Жирные кислоты
Жирные кислоты – алифатические карбоновые кислоты – в организме могут находиться в свободном состоянии (следовые количества в клетках и тканях) либо выполнять роль строительных блоков для большинства классов липидов.
В природе обнаружено свыше 200 жирных кислот, однако, в тканях человека и животных в составе простых и сложных липидов найдено около 70 жирных кислот, причем более половины из них в следовых количествах. Практически значительное распространение имеют немногим более 20 жирных кислот. Все они содержат четное число углеродных атомов, главным образом от 12 до 24. Среди них преобладают кислоты, имеющие С16 и С18 (пальмитиновая, стеариновая, олеиновая и линолевая). Нумерацию углеродных атомов в жирно-кислотной цепи начинают с атома углерода карбоксильной группы. Примерно 3/4 всех жирных кислот являются непредельными (ненасыщенными), т.е. содержат двойные связи. Ненасыщенные жирные кислоты человека и животных, участвующие в построении липидов, обычно содержат двойную связь между (9-м и 10-м атомами углеводородов); дополнительные двойные связи чаще бывают на участке между 11-м атомом углерода и метильным концом цепи. Своеобразие двойных связей природных ненасыщенных жирных кислот заключается в том, что они всегда отделены двумя простыми связями, т.е. между ними всегда имеется хотя бы одна метиленовая группа (—СН=СН—СН2—СН=СН—). Подобные двойные связи обозначают как «изолированные».
Таблица 10 - Некоторые физиологически важные насыщенные жирные кислоты
| Число атомов С | Тривиальное название | Систематическое название | Химическая формула соединения |
| Капроновая | Гексановая | СН3−(СН2)4−СООН | |
| Каприловая | Октановая | СН3−(СН2)6−СООН | |
| Каприновая | Декановая | СН3−(СН2)8−СООН | |
| Лауриновая | Додекановая | СН3−(СН2)10СООН | |
| Миристиновая | Тетрадекановая | СН3−(СН2)12−СООН | |
| Пальмитиновая | Гексадеконовая | СН3−(СН2)14−СООН | |
| Стеариновая | Октадекановая | СН3−(СН2)16−СООН | |
| Арахиновая | Эйкозановая | СН3−(СН2)18−СООН | |
| Бегеновая | Докозановая | СН3−(СН2)20−СООН | |
| Лигноцириновапя | Тетракозановая | СН3−(СН2)22−СООН |
В растворах жирно-кислотная цепь может образовывать бесчисленное количество конформаций вплоть до клубка, в котором имеются и линейные участки различной длины в зависимости от числа двойных связей. Клубки могут слипаться между собой, образуя так называемые мицеллы. В последних отрицательно заряженные карбоксильные группы жирных кислот обращены к водной фазе, а неполярные углеводородные цепи спрятаны внутри мицеллярной структуры. Такие мицеллы имеют суммарный отрицательный заряд и в растворе остаются суспендированными благодаря взаимному отталкиванию.
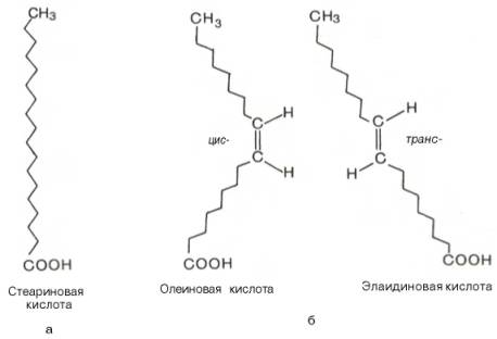
Известно также, что при наличии двойной связи в жирнокислотной цепи вращение углеродных атомов относительно друг друга ограничено. Это обеспечивает существование ненасыщенных жирных кислот в виде геометрических изомеров, причем природные ненасыщенные жирные кислоты имеют цис-конфигурацию и крайне редко транс-конфигурации.
Таблица 11 - Некоторые физиологически важные ненасыщенные жирные кислоты
| Число атомов С | Тривиальное название | Систематическое название | Химическая формула соединения |
| Моноеновые кислоты | |||
| Пальмитиновая | 9-гексадеценовая | СН3−(СН2)5−СН=СН−(СН2)5СООН | |
| Олеиновая | 9-октаддеценовая | СН3−(СН2)7−СН=СН−(СН2)7СООН | |
| Диеновые кислоты | |||
| Линолевая | 9,12-октадеценовая | СН3−(СН2)4−СН=СН−СН2− −СН=СН− (СН2)7СООН | |
| Триеновая кислоты | |||
| Линоленовая | 9,12,15-октадекатриеновая | СН3−СН2−СН=СН−СН2− −СН=СН− СН2− СН=СН (СН2)7−СООН | |
| Тетраеновые кислоты | |||
| Арахидоновая | 5,8,11,14-эйкозатетраеновая | СН3−СН2−СН=СН−СН2− СН=СН−СН2− СН=СН−СН2− СН=СН−СН2− СН= − (СН2)5−СООН |
Считают, что жирной кислоте с несколькими двойными связями цис-конфигурация придает углеводородной цепи изогнутый и укороченный вид. По этой причине молекулы этих кислот занимают больший объем, а при образовании кристаллов упаковываются не так плотно, как транс-изомеры. Вследствие этого цис-изомеры имеют более низкую температуру плавления (олеиновая кислота, например, при комнатной температуре находится в жидком состоянии, тогда как элаидиновая – в кристаллическом). Цис-конфигурация делает ненасыщенную кислоту менее стабильной и более подверженной катаболизму.

Рисунок 23 -Конфигурация 18-углеродных насыщенных (а) и мононенасыщенных (б) жирных кислот
Дата добавления: 2015-08-11; просмотров: 1084;
