Показатели транспортного процесса
Транспортный процесс состоит из трех основных элементов: погрузки, движения и разгрузки.
Погрузка включает в себя подачу транспортных средств к нужному месту, организацию фронта работ, накопление, формирование и сортировку груза, оформление документов, сопровождающих перевозку.
Движение является основной функцией транспорта. Усложнившееся движение транспортного потока требует большего внимания и от составителей маршрутов, и от исполнителей (водителей, машинистов, капитанов) для сокращения времени в пути и гарантированной безопасности перевозки грузов или пассажиров.
Разгрузка — это подача транспортного средства в зону работ, расформирование и сортировка груза, оформление документов на прибывший груз.
При осуществлении перевозок элементы транспортного процесса для каждой единицы подвижного состава (автомобиля, автопоезда) постоянно повторяются. Это обстоятельство определяет цикличный характер транспортного процесса. Циклом транспортного процесса является ездка, представляющая собой комплекс трех элементов транспортного процесса от одной погрузки груза на каждую единицу подвижного состава до следующей погрузки. Таким образом, за цикл каждый автомобиль простаивает под одной погрузкой, одной разгрузкой, совершает пробег с грузом и пробег без груза к месту следующей погрузки, т.е. ездка представляет собой производственный процесс, состоящий из погрузки груза, перемещения, разгрузки и подачи автомобиля в следующий пункт погрузки.
Продолжительность цикла (время ездки) складывается из времени, затрачиваемого на выполнение всех трех элементов транспортного процесса.
При выполнении транспортного процесса ездки осуществляются на разные расстояния и с разными скоростями, с различным количеством и характером груза, к различным клиентам, вследствие чего время, затрачиваемое на выполнение ездок, будет разным и разным будет объем работы, выполняемый за каждую ездку. Поэтому при планировании и организации транспортного процесса пользуются средними значениями продолжительности ездки и времени выполнения отдельных элементов.
Все процессы производства, в том числе и транспортный, планируются, измеряются и оцениваются по специально разработанным системам показателей и измерителей. Характер работы автотранспортных предприятий, специфические особенности транспортного процесса, условия, в которых выполняется перевозочная работа, потребовали создания своеобразной системы показателей, которые отражают как отдельные элементы, так и весь-транспортный процесс в целом. Эти показатели устанавливают закономерную связь между отдельными элементами транспортного процесса и количественным изменением транспортной продукции.
Для характеристики деятельности транспортно-экспедиционного предприятия можно использовать систему показателей на основе следующих исходных данных:
1. Стоимостные показатели: транспортные издержки, амортизация, затраты на содержание транспортного средства, издержки обслуживания капитала, стоимость транспортных средств, общая сумма убытка.
2. Количественные показатели: число транспортных средств, число работников отдела, число перевозимых грузовых единиц, суммарная и единичная кубатура перевозимых грузовых единиц, суммарная и единичная масса перевозимых грузовых единиц, числе отправленных транспортных единиц (по типам грузовых машин, вагонов, судов, контейнеров), число отправленных грузовых единиц (в зависимости от необходимости поделенных на разные классы или типы грузовых единиц, напр. поддоны, корабельные контейнеры, коробки, специальные контейнеры, штуки), заявленная отправка в целом, отправленный тоннаж.
3. Качественные показатели: число аварий транспортных средств, число возвратов, число повреждённыхпродуктов во время транспортировки, число доставок с опозданиями, число неявок работников.
4. Пространственные показатели: общий пробег транспортных средств, средний пробег транспортных средств, пробег, осуществленный отдельными водителями.
5. Временные показатели: время работы транспортных средств, время работы водителей, время работы остальных работников, время доставки, длительность периода эксплуатации отдельных транспортных средств, эффективное время осуществления технического обслуживания, время простоя, эффективное число часов работы транспортных средств.
