Движение заряженной частицы в однородном магнитном поле
11.7.1.1.
перпендикулярна
(
)

Линии индукции направлены за чертеж, В = const.
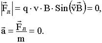
Ускорение, по (4.6)
,
нормальное ускорение.
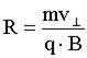
Из (3.10.1)
.
Частица движется по окружности такого радиуса:
.
Время одного оборота:
.
Т не зависит от v!
11.7.1.2.
параллельна
, sin (
) = 0
|
| |
Частица движется равномерно и прямолинейно, вдоль .
|
11.7.1.3. Угол между скоростью и магнитным полем
= α.
Вектор разложим на две составляющие. - направлена вдоль магнитного поля, направлена перпендикулярно магнитному полю.
| .
|
Движение - сумма движения (11.7.1.1) со скоростью
и движения (11.7.1.2) со скоростью
.
Траектория - спираль. Радиус спирали:

Шаг спирали:

Дата добавления: 2015-08-08; просмотров: 984;

- направлена вдоль магнитного поля,
направлена перпендикулярно магнитному полю.
.