Основные и оборотные средства предприятия: их характеристика, показатели эффективности использования основных фондов и оборотных средств.
Основные фонды
Основные фонды являются наиболее значимой составной частью имущества предприятия и его внеоборотных активов.
Основные фонды (в стоимостной оценке основные средства, основной капитал) - это материально-вещественные ценности, используемые в качестве средств труда, которые действуют в неизменной натуральной форме в течение длительного периода времени и утрачивают свою стоимость по частям.
Основные средства - это основные фонды, выраженные в стоимостном измерении.
Основные средства - это средства труда, которые неоднократно участвуют в производственном процессе, сохраняя при этом свою натуральную форму, а их стоимость переносится на производимую продукцию частями по мере снашивания.
Основные производственные фонды (ОПФ) функционируют в сфере материального производства, неоднократно участвуют в производственном процессе, изнашиваются постепенно, а их стоимость переносится на изготовляемый продукт по частям по мере использования. Пополняются они за счет капитальных вложений.
Непроизводственные основные фонды - жилые дома, детские и спортивные учреждения, другие объекты культурно-бытового назначения, которые находятся на балансе предприятия. В отличие от ОПФ они не участвуют в процессе производства, их стоимость исчезает в потреблении. Воспроизводятся они за счет национального дохода.
Роль основных фондов в процессе труда определяется тем, что в своей совокупности они образуют производственно-техническую базу и определяют возможности предприятия по выпуску продукции, уровень технической вооруженности труда. Накопление основных фондов и повышение технической вооруженности труда обогащают процесс труда, придают ему творческий характер, повышают культурно-технический уровень общества.
По действующей классификации ОПФ состоят из следующих групп:
1) земельные участки и объекты природопользования, принадлежащие предприятию на правах собственности;
2) здания;
3) сооружения;
4) передаточные устройства;
5) машины и оборудование;6) измерительные и регулирующие приборы, устройства и лабораторное оборудование;
7) вычислительная техника;
8) транспортные средства;
9) инструменты и приспособления со сроком службы более 12 месяцев;
10) производственный и хозяйственный инвентарь;
11) внутрихозяйственные дороги;
12) капитальные вложения на улучшение земель и в арендованные здания, помещения, оборудование и другие объекты, относящиеся к основным фондам.
Классификация основных средств представлена на рисунке 1.2.

Рисунок 1.2 - Классификация основных средств
Физический износ основных средств. Основные средства, участвующие в процессе производства, постепенно утрачивают свои первоначальные характеристики вследствие их эксплуатации и естественного снашивания. Под физическим износом понимается потеря средствами труда своих первоначальных качеств.
Уровень физического износа основных средств зависит от: первоначального качества основных фондов; степени их эксплуатации; уровня агрессивности среды, в которой функционируют основные фонды; уровня квалификации обслуживающего персонала; своевременности проведения планово-предупредительного ремонта и др. Учет этих факторов в работе предприятий может в значительной мере повлиять на физическое состояние основных фондов.
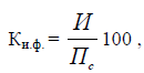
Для характеристики степени физического износа основных фондов используется ряд показателей.
Коэффициент физического износа основных фондов (Ки.ф):

где И - сумма износа основных фондов (начисленная амортизация) за весь период их эксплуатации;
Пс - первоначальная (балансовая) или восстановительная стоимость основных фондов. Коэффициент физического износа основных фондов может быть определен по отдельным инвентарным объектам и на основе данных о фактическом сроке их службы.
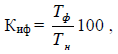
Для объектов, фактический срок службы которых ниже нормативного, расчет ведется по формуле:

где Тф и Тн - фактический и нормативный сроки службы данного инвентарного объекта.
Для объектов, у которых фактических срок службы равен нормативному или превысил его, коэффициент физического износа рассчитывается по следующей формуле:

где Тв - возможный остаточный срок службы данного инвентарного объекта сверх фактически достигнутого в данный момент срока службы. Чаще всего он определяется экспертным путем.
