Жарықтың кванттық табиғаты
Кванттық оптика– жарықтың кванттық қасиеті байқалатын құбылыстарды зерттейтін оптиканың бөлімі.
Оптикалық сәулеленудің түрлері.
Зат құрамына кіретін электр зарядтарының тербелістері электромагниттік жарық шығарудың алғышартары болып табылады, зат жарық шығарғанда әнергиясын жоғалтады.
Жарық шашырағанда және шағылғанда екінші ретті жарық толқындарының пайда болуы және заттың жарық шығару ұзақтығы жарық тербеліс периодына тең уақыт аралығында болады.
Егер жарық шығару жарық тербеліс периодынан ұзағырақ уақытта болса, онда жарық шығарудың екі түрі бар: 1) жылулық жарық шығару және 2) люминесценция.
Әр толқын ұзындығы үшін дене мен сәулеленудің арасындағы әнергияның үлесуі өзгермей қалатын күйді жүйенің (жарық шығарушы дененің) тепе-теңдік күйі деп айтады. Қыздыру нәтижесінде дененің жарық шығаруы – жылулық сәулеленуі деп аталады. Жылулық сәулелену - жарық шығарушы дене мен тепе-теңдік күйде болатын сәулеленудің жалғыз түрі болып табылады.
Жарықтың тербеліс периодынан ұзақ уақыт бойы берілген температурада дененің жылулық сәуленуінен артық болатын тепе-теңдік емес сәулелену люминесценция деп аталады.
Жылулық сәулелену және оның сипаттамалары
Жылулық сәулелену заттың атомдары мен молекулаларының жылулық қозғалыс әнергиясы нәтижесінде орын алады. Бұл құбылыс температурасы 0 К -нен жоғары температураларда барлық денелерге тән. Жылулық сәулелену - тепе-теңдік құбылыс – дене бірлік уақытта қанша әнергия жұтса, сонша әнергияны жарық ретінде шығарады.
Дененің әнергетикалық жарқырауының спектрлік тығыздығы
- жылулық сәулеленудің сандық сипаттамасы болып табылады. – дене бетінің бірлік ауданынан шығатын жарықтың қуаты.
(
- 1 секундта дененің ауданы 1м2 бетінен
және
жиіліктер интервалында шығарылатын электромагниттік сәулеленудің әнергиясы). Оның өлшем бірлігі – Джоуль бөлінеген метрдің шаршысы (Дж/м2). Сәуле шығару қабілетін толқын ұзындығының функциясы ретінде сипаттауға болады:
, онда
.
бойынша интегралдық әнергетикалық жарқырау:

Денелердің жарық жұту қабілеті
- спектрлік жұту қабілетімен сипатталады. Бұл шама әнергияның бірлік уақытта дененің бірлік ауданында жиіліктері
және
интервалында жататын электромагниттік толқындардың
әнергияларының қандай бөлігі денемен жұтылатынын сипаттайды.
Абсолют қара дене
Кез келген температурада өзіне түскен барлық сәулелерді талғамай жұтатын дене абсолют қара дене деп аталады. Қара дененің барлық жиілік және температура үшін спектрлік жұтқыштық қабілеті бірге тең:
. Абсолют қара денелер табиғатта жоқ, алайда қара күйе сияқты заттар жиіліктің белгілі бір интервалында абсолют қара денеге жақын келеді. Кішкене О тесігі бар іші толығымен қап-қара қуыс дене қара дененің идеал моделі болып табылады. Мұндай қуысқа кірген сәуле толығымен жұтылады.
Қара дене түсінігімен қатар сұр дене деген түсінік бар – жарық жұтқыштық қабілеті бірден аз, бірақ барлық жиілікке бірдей және температураға, материалға және дененің бетінің күйіне тәуелді денелер:

