Приведение квадратной матрицы к диагональному виду
Наиболее простой вид принимает матрица
линейного оператора
, имеющего
линейно независимых собственных векторов
с собственными значениями, соответственно равными
. Векторы
примем за базисные. Тогда
откуда
если
и
если
Таким образом, матрица оператора
в базисе, состоящем из его собственных векторов, является диагональной и имеет вид:
. (10)
Пример 56.В некотором базиселинейный оператор задан матрицей
. В действительном линейном пространстве найти базис, в котором матрица этого оператора имеет диагональный вид.
Решение
Матрица имеет диагональный вид в базисе из собственных векторов, поэтому найдем собственные векторы.
Характеристическое уравнение:
его корни 
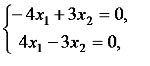
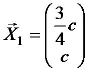
Если
то 
пусть
тогда
, собственный вектор
.
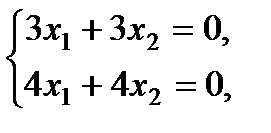
Если
то 
Пусть
тогда
, собственный вектор
.
Таким образом, матрица
в базисе
имеет вид:
.
Матрица
приводится к диагональному виду, если можно подобрать невырожденную матрицу
, что
- диагональная матрица. Матрица
порядка
приводится к диагональному виду тогда и только тогда, когда в пространстве
имеется базис, состоящий из собственных векторов матрицы
. Столбцами матрицы
являются координаты векторов этого базиса.
Правило построения матрицы
, приводящей матрицу
порядка
к диагональному виду:
1. Найти все собственные значения матрицы
.
2. Для каждого собственного числа
найти фундаментальную систему решений однородной системы линейных уравнений
3. Построить матрицу
, столбцами которой являются координаты решений найденных фундаментальных систем.
4. Если полученная матрица
является квадратной, то она приводит матрицу
к диагональному виду. Если же матрица
не будет квадратной, то матрица
не может быть приведена к диагональному виду.
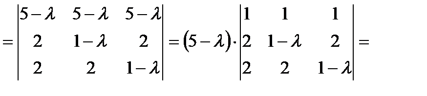
Пример 57.Найти матрицу
, которая приводит матрицу
к диагональному виду. Найти матрицу
.
Решение
Вычислим определитель матрицы
:
.
Собственные числа матрицы
равны
и
.
Построим фундаментальные системы решений систем уравнений

ФСР первой системы состоит из одного решения
, а второй – из одного решения
.
Следовательно, матрица
имеет вид
.
Полученная матрица не является квадратной, поэтому матрица
не приводится к диагональному виду.
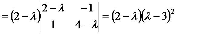
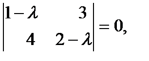
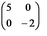
Пример 58. Привести к диагональному виду с помощью ортогональной матрицы симметрическую матрицу
.
Решение
Характеристическое уравнение матрицы
имеет вид
.
Матрица
имеет два собственных числа: 
ФСР системы уравнений
состоит из двух векторов:
,
, а системы уравнений
- из одного вектора
.
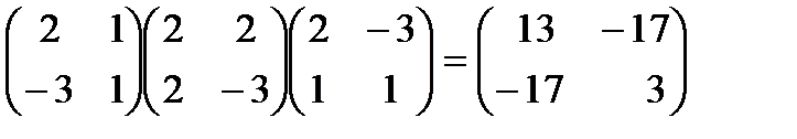
Матрица
, приводящая матрицу
к диагональному виду, имеет вид
.
После ортогонализации и нормирования столбцов этой матрицы получим ортогональную матрицу
.
Матрица, обратная к
, совпадает с
,
т.е.
.
Нетрудно проверить, что
.
Квадратичные формы
Переход от системы
неизвестных
к системе
неизвестных
по формуле
где
- квадратная матрица порядка
, называется линейным преобразованием неизвестных. Если С - невырожденная матрица, то линейное преобразование неизвестных также называется невырожденным.
Определение. Квадратичной формой
от
неизвестных
называется сумма, каждое слагаемое которой является или квадратом одного из неизвестных, или произведением двух разных неизвестных.
Квадратичную форму можно записать в виде
, (11)
где
- симметрическая матрица порядка
, которая называется матрицей квадратичной формы
.
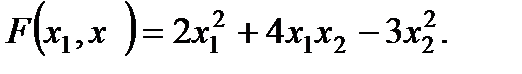
Пример 59.Написать матрицу квадратичной формы