Время работы подвижного состава на линии, или время в наряде, складывается из времени движения и времени простоя подвижного состава в пунктах погрузки и разгрузки. Время движения зависит в первую очередь от скорости движения и пройденного подвижным составом пути. Простой подвижного состава под погрузкой и разгрузкой является неотъемлемой составной частью транспортного процесса и характеризуется временем на погрузку и разгрузку, приходящимся на одну ездку автомобиля. Время простоя подвижного состава в пунктах погрузки складывается из времени на выполнение погрузочно-разгрузочных операций и времени, связанного с приемом, сдачей и оформлением товарно-транспортных документов.
Каждая единица подвижного состава характеризуется определенной номинальной грузоподъемностью в тоннах, определяющей то предельное количество груза, которое может быть погружено в кузов подвижного состава. Однако грузоподъемность не всегда используется полностью вследствие перевозки небольшого количества груза или груза с малым объемным весом. Поэтому для оценки степени использования грузоподъемности подвижного состава применяются коэффициенты статического и динамического использования грузоподъемности, отличающиеся по методам определения и величине.
Работа подвижного состава во многом зависит от величины технической и эксплуатационной скорости движения. Техническая скорость движения отражает скоростные свойства автомобиля, тягача в определенных условиях эксплуатации, а эксплуатационная скорость зависит не только от технической скорости, но и от продолжительности простоя подвижного состава под погрузкой и разгрузкой и различных задержек в пути.
Поскольку не весь пробег подвижного состава используется производительно и часть его совершается без груза, то необходим показатель, оценивающий степень использования пробега.
Для оценки транспортного процесса применяются такие понятия, как ездка, длина ездки, пробег с грузом за ездку и расстояние перевозки 1 т груза.
Ездка, как уже отмечалось выше, представляет собой законченный цикл транспортного процесса. За время работы на линии подвижным составом выполняется определенное количество ездок. Каждая ездка характеризуется соответствующей длиной и величиной пробега подвижного состава с грузом. Средняя величина пробега с грузом за ездку не всегда совпадает по величине со средним расстоянием перевозки груза. Они имеют разную величину при различной длине ездки и грузоподъемности автомобилей, а также при одинаковой грузоподъемности автомобилей, но при разном коэффициенте использования их грузоподъемности.
Уровень технико-эксплуатационных показателей не является постоянным и зависит от многих факторов, к числу которых относятся: тип и грузоподъемность подвижного состава; род и характер перевозимых грузов; методы организации перевозок, технического обслуживания и ремонта подвижного состава; условия работы подвижного состава на линии (характер обслуживаемых предприятий и организаций, степень механизации погрузочно-разгрузочных работ и т.п.); развитие и состояние сети дорог; природно-климатические условия и административно-географическая зона, в которой выполняются перевозки; техническая оснащенность автотранспортных предприятий; условия организации и оплаты труда работников автотранспортных предприятий и др.
От уровня технико-эксплуатационных показателей зависит производительность подвижного состава – выработка в тоннах и тонно-километрах.
Для планирования, учета и анализа работы подвижного состава грузового автомобильного транспорта установлена система показателей, позволяющая оценивать степень использования подвижного состава и результаты его работы.
Некоторые основные показатели, характеризующие транспортный процесс приведены в таблице 5.5.