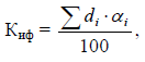
Коэффициент физического износа зданий и сооружений может быть рассчитан по формуле:

где di - удельный вес i-го конструктивного элемента в стоимости здания, %;
ai - процент износа i-го конструктивного элемента здания.
Коэффициент годности основных фондов укрупнено характеризует их физическое состояние на определенную дату и исчисляется по формуле:

Коэффициент годности основных фондов может быть определен и на основе коэффициента физического износа:
Кгф = 100 - Киф.
Все эти формулы предполагают равномерное физическое изнашивание основных фондов, что не всегда совпадает с реальной действительностью.
Моральный износ основных фондов. Наряду с физическим износом основные фонды претерпевают моральный износ (обесценивание). Сущность морального износа состоит в том, что средства труда обесцениваются, утрачивают стоимость до их физического износа, до окончания срока своей физической службы.
Моральный износ проявляется в двух формах.
Первая форма морального износа заключается в том, что происходит обесценивание машин такой же конструкции, что выпускались и раньше, вследствие удешевления их воспроизводства в современных условиях.
Вторая форма морального износа состоит в том, что происходит обесценивание старых машин, физически еще годных, вследствие появления новых, более технически совершенных и производительных, которые вытесняют старые.
На каждом предприятии процесс физического и морального износа основных фондов должен управляться. Основная цель этого управления - недопущение чрезмерного физического и морального износа основных фондов, особенно их активной части, так как это может привести к негативным экономическим последствиям для предприятия. Управление этим процессом происходит через проведение определенной политики воспроизводства основных фондов.
Амортизация основных фондов. Амортизация - это процесс перенесения стоимости изношенной части основных фондов на создаваемую продукцию, выполняемую работу, оказываемые услуги. В соответствии с нормативами часть стоимости основных фондов включается в издержки производства или себестоимость продукции.
В основе амортизационной системы лежит ее воспроизводственная функция. Она является источником денежных средств целевого назначения. Сохранность этой функции должна обеспечиваться как ее объемами, определяемыми с учетом инфляции, так и целевым использованием. Первое условие может выполняться при своевременном изменении норм амортизации и текущей индексации стоимости основных фондов, второе - при хранении и использовании амортизационных средств на счетах в банках.
Объектами для начисления амортизации являются основные фонды предприятий, действующих как в сфере материального производства, так и в непроизводственной сфере.
Сумма амортизации - это величина износа основных фондов, выраженная в денежной форме, за определенный период. Она определяется исходя из балансовой стоимости по каждому виду основных фондов с учетом ввода в эксплуатацию новых и выбытия изношенных, а также установленных норм амортизации в процентах. Сумма амортизации рассчитывается по формуле:
А = Ф*n / 100,
где Ф - балансовая стоимость основных фондов;
n - норма амортизации.
Норма амортизации - это установленный в процентах размер амортизационных отчислений по каждому виду основных фондов за определенный период. При этом за балансовую стоимость принимается стоимость основных производственных фондов по данным последней переоценки или их первоначальная стоимость:
n = А / Т*Ф ,
где Т - нормативный срок службы;
А - полная сумма амортизации, начисленная за нормативный срок службы, руб.;
Ф - первоначальная стоимость основных производственных фондов, руб.
Новым аспектом в политике амортизационных отчислений является введение для организаций и хозяйств права ускоренной амортизации. При введении ускоренной амортизации норма годовых амортизационных отчислений увеличивается не более чем в 2 раза и должна быть согласована в установленном порядке. Действие права на ускоренную амортизацию относится только к машинам, оборудованию и транспортным средствам, введенным в действие после 01.01.1991 г. с нормативным сроком службы более трех лет. Ускоренная амортизация не распространяется на транспортные средства, нормативный срок службы которых установлен в зависимости от фактической загрузки (например, для автомобилей - от фактического пробега). Имеются и другие ограничения. При нарушении установленного порядка применения ускоренной амортизации дополнительно начисленные суммы исключаются из издержек производства и обращения. Такой подход связан с тем, что ускоренная амортизация, с одной стороны, приводит к росту себестоимости продукции (работ), а с другой - занижает прибыль организаций, что ведет к уменьшению величины взимаемых налогов, соответственно и доходной части бюджета, а это в условиях бюджетного дефицита является нежелательным.
