ОСТ 26-12-2032-82.
1. Массовая производительность компрессора. Массовый расход газа в принятом контрольном сечении на выходе из компрессора.
2. Объёмная производительность компрессора. Объёмный расход газа в принятом контрольном сечении на выходе из компрессора.
3. Приведённая производительность компрессора. Объёмная производительность компрессора, пересчитанная на выбранные условия состояния газа.
М3/г, м3/с.
В м3/мин. Производительность, измеренная таким образом, называется производительностью по всасыванию.
Иногда производительность задана в массовых единицах (кг/с, кг/мин или кг/ч).
Массовая производительность зависит от давления и температуры газа на всасывание и не может являться надёжным критерием для оценки качества машины. Например, уменьшение массовой производительности компрессора в летнее время не говорит об ухудшении работы компрессора, а отражает лишь уменьшение плотности всасываемого газа.
Производительность компрессора при теоретическом процессе Vm определяется уравнением
Vm = n0 * F * S = n0Vh,
где Vm – объёмная производительность компрессора при теоретическом процессе, м3/мин.
N0 – частота вращения вала компрессора в минуту.
F – суммарная рабочая площадь поршня.
Для компрессоров простого действия при количестве цилиндров j и диаметре их ДУ
|
πДу2
В компрессорах двойного действия со штоком диаметра dш, проходящим через одну из рабочих полостей,

Jπ(Ду2 – 0,5dш2)
Массовая производительность компрессора при теоретическом процессе m (кг/с), p – кг/м3, Vm – м3/с, определяется уравнением
m =Vm*ρ, кг/с
где ρ – плотность газа во всасывающем патрубке компрессора, т. е. при давлении P1 и температуре T1.
Работа, затрачиваемая на сжатие и перемещение газа при теоретическом процессе, Zин. складывается из работы всасывания Zвс., сжатия Zсж и нагнетания Zнаг.
Zин = Zвс + Zсж + Zнаг
условимся считать положительной работу, получаемую газом от двигателя, и отрицательной – работу, совершённую газом.
При всасывании газа сила от давления P1, действующего на поршень площадью F, на всём пути направлена по движению поршня S и помогает двигателю вращать вал, т. е. двигатель получает работу от газа.
Для полости A эта работа будет
Zвс = -P1 * F : S = -P1V1
Эта работа отрицательна и на диаграмме выражается площадью F = b-1-4-a-b
Работа сжатия будет
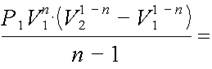
Zсж = -∫v1v2 pdV
В этом уравнении «минус» перед интегралом потому, что в процессе сжатия объём газа уменьшается, следовательно, приращение его – dv будет отрицательным.
Zсж на диаграмме выражается площадью F = b-1-2-c-b.
| pVn = p1V1n p = p1 (V1/V)n -∫xndx = xn+1/(n+1) + c (n≠-1) | -∫v1v2 pdV = -∫v1v2 p1V1nV-ndV = -p1V1n|V1-n| =
1-n
| |
p1V1n = p2V2n
где Е – степень повышения давления или отношение давлений
|
СИ.
P1 – Н/м2, V1 – м3, тогда Zпол – Н * м = Дж
Дата добавления: 2015-07-10; просмотров: 613;

-∫v1v2 pdV =
где Е – степень повышения давления или отношение давлений