от сотен ом до единиц килоом;

коэффициент обратной связи

и обычно равен 10-3—10-4, т.е. напряжение, передаваемое с выхода, на вход за счет обратной связи, составляет тысячные или десятитысячные доли выходного напряжения;
коэффициент усиления тока есть известный нам параметр

и составляет десятки —сотни; выходная проводимость

и равна десятым или сотым долям миллисименса, а выходное сопротивление
получается от единиц до десятков килоом.
Для схемы ОБ
формулы /г-параметров напишутся так: входное сопротивление

и составляет единицы или десятки ом; коэффициент обратной связи

и имеет тот же порядок (10-4—10-3), что и для схемы ОЭ;
коэффициент усиления тока является известным уже нам параметром а

и обычно равен 0,950-0,998; токи ц и iK имеют разные знаки, поскольку один из них «втекает» в транзистор, а другой «вытекает» из него, и тогда параметр
имеет знак «минус», т. е. 
выходная проводимость

и составляет единицы микросименсов и менее; выходное сопротивление
обычно сотни килоом, т. е. значительно выше, нежели в схеме ОЭ.
При любой схеме включения h-параметры связаны с собственными параметрами транзистора. Например, для схемы ОБ

Из этих формул можно определить собственные параметры, если известны h-параметры.
Все формулы связи между параметрами получаются из рассмотрения соответствующей эквивалентной схемы. Например, для схемы на рис. 5.9 можно написать

Аналогично можно получить формулы для схемы ОЭ (рис. 5.10).
В табл. 5.1 для схем ОЭ и ОБ указаны значения h-параметров, причем' вместо h22 дано выходное сопротивление 1/h22.
Находятся h-параметры по характеристикам для заданной точки в соответствии с формулами, приведенными выше. В качестве примера найдем /г-параметры транзистора для схемы ОЭ.
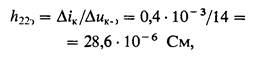
Из выходных характеристик (рис. 5.12, а) можно найти для заданной точки Т параметры h21э и h22э По приращениям
между точками А и Б при постоянном напряжении uк.., получим

Таблица 5.1. Значения /г-параметров

Отношение приращений.
между точками В и Г при постоянном токе ц дает возможность определить

что соответствует выходному сопротивлению

На входной характеристике (рис. 5.12, б) указана точка Г для того же режима, что и на выходных характеристиках. По приращениям
между точками А и Б при постоянном напряжении uк.э находим

Для определения
необходимо иметь не менее двух входных характеристик, снятых при разных ик.э. Но в справочниках обычно приводится только одна характеристика, из которой h12э найти нельзя (входную характеристику при ик.э = 0 для определения параметров не следует использовать). Поскольку параметр hl2l не применяется для простейших практических расчетов, мы не будем заниматься его определением из характеристики.
Кроме системы h-параметров пользуются также системой параметров в виде проводимостей, или h-параметрами. Для низких частот они являются чисто активными, и поэтому их иногда обозначают буквой g с соответствующими индексами. Эти параметры определяют при коротком замыкании для переменного тока на входе или на выходе
Дата добавления: 2015-05-19; просмотров: 2211;
