Многопроцессорная архитектура
Самой простой распределенной системой является многопроцессорная система. Она состоит из множества различных процессов, которые могут (но не обязательно) выполняться на разных процессорах. Данная модель часто используется в больших системах реального времени. Эти системы собирают информацию, принимают на ее основе решения и отправляют сигналы исполнительному механизму, который изменяет системное окружение. В принципе все процессы, связанные со сбором информации, принятием решений и управлением исполнительным механизмом, могут выполняться на одном процессоре под управлением планировщика заданий. Использование нескольких процессоров повышает производительность системы и ее способность к восстановлению. Распределение процессов между процессорами может переопределяться (присуще критическим системам) или же находиться под управлением диспетчера процессов.
На рис. 9.1 показан пример системы такого типа. Это упрощенная модель системы управления транспортным потоком. Группа распределенных датчиков собирает информацию о величине потока. Собранные данные перед отправкой в диспетчерскую обрабатываются на месте. На основании полученной информации операторы принимают решения и управляют светофорами. В этом примере для управления датчиками, диспетчерской и светофорами имеются отдельные логические процессы. Это могут быть как отдельные процессы, так и группа процессов. В нашем примере они выполняются на разных процессорах.

Рис. 9.1. Многопроцессорная система управления движением транспорта
Системы ПО, одновременно выполняющие множество процессов, не обязательно являются распределенными. Если в системе более одного процессора, реализовать распределение процессов не представляет труда. Однако при создании многопроцессорных программных систем не обязательно отталкиваться только от распределенных систем. При проектировании систем такого типа, по существу, используется тот же подход, что и при проектировании систем реального времени.
9.2. Архитектура клиент/сервер
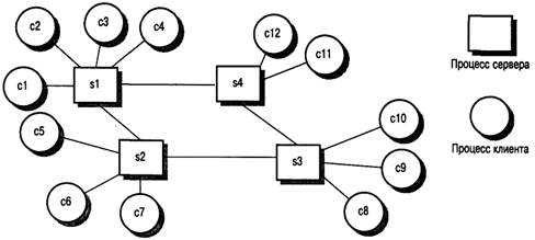
В архитектуре клиент/сервер программное приложение моделируется как набор сервисов, предоставляемых серверами, и множество клиентов, использующих эти сервисы. Клиенты должны знать о доступных (имеющихся) серверах, хотя могут и не иметь представления о существовании других клиентов. Как видно из рис. 9.2, на котором представлена схема распределенной архитектуры клиент/сервер, клиенты и серверы представляют разные процессы.

Рис. 9.2. Система клиент/сервер
В системе между процессами и процессорами не обязательно должно соблюдаться отношение "один к одному". На рис. 9.3 показана физическая архитектура системы, которая состоит из шести клиентских машин и двух серверов. На них запускаются клиентские и серверные процессы, изображенные на рис. 9.2. В общем случае, говоря о клиентах и серверах, подразумевают скорее логические процессы, чем физические машины, на которых выполняются эти процессы.
Архитектура системы клиент/сервер должна отражать логическую структуру разрабатываемого программного приложения. На рис. 9.4 предлагается еще один взгляд на программное приложение, структурированное в виде трех уровней. Уровень представления обеспечивает информацию для пользователей и взаимодействие с ними. Уровень выполнения приложения реализует логику работы приложения. На уровне управления данными выполняются все операции с базами данных. В централизованных системах между этими уровнями нет четкого разделения. Однако при проектировании распределенных систем необходимо разделять эти уровни, чтобы затем расположить каждый уровень на разных компьютерах.
Самой простой архитектурой клиент/сервер является двухуровневая, в которой приложение состоит из сервера (или множества идентичных серверов) и группы клиентов. Существует два вида такой архитектуры (рис. 9.5).
1. Модель тонкого клиента. В этой модели вся работа приложения и управление данными выполняются на сервере. На клиентской машине запускается только ПО уровня представления.
2. Модель толстого клиента. В этой модели сервер только управляет данными. На клиентской машине реализована работа приложения и взаимодействие с пользователем системы.

Рис. 9.3. Компьютеры в сети клиент/сервер

Рис. 9.4. Уровни программного приложения
Тонкий клиент двухуровневой архитектуры – самый простой способ перевода существующих централизованных систем в архитектуру клиент/сервер. Пользовательский интерфейс в этих системах "переселяется" на персональный компьютер, а само программное приложение выполняет функции сервера, т.е. выполняет все процессы приложения и управляет данными. Модель тонкого клиента можно также реализовать там, где клиенты представляют собой обычные сетевые устройства, а не персональные компьютеры или рабочие станции. Сетевые устройства запускают Internet-браузер и пользовательский интерфейс, реализованный внутри системы.

Рис. 9.5. Модели тонкого и толстого клиентов
Главный недостаток модели тонкого клиента – большая загруженность сервера и сети. Все вычисления выполняются на сервере, а это может привести к значительному сетевому трафику между клиентом и сервером. В современных компьютерах достаточно вычислительной мощности, но она практически не используется в модели тонкого клиента банка.
Напротив, модель толстого клиента использует вычислительную мощность локальных машин: и уровень выполнения приложения, и уровень представления помещаются на клиентский компьютер. Сервер здесь, по существу, является сервером транзакций, который управляет всеми транзакциями баз данных. Примером архитектуры такого типа могут служить системы банкоматов, в которых банкомат является клиентом, а сервер – центральным компьютером, обслуживающим базу данных по расчетам с клиентами.
На рис. 9.6 показана сетевая система банкоматов. Заметим, что банкоматы связаны с базой данных расчетов не напрямую, а через монитор телеобработки. Этот монитор является промежуточным звеном, которое взаимодействует с удаленными клиентами и организует запросы клиентов в последовательность транзакций для работы с базой данных. Использование последовательных транзакций при возникновении сбоев позволяет системе восстановиться без потери данных.

