Распределение концентрации неравновесных носителей заряда
Вследствие инжекции электронов в дырочный полупроводник возрастает их концентрация в приповерхностной области, что ведет к возникновению диффузии вдоль оси x. Диффундируя вглубь полупроводника электроны, встречаясь с дырками, рекомбинируют. Так как процесс рекомбинации носит вероятностный характер, то различные электроны, прежде чем рекомбинировать, успевают проникнуть вглубь полупроводника на различные расстояния. Вследствие этого, концентрация электронов оказывается распределенной неравномерно. Количество электронов, пересекающих в единицу времени единичную площадку, перпендикулярную направлению диффузии, пропорционально градиенту концентрации электронов, то есть:
. (1.26)
При инжекции дырок в электронный полупроводник количество дырок, диффундирующих через сечение x, определяется аналогичным образом, то есть:
, (1.27)
где Dn и Dp - коэффициенты диффузии электронов и дырок.
Поскольку электроны и дырки диффундируют в направлении убывания их концентрации, то это обстоятельство учитывается знаком минуса.
Для нахождения закона распределения избыточной концентрации вдоль оси x выделим внутри полупроводника объем, ограниченный сечениями x1 и x2 , приняв площадь поперечного сечения равной 1 см2 (рис. 1.12). Через сечение x1 в соответствии с (1.26) за время dt проходит D n(x1,t) электронов:
, (1.28)
а через сечение x2 проходят D n (x2,t) электронов:
. (1.29)
При этом часть электронов встречается с дырками и рекомбинирует. Количество рекомбинирующих электронов определяется временем жизниt n, интервалом времени dt и объемом dx:
.
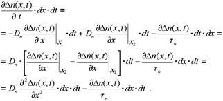
Таким образом, изменение количества электронов в объеме dx за время dt можно представить в виде:
(1.30)
Последнее уравнение можно записать в виде:
. (1.31)
Избыточные носители заряда, диффундируя в объеме полупроводника, за время своей жизни t n перемещаются в среднем на расстояние
.
Следовательно:
. (1.32)
Полученное уравнение называют уравнением непрерывности для электронов. Оно учитывает диффузионное движение носителей заряда и их рекомбинацию. Интегрируя это уравнение при известных начальных и граничных условиях можно определить D n(x,t).
В случае непрерывной инжекции, поддерживающей в сечении xp постоянное значение избыточной концентрации n(xp) процессы не будут зависеть от времени. Тогда уравнение (1.32) можно записать в виде:
. (1.33)
Решение этого уравнения имеет вид:
.
Определим граничные условия: при x=xp получаем D n (x)=D n (xp), при x=Ґполучаем D n (x)=0. Величина Dn (xp) обычно известна. Следовательно,
C1=0, а
.
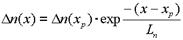
Таким образом, распределение избыточной концентрации вдоль оси x характеризуется уравнением:
, (1.34)
из которого следует, что диффузионная длина Ln представляет собой расстояние, на котором избыточная концентрация уменьшается в ераз. (Рис. 1.12,б).
|
|
В полупроводниковых приборах часто встречаются такие случаи, когда инжекция осуществляется в тонкую область толщиной w< Ln . В этом случае решение уравнения (1.34) имеет вид:
. (1.35)
При условии w<<Ln тригонометрические функции можно заменить их аргументами, тогда:
, (1.36)
то есть распределение избыточных носителей становится линейным.
Распределение избыточной концентрации дырок вдоль оси x имеет такой же характер, как и распределение концентрации электронов, но при этом диффузии дырок не возникает, так как при смещении дырок в направлении оси x отрицательный заряд инжектированных электронов оказывается не скомпенсированным положительным зарядом неравновесных дырок, вследствие чего возникает внутреннее электрическое поле, препятствующее диффузии дырок. Формально можно считать, что диффузионное движение дырок происходит, но одновременно с этим происходит встречное движение дырок, обусловленное возникшим внутренним полем. Эти встречные потоки дырок уравновешивают друг друга, поэтому реального движения дырок не происходит.
Аналогичное явление имеет место в полупроводниках с неравномерным распределением примесей. На рис. 1.13 представлен случай, когда концентрация акцепторной примеси NA(x) убывает в направлении оси x. Полагаем приблизительно, что все акцепторы ионизированы и, пренебрегая наличием в полупроводнике электронов, можно считать, что p(x)» NA(x), то есть закон распределения концентрации дырок такой же, как закон распределения акцепторов. В этих условиях неравномерное распределение концентрации дырок вдоль оси xдолжно вызвать диффузию дырок, в результате чего снизится их концентрация у поверхности и возрастет их концентрация в глубине полупроводника, следовательно, отрицательные заряды акцепторов окажутся не скомпенсированными и возникнет внутреннее электрическое поле, препятствующее диффузии дырок. Если в такой полупроводник через сечение xp инжектировать электроны, то внутреннее поле для этих электронов окажется ускоряющим. В этом случае перемещение электронов в дырочные области будет происходить как за счет диффузии, так и под действием сил внутреннего поля.
Дата добавления: 2015-08-11; просмотров: 1883;
