АИР с удвоением частоты.
Ограничение в использовании резонансных инверторов по частоте обусловлено увеличением мощности потерь в тиристорах при их переключениях, а также конечным временем, выключения тиристора. Одним из эффективных путей повышения рабочей частоты является работа инвертора в режиме, при котором частоте f1 переключения тиристоров соответствует частота f=2f1 тока нагрузки. Такой режим работы характерен для АИР с удвоением частоты.
В схему АИР с удвоением частоты входят: инверторный мост на тиристорах VS1-VS4; диоды VD1-VD4; конденсатор C и дроссель L, включенные в диагональ моста; активно-индуктивная нагрузка ZH, подключенная параллельно другой диагонали моста через разделительный конденсатор CP. Емкости конденсаторов C и CP равны (иногда C>CP). В цепи постоянного тока инвертора расположен сглаживающий дроссель Ld, индуктивность которого выше индуктивностей L и LH.
Работа схемы основана на поочередном отпирании накрест лежащих тиристоров VS1,VS2 и VS3,VS4 и подключении ими конденсатора C и дросселя L параллельно выходной цепи инвертора. Ток в цепи нагрузки iH представляет собой разность тока источника питания Id и тока перезаряда конденсаторов C и CP в контуре с открытыми тиристорами инвертора. В момент времени tO открываем тиристоры VS1,VS2и предварительно заряженный конденсатор CP разряжается по цепи (+CP-VS2-L-C-VS1-ZH-CP) формируя полуволну тока iH (отрицательную). Конденсатор C заряжается полярностью в скобках. В момент времени t1 открываются диоды VD1 и VD2 и конденсатор C перезаряжается по контуру (+C-VD2-CP-ZH-VD3-L-C) формируя вторую полуволну тока нагрузки (положительную). Ввиду отдачи энергии конденсаторов в цепь нагрузки процесс перезаряда носит затухающий характер. Этим объясняется уменьшение амплитуды тока iН на этапе его протекания через обратные диоды. На интервале t1…t2 создаются условия, необходимые для запирания ранее проводивших тиристоров VS1 и VS2. К ним прикладываются обратные напряжения, равные падению напряжения на диодах VD1 и VD2.На интервале t2…t3 тиристоры инвертора заперты. Ток нагрузки на этом интервале определяется током Id, подзаряжающим конденсатор CP.
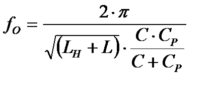
С момента времени t3 формирование очередной полуволны тока iH связанно с отпиранием VS3,VS4 и аналогичными процессами перезаряда конденсаторов C и CP. Полярность C перед перезарядом – в скобках. Этот режим работы инвертора характеризуется наличием интервалов паузы tП в токе iK контура C-L. Для приближения к синусоиде кривой тока iH(t) элементы контура выбираются с таким расчетом, чтобы tП=0 (последняя диаграмма). Указанному отвечает соотношение частот f=2fO, где
(2.26)
Особенностью этой схемы является ее работоспособность в режиме КЗ в выходной цепи, а при наличии дополнительного балластного резистора и в режиме холостого хода.
Дата добавления: 2015-08-08; просмотров: 1537;
