Области применения
Децибел широко применяется в любых областях техники, где требуется измерение величин, меняющихся в широком диапазоне: в радиотехнике, антенной технике, в системах передачи информации, в оптике, акустике (например, в децибелах измеряется уровень громкости звука). Так, в децибелах принято измерять динамический диапазон (например, диапазон громкости звучания музыкального инструмента), затухание волны при распространении в поглощающей среде, коэффициент усиления и коэффициент шума усилителя, коэффициент гармоник.
Децибел используется не только для измерения отношения физических величин второго порядка (энергетических: мощность, энергия) и первого порядка (напряжение, сила тока). С помощью децибела можно измерять отношения любых физических величин, а также использовать децибелы для представления абсолютных величин, вводя при этом некоторый опорный уровень.
В настоящее время рекомендуется употреблять децибелы только для измерения уровня мощности и некоторых других, связанных с мощностью, величин.
4.3 Как перейти к децибелам?
Любые операции с децибелами упрощаются, если руководствоваться правилом: величина в дБ — это 10 десятичных логарифмов отношения двух одноименных энергетических величин. Всё остальное — следствия этого правила. «Энергетические» — величины второго порядка (энергия, мощность). По отношению к ним напряжение и сила электрического тока («неэнергетические») — величины первого порядка (P ~ U²), которые должны быть на каком-то этапе вычислений корректно преобразованы в энергетические.
Измерение «энергетических» величин
Изначально дБ использовался для оценки отношения мощностей, и в каноническом, привычном смысле величина, выраженная в дБ, предполагает логарифм отношения двух мощностей и вычисляется по формуле:
величина в дБ = 10lg
,
где P1/P0 — отношение значений двух мощностей: измеряемой P1 к так называемой опорной P0, то есть базовой, взятой за нулевой уровень (имеется ввиду нулевой уровень в единицах дБ, поскольку в случае равенства мощностей P1 = P0 логарифм их отношения lg(P1/P0) = 0).
Соответственно, переход от дБ к отношению мощностей осуществляется по формуле
P1/P0 = 10(0.1 · величина в дБ),
а мощность P1 может быть найдена при известной опорной мощности P0 по выражению
P1 = P0 · 10(0.1 · величина в дБ).
Измерение «неэнергетических» величин
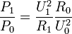
Из правила (см. выше) следует, что «неэнергетические» величины должны быть преобразованы в энергетические. Так, согласно закону Джоуля-Ленца P = U²/R или P = I² R. Следовательно,
, где R1 — сопротивление, на котором определяется изменяемое напряжение U1, а R0 — сопротивление, на котором было определено опорное напряжение U0.
В общем случае напряжения U1 и U0 могут регистрироваться на различных по величине сопротивлениях (R1 не равно R0). Такое может быть, например, при определении коэффициента усиления усилителя, имеющего различные выходное и входное сопротивления, или при измерении потерь в согласующем устройстве, трансформирующем сопротивления. Поэтому в общем случае
величина в децибелах =
.
Только в частном (весьма распространенном) случае, если оба напряжения U1 и U0 измерялись на одном и том же сопротивлении (R1 = R0), можно пользоваться кратким выражением
величина в децибелах =
.
4.4 Децибелы «по мощности», «по напряжению» и «по току»
Из приведенных выше рассуждений следует, что дБ бывают только «по мощности». Тем не менее, в случае равенства R1 = R0 (в частности, если R1 и R0 — одно и то же сопротивление, или в случае, если соотношение сопротивлений R1 и R0 по той или иной причине не важно) говорят о дБ «по напряжению» и «по току», подразумевая при этом выражения:
дБ по напряжению =
;
дБ по току =
.
Для перехода от «дБ по напряжению» («дБ по току») к «дБ по мощности» следует четко определить, на каких именно сопротивлениях (равных или не равных друг другу) регистрировались напряжение (ток). Если R1 не равно R0, следует пользоваться выражением для общего случая (см. выше).
Нетрудно подсчитать, что, в частности:
· при регистрации мощности изменению на +1 дБ (+1 дБ «по мощности») соответствует приращение мощности в ≈1.259 раза, изменению на −3.01 дБ — снижение мощности в два раза, в то время как
· при регистрации напряжения (силы тока) изменению на +1 дБ (+1 дБ «по напряжению», «по току») будет соответствовать приращение напряжения (силы тока) в ≈1.122 раза, при изменении на −3.01 дБ напряжение (сила тока) снизятся и составят
≈ 0.707 от своего исходного значения.
Дата добавления: 2015-08-21; просмотров: 800;