Оценка основных фондов
В экономике основные фонды предприятия принято учитывать в стоимостных единицах измерения. Напомним, основные фонды в их денежном выражении называются основными средствами.
Оценка основных фондов предприятия может вестись: по первоначальной (балансовой) стоимости, восстановительной и остаточной стоимости.
Первоначальная стоимость основных фондов - стоимость, слагающаяся из затрат по их возведению (сооружению) или приобретению, включая расходы по их доставке и установке, а также иные расходы, необходимые для доведения данного объекта до состояния готовности к эксплуатации по назначению.
При длительном использовании ОФ, особенно в условиях высоких темпов инфляции, первоначальная стоимость ОФ перестает соответствовать ее реальной оценке. Поэтому для устранения искажающего влияния ценового фактора применяют оценку ОФ по их восстановительной стоимости, т. е. по стоимости их производства или приобретения в условиях и по ценам данного года.
Восстановительная стоимость основных фондов - это стоимость их воспроизводства в современных условиях. Величина отклонения восстановительной стоимости основных фондов от их первоначальной стоимости зависит от темпов ускорения НТП, уровня инфляции и др. Своевременная и объективная переоценка основных фондов имеет очень важное значение, прежде всего для их простого и расширенного воспроизводства.
В условиях инфляции переоценка основных фондов на предприятии позволяет:
- объективно оценить истинную стоимость основных фондов;
- более правильно и точно определить затраты на производство и реализацию продукции;
- более точно определить величину амортизационных отчислений, достаточную для простого воспроизводства основных фондов;
- объективно устанавливать продажные цены на реализуемые основные фонды и арендную плату (в случае сдачи их в аренду).
Остаточная стоимость представляет собой разницу между первоначальной или восстановительной стоимостью и суммой износа, т. е. это та часть стоимости основных средств, которая еще не перенесена на производимую продукцию.
Оценка основных средств по их остаточной стоимости необходима прежде всего для того, чтобы знать их качественное состояние, в частности определить коэффициенты годности и физического износа и составления бухгалтерского баланса.
Стоимостная оценка основных фондов необходима для их учета, анализа и планирования, а также для определения объема, структуры капитальных вложений.
Для расчета экономической эффективности использования ОФ обычно используют оценку фондов по их среднегодовой стоимости.
Техническое состояние основных средств (ОС) оказывает большое влияние на эффективность их использования, оно характеризуется системой показателей, важнейшие из которых следующие.
Коэффициент технической годности (Кг) характеризует степень годности ОС к эксплуатации: Кг = Остаточная стоимость ОС/Первоначальная стоимость ОС на отчетную дату.
Коэффициент износа основных средств (Кизн) показывает степень изношенности основных средств: Кизн = Сумма износа основных средств/Первоначальную стоимость ОС на отчетную дату.
Коэффициент выбытия ОС (Кв): Кв = Сумма выбывших ОС / Стоимость ОС на начало отчетного периода.
Коэффициент обновления ОС (Кобн) показывает долю вновь поступивших ОС в общей их стоимости на конец отчетного периода: Кобн = Сумма поступивших ОС / Стоимость ОС на конец отчетного периода.
Срок обновления основных средств (Тобн): Тобн = Стоимость ОС на начало отчетного периода/ Сумма поступивших ОС за период.
Коэффициент компенсации ОС (Ккомп) отражает интенсивность процесса замещения выбывших из производственного процесса ОС новыми средствами труда. Ккомп = Стоимость выбывших ОС / Стоимость поступивших ОС.
Кроме этого рассчитывают обобщающие показатели обеспеченности предприятия основными производственными средствами, к которым относятся фондоотдача, фондоемкость, фондовооруженность.
Фондоотдача показывает размер продукции, приходящейся на 1 рубль среднегодовой стоимости ОС.
Фо = ОП/ОФ,
где ОП - объем продукции,
ОФ - среднегодовая стоимость ОС.
