Повна ортогональна система. Критерій повноти ортогональної системи. Рівність Парсеваля
Визначення 3. Система ортогональних функцій
з простору
називається повною в просторі
, якщо ряд Фурьє для будь-якої функції
збігається в середньому до
.
Теорема 1 (критерій повноти системи ортогональних функцій). Ортогональна система
буде повною в
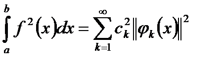
тоді й тільки тоді, коли має місце рівність
для будь-якої
.
Доказ. Нехай
- ортогональна система функцій в просторі
. Побудуємо ряд Фурьє для довільної функції
:
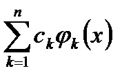
, де
.
За визначенням, система
є повною тоді й тільки тоді, коли
, тут
-
а зрізана сума ряду
, яка одночасно є многочленом Фурьє. Враховуючи це, згадаємо тотожність Бесселя:
.
Тоді, якщо перейти в лівій частині тотожності Бесселя до границі, коли
, отримаємо:
,
але це рівносильно тому, що границя правої частини також дорівнює 0:

.
Остання рівність має назву рівності Парсеваля.
Дата добавления: 2015-08-21; просмотров: 940;