Таблица 5.5. Некоторые показатели транспортного процесса
| Показатель | Формула | Обозначения | |
| Использование грузоподъемности подвижного состава | |||
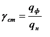
| Статический коэффициент использования грузоподъемности | |||
| за ездку |
| qф – количество фактически перевезенного за ездку груза, т; qн – номинальная грузоподъемность автомобиля, т; | |
| за смену |
| ne – количество выполненных за день ездок; Qсут – суточный объем перевозок, т. | |
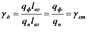
| Динамический коэффициент использования грузоподъемности | |||
| за ездку |
| lег –средняя длина ездки с грузом, км. | |
| за смену |
| Pтрф – фактическая транспортная работа, ткм; Pтрф – возможная транспортная работа, ткм. | |
| Использование пробега подвижного состава | |||
| Общий пробег подвижного состава | |||
| за ездку |
| lег –пробег с грузом за ездку, км.; lх –холостой пробег за ездку, км. | |
| за смену |
| Lег –пробег с грузом за смену, км.; Lх –холостой пробег за смену, км. | |
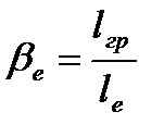
| Коэффициент использования пробега | |||
| за ездку |
| lег –пробег с грузом, км.; lе – общий пробег за одну ездку, км. | |
| за смену |
| Lег –груженый пробег за смену, км.; Lобщ – общий пробег за смену, км. | |
| Средняя длина ездки с грузом |
| ||
| Среднее расстояние перевозки |
| Q – объем перевозок, т. | |
| Продолжительность ездки |
| tег – время ездки с грузом; tбг – время ездки без груза; tдв – время движения (включая простои, связанные с регулированием движения); tп-р – время простоев в пунктах погрузки и разгрузки; Vt – техническая скорость. | |
| Средние скорости движения подвижного состава |
| Vэ – эксплуатационная скорость; Тн – время нахождения подвижного состава на линии. | |
| Число ездок за смену |
| ||
| Производительность подвижного состава | |||
| Производительность подвижного состава | |||
| за ездку | Uе = qнγс | ||
| за смену | Uсм = qнγсne | ||
| Транспортная работа | |||
| за ездку | Wе = qнγсlег | ||
за смену
| Wсм = qнγсnelег | ||
| Количество автомобилей, необходимых для освоения заданного объема перевозок |
| Qсут –суточный объем перевозки груза; Uдн – производительность подвижного состава за день. | |
Пример 5.4.
Коэффициент использования пробега автомобиля за рабочий день - 0,65, пробег автомобиля без груза - 60 км, рассчитать пробег с грузом и общий пробег автомобиля за день.
Решение
Пробег без груза – это непроизводительные пробеги. Он бывает холостой и нулевой. Следовательно, сумма холостого и нулевого пробегов за день будет равна 60 км, т.е. Lx + Lн = 60 км.
Для определения груженого пробега можно использовать формулу коэффициента использования пробега за день:
.
Подставляем в формулу заданные исходные данные и получаем уравнение с одним неизвестным:

Решая уравнение, получаем 0,65Lгр + 39 = Lгр.
Преобразуем: 0,35 Lгр = 39,
Lгр =111,4 км.
Общий пробег автомобиля
Lобщ = Lгр +Lx +Lн= 111,4 +60= 171,4 км.
Пример 5.5.
Автомобиль грузоподъемностью 10 т перевез за день 80 т груза. Коэффициент статического использования грузоподъемности – 0,8. Суточный пробег автомобиля – 200 км. Коэффициент использования пробега за день – 0,5. Определить среднюю длину ездки с грузом за день.
Решение
Из формулы определяется количество ездок автомобиля за день:

Из формулы определяем груженый пробег:
Lгр=Lобщ·β=200·0,5=100 км.
Определяем среднюю длину ездки с грузом:
Пример 5.6.
С консервного завода на торговую базу необходимо доставить за день 320 т разных консервов в ящиках (1-й класс груза, γст=1). Расстояние перевозки по простому маятниковому маршруту (βе = 0,5) составляет 12 км. Перевозки будут осуществляться на автомобилях грузоподъемностью 4 т. Продолжительность работы автомобилей на маршруте 8 ч, средняя эксплуатационная скорость – 24 км/ч. Сколько автомобилей потребуется для перевозки данного объема груза?
Решение
Так как автомобили работают на простом маятниковом маршруте, следовательно, βм = βе = 0,5. В этом случае для расчета времени ездки можно воспользоваться формулой
Количество ездок, выполненных автомобилем за день:
Дневная выработка в тоннах одного автомобиля
Дата добавления: 2016-02-20; просмотров: 47562;

за смену