Решение
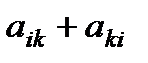
Обозначим коэффициенты при произведении
через
причем
. Член
запишем в виде
. Тогда квадратичную форму можно записать в виде
.
Теперь матрица А квадратичной формы
имеет вид:
.
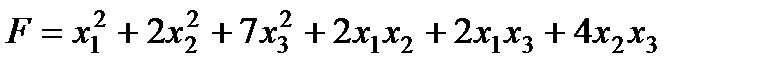
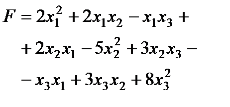
Пример 60. Дана квадратичная форма
.
Записать ее в матричном виде.
Решение
Найдем матрицу квадратичной формы. Ее диагональные элементы равны коэффициентам при квадратах переменных, а другие элементы – половинам соответствующих коэффициентов квадратичной формы. Получили: 
Две квадратичные формы называются эквивалентными, если одна из них переводится в другую посредством невырожденного линейного преобразования.
Если в квадратичной форме
неизвестные подвергнуть линейному преобразованию
то получится квадратичная форма
с матрицей
. (12)
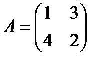
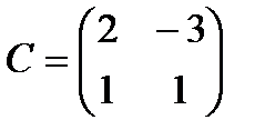
Пример 61. Дана квадратичная форма
Найти квадратичную форму
, полученную из данной линейным преобразованием
.
Решение
Матрица данной квадратичной формы
, а матрица линейного преобразования
.
Следовательно, по (12) матрица искомой квадратичной формы
=
.
Определение. Каноническим видом данной квадратичной формы называется эквивалентная ей форма, не содержащая произведений неизвестных.
Каждую квадратичную форму можно привести к каноническому виду с помощью линейного преобразования неизвестных
с ортогональной матрицей
.
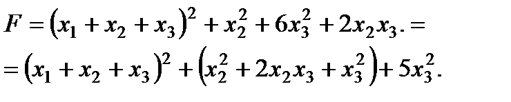
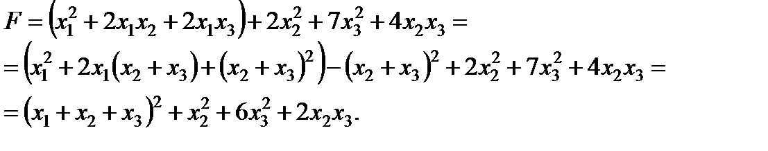
Пример 62. Привести к каноническому виду квадратичную форму
.
Решение
Сгруппируем все члены, содержащие неизвестное
, и дополним их до полного квадрата:
В дальнейшем полный квадрат, содержащий неизвестное
, не изменится. Теперь среди оставшихся членов сгруппируем все, содержащие
, и дополним их до полного квадрата:

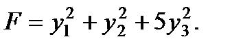
Теперь перейдем от неизвестных
к неизвестным
по формулам:

В результате этого перехода получили канонический вид данной квадратичной формы: 
Если
для всех
, то квадратичная форма
называется положительно (отрицательно) определенной. Квадратичная форма положительно (отрицательно) определена, если в каком-нибудь ее каноническом виде нет отрицательных (положительных) коэффициентов при квадратах неизвестных.
Следующие утверждения равносильны:
1) Квадратичная форма
положительно определена.
2) Собственные значения матрицы А положительны.
3) Угловые миноры матрицы А положительны.
А также равносильны следующие утверждения:
1) Квадратичная форма
отрицательно определена.
2) Собственные значения матрицы А отрицательны.
3) Все угловые миноры матрицы А нечетного порядка отрицательны, а все угловые миноры четного порядка положительны.
Дата добавления: 2016-05-11; просмотров: 46589;