Рис. 9.6. Система клиент/сервер для сети банкоматов
Поскольку в модели толстого клиента выполнение программного приложения организовано более эффективно, чем в модели тонкого клиента, управлять такой системой сложнее. Здесь функции приложения распределены между множеством разных машин. Необходимость замены приложения приводит к его повторной инсталляции на всех клиентских компьютерах, что требует больших расходов, если в системе сотни клиентов.
Появление языка Java и загружаемых аплетов позволили разрабатывать модели клиент/сервер, которые находятся где-то посередине между моделями тонкого и толстого клиента. Часть программ, составляющих приложение, можно загружать на клиентской машине как аплеты Java и тем самым разгрузить сервер. Интерфейс пользователя строится посредством Web-броузера, который запускает аплеты Java. Однако Web-броузеры от различных производителей и даже различные версии Web-броузеров от одного производителя не всегда выполняются одинаково. Более ранние версии броузеров на старых машинах не всегда могут запустить аплеты Java. Следовательно, такой подход можно использовать только тогда, когда вы уверены, что у всех пользователей системы установлены броузеры, совместимые с Java.
В двухуровневой модели клиент/сервер существенной проблемой является размещение на двух компьютерных системах трех логических уровней – представления, выполнения приложения и управления данными. Поэтому в данной модели часто возникают либо проблемы с масштабируемостью и производительностью, если выбрана модель тонкого клиента, либо проблемы, связанные с управлением системой, если используется модель толстого клиента. Чтобы избежать этих проблем, необходимо применить альтернативный подход – трехуровневую модель архитектуры клиент/сервер (рис. 9.7). В этой архитектуре уровням представления, выполнения приложения и управления данными соответствуют отдельные процессы.

Рис. 9.7. Трехуровневая архитектура клиент/сервер
Архитектура ПО, построенная по трехуровневой модели клиент/сервер, не требует, чтобы в сеть были объединены три компьютерных системы. На одном компьютере-сервере можно запустить и выполнение приложения, и управление данными как отдельные логические серверы. В то же время, если требования к системе возрастут, можно будет относительно просто разделить выполнение приложения и управление данными и выполнять их на разных процессорах.
Банковскую систему, использующую Internet-сервисы, можно реализовать с помощью трехуровневой архитектуры клиент/сервер. База данных расчетов (обычно расположенная на главном компьютере) предоставляет сервисы управления данными, Web-сервер поддерживает сервисы приложения, например средства перевода денег, генерацию отчетов, оплату счетов и др. А компьютер пользователя с Internet-броузером является клиентом. Как показано на рис. 9.8, эта система масштабируема, так как в нее относительно просто добавить новые Web-серверы при увеличении количества клиентов.
Использование трехуровневой архитектуры в этом примере позволило оптимизировать передачу данных между Web-сервером и сервером базы данных. Взаимодействие между этими системами не обязательно строить на стандартах Internet, можно использовать более быстрые коммуникационные протоколы низкого уровня. Обычно информацию от базы данных обрабатывает эффективное промежуточное ПО, которое поддерживает запросы к базе данных на языке структурированных запросов SQL.
В некоторых случаях трехуровневую модель клиент/сервер можно перевести в многоуровневую, добавив в систему дополнительные серверы. Многоуровневые системы можно использовать и там, где приложениям необходимо иметь доступ к информации, находящейся в разных базах данных. В этом случае объединяющий сервер располагается между сервером, на котором выполняется приложение, и серверами баз данных. Объединяющий сервер собирает распределенные данные и представляет их в приложении таким образом, будто они находятся в одной базе данных.

Рис. 9.8. Распределенная архитектура банковской системы с использованием Internet-сервисов
Разработчики архитектур клиент/сервер, выбирая наиболее подходящую, должны учитывать ряд факторов. В табл. 9.2 перечислены различные случаи применения архитектуры клиент/сервер.
Таблица 9.2. Применение разных типов архитектуры клиент/сервер
| Архитектура | Приложения |
| Двухуровневая архитектура тонкого клиента | Наследуемые системы, в которых нецелесообразно разделять выполнение приложения и управления данными. |
| Приложения с интенсивными вычислениями, например компиляторы, но с незначительным объемом управления данными. | |
| Приложения, в которых обрабатываются большие массивы данных (запросы), но с небольшим объемом вычислений в самом приложении | |
| Двухуровневая архитектура толстого клиента | Приложения, где пользователю требуется интенсивная обработка данных (например, визуализация данных или большие объемы вычисления). |
| Приложения с относительно постоянным набором функций на стороне пользователя, применяемых в среде с хорошо отлаженным системным управлением | |
| Трехуровневая и многоуровневая архитектуры клиент/сервер | Большие приложения с сотнями и тысячами клиентов. Приложения, в которых часто меняются и данные, и методы обработки. |
| Приложения, в которых выполняется интеграция данных из многих источников |
Дата добавления: 2015-08-14; просмотров: 5043;
