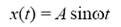
Синусоидальный (гармонический) сигнал

Рис. 10 Гармонический сигнал

Гармонический сигнал характеризуется параметрами: амплитуда – А; период – Т; фаза – ϕ.
Пример 1. Если на исследуемом объекте резко открыть вентиль, в результате чего расход подаваемого вещества изменится скачком с F1 до F2, то говорят, что на входе объекта реализован скачкообразный сигнал величиной F2 – F1 , и если эта разность равна единице, то на входе реализуется единичный скачок.
Изменение в установке вентиля расход пара не мгновенно будет изменять выходную величину температуры. Теплоёмкость воды будет заставлять температуру медленно перемещаться в новое положение.

Рис. 11 Характеристики управляемой системы «водяная баня»
Пример 2. При управлении расходом динамический ответ быстрый. Изменение в положении вентиля вызовет немедленное изменение расхода, так что изменение в объёмном расходе почти немедленно повторяет изменение во входном положении вентиля.

Рис. 12 Характеристики управляемой системы «вентиль»
Ответ системы на изменение состояния определяется временной константой. Управляемые системы (технические системы) могут показывать существенно разные временные константы):
- температура: очень медленный
- поток (расход): медленный
- скорость вращения (rotary): относительно быстрый
- освещённость: очень быстрый
Из примеров видно, что ответы разные.
Дата добавления: 2015-08-11; просмотров: 1111;