Кирхгоф заңы
Кирхгоф заңы денелердің сәуле шығарғыштық және жұтқыштық қабілеттері арасындағы байланысты анықтайды.
Дененің сәуле шығарғыштық қабілетінің оның сәуле жұтқыштық қабілетіне қатынасы дененің табиғатына байланысты емес; барлық денелерге бірдей, сәуле толқын ұзындығымен температураға тәуелді
- әмбебап функция болады, ол абсолют қара дененің сәуле шығарғыштық қабілетіне тең.
Қара дене үшін
, сол себепті
Кирхгофтың әмбебап функциясы қара дененің әнергетикалық жарқырауының спектрлік тығыздығы (сәуле шығарғыштық қабілеті) болып табылады. Жылулық сәулелену теориясында
- ң жиілікке және температурағаайқын тәуелділігін табу өте маңызды есеп болып табылады.
Стефан – Больцман заңы
Сұр дененің әнергетикалық жарқырауы (
бойынша интегралдық):

Мұндағы,

- қара дененің әнергетикалық жарқырауы тек температураға тәуелді. Бұл тәуелділікті Стефан – Больцман заңы сипаттайды: қара дененің әнергетикалық жарқырауы термодинамикалық температураның төртінші дәрежесіне пропорционал:

(сәйкесінше сұр дене үшін
), мұндағы
- Стефан – Больцман тұрақтысы.
Виннің ығысу заңы
Стефан –Больцман заңы қара дененің сәуле шығаруының спектрлік құрылымы жөнінде ешқандай мэлімет бермейді. Қара дененің сәулелену спектрінде максимумның орналасуы Винның ығысу заңымен сипатталады:
Абсолют қара дененің сәуле шығарғыштық қабілетінің максимал мәніне сәйкес келетін толқын ұзындығы λmax оның термодинамикалық температурасына кері пропорционал:

Мұндағы b=2,9·10-3м·К – Вин тұрақтысы.
Рэлей-Джинс және Вин формулалары
Рэлей және Джинс жылулық сәуле шығаруға классикалық әнергияларды еркіндік дәрежелері бойынша тең үлестіру заңын қолдана отырып,
қара дененің сәуле шығарғыштық қабілетінің жарық жиілігіне тәуелділігін сипаттайтын өрнек алды:

Мұндағы
- меншікті жиілігі
осциллятордың орташа әнергиясы.
Алайда осы өрнектен Стефан – Больцман заңын алу ұмтылысы физикалық мәні жоқ нәтижелерге алып келеді – ультракүлгін аймақта
өте үлкен мәнге жетіп, шексіз өсе берді. Бұл нәтиже «ультракүлгіндік апат» деген атқа ие болды:

Рэлей – Джинс формуласы тек төмен жиіліктер аймағында және жоғары температураларда ғана тәжірибемен сәйкес болды. Жоғары жиіліктер аймағында Виннің формуласы (Виннің сәуле шығару заңы) тәжірибені жақсы сипаттады:

Мұндағы С1 және С2 – тұрақтылар.
Планктың кванттық гипотезасы
Макс Планк классикалық гармониялық осциллятордың теориясын атомдық осцилляторларға қолдануға жарамсыз деп жорыды; атомдық осцилляторлар әнергияны үздіксіз шығармайды, бірақ белгілі бір мөлшерде порциялармен – кванттармен шығарады деп жорамал жасады.
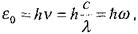
Кванттың әнергиясы:

мұндағы
- Планк тұрактысы.
Механикада өлшемділігі «әнергия·уақыт» болатын шама бар. Ол шама әсер деп аталады. Сондықтан, кейде Планк тұрақтысын әсер кванты деп атайды. һ-ң өлшемділігі импульс моментімен сәйкес келеді.
Әнергия порциямен шығарылатындықтан, осциллятордың әнергиясы тек белгілі бір дискретті мәндерді ғана қабылдайды:

- осциллятор әнергиясының орташа мәнін кТ-ға тең деп алуға болмайды. Планк Больцманның бөлшектерді әнергия бойынша үлестіруін пайдаланды. Сонда осциллятордың
жиілікте тербелу
әнергиясының
ықтималдылығы (1) өрнекте анықталған мәнге ие, мұндағы Ni– әнергиясы
осциллятордың саны, N–барлық осцилляторлардың саны. Бұл формуладан осцилляторлардың орташа әнергиясы үшін өрнек алуға болады (2).
Сонда, Кирхгофтың
әмбебап функциясы (3) формула арқылы анықталады – Планк формуласы - немесе (4) формула ретінде алуға болады. Мұнда
толқын ұзындығының функциясы (
ескере отырып,
).
Төменгі жиіліктер аймағында
,

Планк формуласы Рэлей Джинс формуласына өтеді.
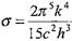
Стефан – Больцман заңы
Планк формуласынан жиілік бойынша интеграл алғанда шығады.
Бұл жағдайда Стефан – Больцман тұрақтысы
тең.
Виннің ығысу заңы Планк формуласын әктремумдерге талдау жасағанда шығады: 
Демек, Планк формуласы жылулық сәуле шығарудың барлық заңдарын жалпылайды және жылулық сәуле шығару теориясының негізгі есебінің толық шешімі болып табылады.
Фотоэффект құбылысы
Фотоэлектрлік эффект (фотоэффект) деп түскен жарық әсерінен заттан электрондардың бөлініп шығу құбылысын айтады.
Жарық әсерінен заттан электрондардың босап шығуы сыртқы фотоэффект (фотоэлектрондық эммисия) құбылысы деп аталады.
Сырттқы фотоэффектті зерттеуге арналған схема. Вакуумды түтік ішінде екі электрод (зерттелетін металлдан жасалған катод К және анод А) батареяға қосылған. Мұнда кернеудің мәні мен қатар таңбасында өзгертуге болады.
Катодқа монохромат жарық түскенде пайда болатын ток тізбекке қосылған миллиамперметр арқылы өлшенеді.Тәжірибиеге қарағанда А мен К пластинкалары потенциалдар айырмасы нольге тең болған жағдайда да тізбекте фототок болады. Демек жарықтың ықпалынан К пластинка бетінен ұшып шыққан электрондардың белгілі кинетикалық энергиясы болады.
Жарық әсерінен катодтан шыққан электрондар ағынынан пайда болған I фототоктың анад пен катода арасындағы U кернеуге тәуелділігі фотоэффекттің вольт-амперлік сипаттамасы деп аталады.
Үдетуші потенциалдар айырмасы U артқанда фототок күші де артады,үдетуші потенциал белгілі бір шамаға жеткен соң I фототок күші артпайды фототок күші қанығу мәніне жетеді, яғни жарық әсерінен К пластинкадан 1 с-та бөлініп шығатын электрондар А пластинкасына түгел жетеді.
Токтың максимал мәні Imax – қанығу фототогы – катодтан шыққан барлық электрондар түгелімен анодқа жеткен кездегі U кернеудің мәнімен анықталады: Iқанығу=en, мұндағы n – 1 секунд ішінде катодтан шыққан электрондар саны. U=0 фототок жоғалмайды, өйткені фотоэлектрондардың катодтан шығар кезінде бастапқы жылдамдықтары болады. Фототок нольге теңелген кездегі кернеу бөгеуші кернеу Uб деп аталады. U= Uб болғанда,бірде-бір,тіпті шығар кезде бастапқы жылдамдығы максимал болған электрондар бөгеуші өрістен өте алмай анодқа жетпейді:
, 
фотоэлектрондардың кинетикалық энергиясы, демек оның бастапқы жылдамдығы, әсер етуші жарықтың тербеліс жиілігіне тәуелді. Басқаша айтқанда фотокатодқа түскен жарық тербеліс жиілігі неғұрлым көп болса, фотоэлектрондардың жылдамдығы соғұрлым көп болады.
Дата добавления: 2015-08-08; просмотров: 11329;
