При ламинарном течении модуль скорости изменяется с расстоянием от оси трубы по параболическому закону.

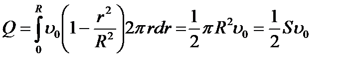
Вычислим поток жидкости Q (объём жидкости), протекающий через поперечное сечение трубы в единицу времени. Выделим слой радиусом r и толщиной dr. Через него поток жидкости
. Поток жидкости Q определяется интегрированием:
,
где S – площадь сечения трубы. После подстановки в эту формулу
:
– формула Пуазейля.
В случае нестационарного течения скорость частиц в каждой точке пространства всё время беспорядочно изменяется. Такое течение называется турбулентным. При турбулентном течении происходит интенсивное перемешивание жидкости.
Осборн Рейнольдс (английский физик 1842-1912 гг.) установил, что характер течения определяется значением безразмерной величины
– число Рейнольдса,
где ρ – плотность жидкости или газа, υ – средняя по сечению трубы скорость потока, η – вязкость жидкости или газа, l – характерный для поперечного сечения потока размер.
При малых значениях Re течение носит ламинарный характер. Начиная с критического значения Re, течение становится турбулентным. Для трубы
.
Величину
называют кинематической вязкостью. С учётом этого
.
При выяснении сил, действующих на тело, безразлично, что считать движущимся – тело или среду. Удобно предполагать тело неподвижным, а среду движущейся.
Силу
, с которой набегающий поток действует на тело, можно разложить на две составляющие: направленную вдоль скорости
невозмущённого потока силу
, называемую лобовым сопротивлением, и перпендикулярную к
силу
, называемую подъёмной силой. На тело, симметричное относительно направления скорости
, может действовать только сила лобового сопротивления, подъёмная же сила будет отсутствовать.
Подъёмная сила крыла самолёта:

В несжимаемой идеальной жидкости равномерное движение тела произвольной формы должно было бы происходить без лобового сопротивления (парадокс Даламбера).
Стокс (Джордж Габриэль Стокс 1819-1903 гг. – английский физик и математик) установил, что при небольших скоростях и размерах тел (при малых Re) модуль силы сопротивления определяется формулой
, где η – динамическая вязкость, l – характерный размер тела, υ – модуль скорости тела, k – коэффициент пропорциональности, зависящий от формы тела.
Модуль силы сопротивления, действующей на небольшие шарики, движущиеся в жидкости, при малых скоростях определяется формулой:
- формула Стокса,
где r – радиус шарика.
Дата добавления: 2015-08-08; просмотров: 1107;