Машиноотдача (Мо) характеризует эффективность использования активно действующей части ОС.
Мо = ОП / ОФакт,
где ОФакт - среднегодовая стоимость машин и оборудования.
Фондоемкость (Фемк) - показатель обратный фондоотдаче. Она показывает размер ОС, приходящийся на 1 рубль продукции, выпущенной либо реализованной:
Фемк = ОФ/ОП.
Фондовооруженность (ФВ) характеризует размер производственных средств, приходящихся на одного работника промышленного персонала: ФВ = Среднегодовая стоимость производственного оборудования / Среднесписочная численность рабочих в наибольшую смену.
Успешное функционирование основных фондов зависит от того, насколько полно реализуются экстенсивные и интенсивные факторы улучшения их использования. Экстенсивное улучшение использования фондов предполагает, что, с одной стороны, будет увеличено время работы действующего оборудования в календарный период, а с другой - повышен удельный вес действующего оборудования в составе всего оборудования, имеющегося на предприятии.
К важнейшим направлениям увеличения времени работы оборудования относятся:
1) сокращение и ликвидация внутрисменных простоев оборудования путем повышения качества ремонтного обслуживания оборудования, своевременного обеспечения основного производства рабочей силой, сырьем, топливом, полуфабрикатами;
2) сокращение целодневных простоев оборудования, повышение коэффициента сменности его работы. Важным путем повышения эффективности использования основных фондов служит уменьшение количества излишнего оборудования и быстрое вовлечение в производство неустановленного оборудования.
Интенсивное улучшение использования основных фондов предполагает повышение степени загрузки оборудования в единицу времени. Повышение интенсивной загрузки оборудования может быть достигнуто при модернизации действующих машин и механизмов, установлении оптимального режима их работы. Интенсивность использования основных фондов повышается также путем технического совершенствования орудий труда и совершенствования технологии производства; ликвидации «узких мест» в производственном процессе; сокращения сроков достижения проектной производительности техники; совершенствования научной организации труда, производства и управления; использования скоростных методов; повышения квалификации и профессионального мастерства рабочих.
Оборотные средства предприятия
Имуществом предприятия являются также оборотные средства - активы, которые представляют собой совокупность оборотных фондов и фондов обращения в стоимостной форме. Это денежные средства, необходимые предприятию для создания производственных запасов на складах и в производстве, для расчетов с поставщиками, бюджетом, для выплаты заработной платы и т. п.
Под составом оборотных средств понимают совокупность элементов, образующих оборотные средства. Деление оборотных средств на оборотные производственные фонды и фонды обращения определяется особенностями их использования и распределения в сферах производства продукции и ее реализации.
К оборотным производственным фондам предприятия относится часть средств производства (производственных фондов), вещественные элементы которых в процессе труда расходуются в каждом производственном цикле, и их стоимость переносится на продукт труда целиком и сразу.
Оборотные производственные фонды предприятия состоят из 3 частей: производственных запасов; незавершенного производства и полуфабрикатов собственного изготовления; расходов будущих периодов.
Классификация оборотных средств представлена на рисунке 1.3.
Производственные запасы - предметы труда, подготовленные для запуска в производственный процесс; состоят они из сырья, основных и вспомогательных материалов, топлива, горючего, покупных полуфабрикатов и комплектующих изделий, тары и тарных материалов, запасных частей для ремонта основных фондов.
Незавершенное производство и полуфабрикаты собственного изготовления - предметы труда, вступившие в производственный процесс: материалы, детали, изделия, находящиеся в процессе обработки или сборки, а также полуфабрикаты собственного изготовления, не законченные полностью производством в одних цехах предприятия и подлежащие дальнейшей обработке в других цехах.
Расходы будущих периодов - невещественные элементы оборотных фондов, включающие затраты на подготовку и освоение новой продукции, которые производятся в данном периоде (квартал, год), но относятся на продукцию будущего периода.

Рисунок 1.3 - Классификация оборотных средств
Оборотные производственные фонды в своем движении также связаны с фондами обращения, обслуживающими сферу обращения. Фонды обращения включают готовую продукцию на складах, товары в пути, денежные средства и средства в расчетах с потребителями продукции, в частности дебиторскую задолженность.
