Попередній аналіз і згладжування тимчасових рядів економічних показників
Нехай даний деякий часовий ряд
(1)
Попередній аналіз тимчасових рядів полягає
у виявленні й усуненні аномальних значень рівнів ряду;
у визначенні наявності тренда.
Під аномальним рівнем розуміється окреме значення рівня тимчасового ряду, що не відповідає потенційним можливостям досліджуваної економічної системи і яке, залишаючись як рівень ряду впливає на значення основних характеристик тимчасового ряду, у тому числі на відповідну трендову модель.
Причинами аномальних спостережень можуть бути помилки технічного порядку (або помилки першого роду), наприклад, при передачі інформації й т.п. Помилки першого роду підлягають виявленню й усуненню.
Розглянемо метод Ірвіна для виявлення аномальних рівнів тимчасового ряду (1).
Алгоритм методу:
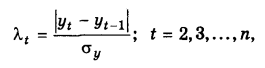
1) Розраховують значення
по формулі

де
- середнє квадратичне відхилення,
- середнє значення показника.
2) Розрахункові значення
й т.д. порівнюють із табличними значеннями критерію Ірвіна
.
Якщо
, то відповідне значення
ряду вважається аномальним,
.
Значення критерію Ірвіна для рівня значимості
, наведені в табл. 3.
Таблиця 3 – Значення критерію Ірвіна

Після цього аномальні рівні усуваються заміною простою середньої арифметичної двох сусідніх рівнів ряду.
Для визначення наявності тренда у вихідному тимчасовому ряді застосовується кілька методів.
Розглянемо метод перевірки різниць середніх рівнів.
Алгоритм методу:
1) Вихідний часовий ряд (1) розбивається на дві приблизно рівні по числу рівнів частини: у першій частині
перших рівнів ряду (1), у другий -
(
+
=
).
2) Для кожної із частин обчислюють середні значення й дисперсії:
;
;
;
.
3) За допомогою критерію Фішера перевіряють нульову гіпотезу
: рівність дисперсій обох частин ряду. Визначають розрахункове значення критерію по формулі
.
Отримане значення
порівнюють із критичним значенням критерію Фішера (табличним)
при рівні значимості
.
Якщо
<
, то нульова гіпотеза приймається й переходять до п. 4)
Якщо
>
, то нульова гіпотеза відхиляється й робиться висновок , що даний метод для визначення наявності тренда відповіді не дає.
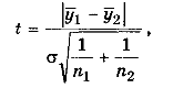
4) За допомогою t-критерію Стьюдента перевіряють нульову гіпотезу
: тренд відсутній.
Визначають розрахункове значення критерію Стьюдента по формулі

де 
По таблиці критичних крапок розподілу Стьюдента визначають
, де
- число ступенів волі.
Якщо
- то гіпотеза приймається, тренда ні, у противному випадку тренд є.
Перейдемо до питання згладжування тимчасових рядів. Дуже часто рівні економічних рядів динаміки коливаються, при цьому тенденція розвитку економічного явища в часі схований від дослідника. З метою більш чітко виявити тенденцію розвитку досліджуваного процесу, у тому числі для подальшого застосування методів прогнозування на основі трендовых моделей роблять згладжування.
До методів згладжування тимчасових рядів відносять аналітичне вирівнювання з використанням кривої, проведеної між конкретними рівнями ряду так, щоб вона відображала тенденцію, властивого ряду, і одночасно звільняла його від незначних коливань.
Більш докладно методи аналітичного згладжування на основі кривих будуть розглянуті в наступних лекціях.
Дата добавления: 2015-08-14; просмотров: 1393;
