Сети передачи массовых сообщений
Важнейшими сетями передачи массовых сообщений являются сети вещания. Вещанием называют передачу различного рода сообщений широким слоям населения с помощью технических средств электросвязи. Вещание подразделяется на звуковое и ТВ. По способу доведения сообщений до слушателей в звуковом вещании различают радиовещание и проводное вещание. В радиовещании сообщения принимаются слушателями с помощью радиоприемного устройства, в проводном вещании – с помощью абонентского устройства, подключенного к проводной линии. Аналогично в телевидении различают эфирное вещание (по радиоканалу) и передачу ТВ сигналов по кабельным сетям, спутниковое вещание, Интернет – вещание.
Организация ТВ и звукового вещания в масштабе страны сводится к решению двух крупных организационно-технических задач: формирование вещательных программ; доведение этих программ до населения. Программы телевидения готовятся на телецентрах, программы радио – в радиодомах. Для доведения сформированных программ до широкого круга территориально рассредоточенных зрителей и слушателей созданы две общегосударственные сети электросвязи – сеть ТВ вещания и сеть звукового вещания. Структурная схема организации вещания приведена на рис.36.
Вещательная сеть образуется совокупностью технических средств, используемых для передачи программ вещания по заданной территории. К техническим средствам относятся: радиотелевизионные передающие станции (РТПС); радиопередающие станции (РПС); связные искусственные спутники Земли (ИСЗ); приемопередающие спутниковые устройства; узлы проводного вещания (УПВ); каналы передачи сигналов программ вещания к РТПС, РПС, УПВ; кабельные распределительные сети; глобальные станции систем кабельного телевидения (СКТВ); индивидуальные приемные устройства.
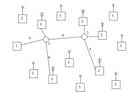
Для примера функциональная схема организации сети эфирного (наземного) телевизионного вещания представлена на рис.37.
Качественный прием телевизионных программ ограничен расстоянием радиовидимости (прямой видимости) между приемной антенной абонента и передающей антенной РТПС. Для типовых высот телебашен это расстояние не превышает 60…80 км.
Разветвленная сеть каналов обычно создается в виде «дерева» - древовидная схема.
Аналогично телевидению построена сеть звукового вещания, хотя прием сигналов радиопередающих станций не связан в такой степени с расстоянием, как при телевизионном вещании, но все-таки каждая станция имеет ограниченную зону обслуживания. Размеры зоны зависят от многих факторов. Важнейшими из них являются мощность станции и диапазон используемых радиоволн. Радиус зоны обслуживания может быть от нескольких десятков до нескольких сотен или даже тысяч километров.
Особое место среди сетей передачи массовых сообщений занимает сеть передачи ИГП по каналам связи из центральных издательств в пункты децентрализованного печатания газет.

ТЦ – телецентр; СТВ – сеть телевизионного вещания; РД – радиодом; СЗВ – сеть звукового вещания
Рис. 36. Схема организации вещания
|
1 – телецентр; 2 – РТПС; 3 – узлы разветвления каналов; 4 – каналы связи; 5 – абонентские телевизионные приемники (телевизоры)
Рис. 37. Функциональная схема организации эфирного телевизионного вещания.
Дата добавления: 2015-08-11; просмотров: 1744;