Соотношение между отдельными элементами оборотных средств, выраженное в процентах, называется структурой оборотных средств.
По источникам формирования оборотные средства делятся на собственные и заемные (кредиты банка, кредиторская задолженность (коммерческий кредит) и прочие пассивы).
Примерная структура оборотных средств предприятия показана на рисунке 1.4.

Рисунок 1.4 - Структура оборотных средств
Различают показатели расхода материальных ресурсов и показатели уровня полезного использования материальных ресурсов.
Общий расход материальных ресурсов - это потребление отдельных видов или вместе взятых материальных ресурсов на выполнение всей производственной программы.
Материалоемкость (Ме) - отношение стоимости материальных затрат (Мз) к объему произведенной продукции в стоимостном выражении (ОП).
Ме = Мз/ОП.
Материалоотдача (Мо) - показатель обратный материалоемкости. Материалоотдача - отношение объема выпущенной продукции в стоимостном выражении к материальным затратам.
Мо = ОП/Мз.
Эффективное использование оборотных средств характеризуют три основных показателя. Коэффициент оборачиваемости определяется делением объема реализации продукции в оптовых ценах на средний остаток оборотных средств на предприятии:
Ко = Рп/СО,
где Ко - коэффициент оборачиваемости оборотных средств, обороты;
Рп - объем реализованной продукции, руб.;
СО - средний остаток оборотных средств, руб.
Коэффициент оборачиваемости характеризует число кругооборотов, совершаемых оборотными средствами за определенный период (год, квартал). Увеличение числа оборотов ведет либо к росту выпуска продукции на 1 рубль оборотных средств, либо к тому, что на этот же объем продукции требуется затратить меньшую сумму оборотных средств.
Коэффициент загрузки оборотных средств (Кз), обратный коэффициенту оборачиваемости, характеризует сумму оборотных средств, затраченных на 1 рубль реализованной продукции.
Кз = СО/Рп.
Длительность одного оборота (Т) в днях находится делением числа дней в периоде на коэффициент оборачиваемости.
Т = Д/Ко.
Чем меньше продолжительность оборота оборотных средств или больше число совершаемых ими кругооборотов при том же объеме реализованной продукции, тем меньше требуется оборотных средств, тем эффективнее они используются.
Эффект ускорения оборачиваемости оборотных средств выражается в высвобождении (уменьшении потребности в них) в связи с улучшением их использования. Различают абсолютное и относительное высвобождение оборотных средств.
Абсолютное высвобождение отражает прямое уменьшение потребности в оборотных средствах.
Относительное высвобождение отражает изменение как оборотных средств, так и объема реализованной продукции. Чтобы его определить, нужно исчислить потребность в оборотных средствах за отчетный год исходя из фактического оборота по реализации продукции за этот период и оборачиваемости в днях за предыдущий год. Разность дает сумму высвобождения средств.
В современных условиях первоочередная задача предприятия заключается в ускорении оборачиваемости оборотных средств. Это достигается следующими путями:
- на стадии создания производственных запасов - внедрение экономически обоснованных норм запасов; приближение поставщиков сырья, полуфабрикатов, комплектующих изделий к потребителям; широкое использование прямых длительных связей; комплексная механизация и автоматизация погрузочно-разгрузочных работ на складах;
- на стадии НЗП - ускорение НТП (внедрение прогрессивной техники и технологии, особенно безотходной и малоотходной); развитие стандартизации, унификации, типизации; совершенствование форм организации промышленного производства; совершенствование системы экономического стимулирования экономного использования ресурсов; увеличение удельного веса продукции, пользующейся повышенным спросом;
- на стадии обращения - приближение потребителей продукции к ее изготовителям; совершенствование системы расчетов; увеличение объема реализованной продукции вследствие улучшения маркетинговой работы по прямым связям, досрочного выпуска продукции; тщательная и своевременная подборка отгружаемой продукции по партиям, ассортименту.
Дата добавления: 2016-05-05; просмотров: 1348;
