Условия максимальной холодопроизводительности СКВ.
Таким расчетным условиям соответствует наиболее нагруженный в тепловом отношении режим полета в летнее время, которым может являться: для сверхзвуковых самолетов - полет с максимальной скоростью на практическом потолке или полет у Земли с околозвуковой скоростью; для дозвуковых самолетов - стоянка в ясную безветренную погоду.
Выбор наиболее тепло нагруженного режима полета из перечисленных выше производится для конкретного типа летательного аппарата расчетным путем или на основании литературных данных. Максимальным теплопоступлениям в кабину соответствуют следующие условия:
- температура окружающей среды принята равной максимальному предельному отклонению от МСА («горячая атмосфера», Прил. 6);
- учитываются потоки излучения от Земли и Солнца при ясной погоде;
- интенсивность солнечного излучения постоянна в течение полета;
- при определении теплопритоков от прямого солнечного излучения за расчетную принята максимальная поверхность кабины одновременно облучаемая Солнцем, при этом для пассажирских и транспортных самолетов можно считать, что боковая поверхность пассажирской (грузовой) кабины ориентирована перпендикулярно к направлению солнечных лучей, а одновременно облучаемая часть остекления составляет половину всей площади остекления;
- тепловыделения оборудования, размещенного в кабине (и в отсеках, если оборудование в них охлаждается воздухом, подаваемым из системы кондиционирования), приняты максимальными, при этом на пассажирских самолетах не учитываются тепловыделения от источников электрического освещения и теплового оборудования буфета-кухни;
- принята полная загрузка самолета пассажирами.
Условия максимальной теплопроизводительности СКВ.Выбираемые расчетные условия должны соответствовать максимальным теплопотерям через ограждение кабины, которые возможны при следующих режимах полета в зимнее время: для сверхзвуковых самолетов - полет с дозвуковой скоростью, планирование или стоянка; для дозвуковых самолетов - полет на практическом потолке; стоянка в ветреную погоду.
Выбор для конкретного летательного аппарата одного из перечисленных режимов полета, соответствующего максимальным теплопотерям кабины, производится расчетным методом. Максимальным теплопотерям кабины соответствуют также следующие условия:
- температура окружающей среды принята равной минимальному предельному отклонению от МСА («холодная атмосфера», прил. 6);
- тепловые потоки от Земли, Солнца и оборудования, размещенного в кабине, не учитываются и составляют запас по теплопроизводительности системы кондиционирования воздуха;
- принята минимальная загрузка самолета пассажирами.
По результатам расчета теплового баланса определяются требуемые количества теплоты и холода, а также параметры воздуха, подаваемого в кабину, для поддерживания в ней заданного теплового режима.
Рассмотрим методы расчета мощностей различных источников теплоты и холода.
3.2.2. КОНВЕКТИВНЫЙ ТЕПЛОВОЙ ПОТОК
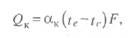
Конвективный тепловой поток, передаваемый между внешней поверхностью гермокабины и обтекающим ее пограничным слоем воздуха, в общем случае определяется по формуле
(3.2)
где aк - коэффициент теплоотдачи; tе- температура восстановления; tс, F -температура и площадь внешней поверхности кабины.
Коэффициент теплоотдачи учитывает конкретные условия конвективного теплообмена, влияющие на его интенсивность, и зависит от параметров потока газа, его физических свойств, формы поверхности теплообмена, режима ее обтекания и сжимаемости потока газа.
Сжимаемость газа проявляется в изменении его объема под действием сил внешнего давления и характеризуется числом Маха М. Так как плотность газа зависит не только от давления, но и от температуры, то свойство сжимаемости наблюдается и в случае большой разности температур в пограничном слое. Если в результате теплообмена температура Т в какой-либо точке пограничного слоя превышает температуру набегающего потока воздуха Тн на 10 % (77ГИ > 1,1), то сжимаемость газа необходимо учитывать. Температура в пограничном слое может изменяться и при отсутствии теплообмена в результате торможения потока за счет сил трения. В этом случае сжимаемость потока газа при течении вдоль плоской теплоизолированной пластины учитывается при М > 0,7.
Обобщенная формула Ньютона (3.2) для случая движения газа с большой скоростью позволяет при расчете конвективного теплового потока непосредственно учесть одну особенность этого процесса - нагрев газа в пограничном слое. Остальные особенности учитываются при определении коэффициента теплоотдачи.
ПАРАМЕТРЫ ПОТОКА ВОЗДУХА
При полете летательного аппарата с большими скоростями происходит его аэродинамический нагрев в результате превращения в теплоту механической энергии, затрачиваемой на преодоление сил трения между слоями воздуха вблизи поверхности тела, а также вследствие сжатия воздуха на передней кромке летательного аппарата.
В пограничном слое при большой скорости полета происходят одновременно два процесса: выделение и отвод теплоты теплопроводностью, конвекцией и излучением. При полном превращении кинетической энергии потока в теплоту температура торможения адиабатически заторможенного газового потока выражается формулой
Дата добавления: 2016-05-05; просмотров: 608;
