Техниг. Система
P1 – кг/м2; V1 – м3; Zпол – кг * м
Работа нагнетателя будет
Zнаг = P2 * F * S2 = P2 * V2,
где S2 – ход поршня в период нагнетателя.
На диаграмме Zнаг выражается площадью F=c-2-3-a-c.
Подставим величины Zвс, Zсж и Zнаг в выражение Zин.
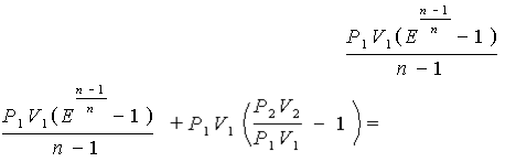
| Zпол = -p1V1 -∫v1v2 pdV +p2V2 = -p1V1 + p2V2 =
| |||
Zпол (за цикл) =
|
Полная работа за цикл в n раз больше работы, затрачиваемой только на сжатие.
Zад =
|
Где K – показатель адиабаты.
Определим работу в изолированном процессе.
При n=1
pV=p1V1
| Zиз = ∫v1v2 pdV = ∫v1v2 p d = p1 V1∫P1P2 =
p1V1|lnp|p=p1p=p2 = p1V1(lnp2 - lnp1) = p1V1ln * p2/p1 = p1V1lnE
| ||
∫ = ln x + c
log = log a – log b
|
|
Температура газа в конце сжатия
Пусть имеем начальное состояние газа при p1 и t1. T1 = 273 + t1.
Необходимо сжать газ до давления p2 и определить его температуру t2 или T2. Воспользуемся уравнением состояния.
P1V1 = GRT1 отсюда
P2V2 = GRT2
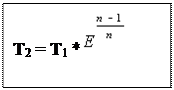
T2 = T1 *
Воспользуемся уравнением процесса
P1V1n = P2V2n
| |||
|
T2 =T1 * E * = T1 *

- выражение для конечной температуры.
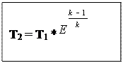
Если процесс адиабатический при n = k;

Для изотермического процесса при n = 1.
|
T2 = T1 * = T1
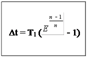
Если обозначим:
Δt = T2 – T1, то можно получить следующее выражение
| |||
| |||
Δt = T1 * - T1 = T1 ( - 1)
Дата добавления: 2015-07-10; просмотров: 604;

Zпол = -p1V1 -∫v1v2 pdV +p2V2 = -p1V1 + p2V2 =
Zпол (за цикл) =
Zиз = ∫v1v2 pdV = ∫v1v2 p
d = p1 V1∫P1P2 =
p1V1|lnp|p=p1p=p2 = p1V1(lnp2 - lnp1) = p1V1ln * p2/p1 = p1V1lnE
= ln x + c
log
= log a – log b