Горение гетерогенных топлив
3.4.1. Горение жидкого горючего в среде газообразного окислителя
Очень часто в тепловых двигателях и других преобразователях энергии в качестве окислителя используется кислород воздуха, а в качестве горючего углеводородные соединения в жидкой фазе.
Механизм сгорания жидкого горючего связан с рядом теплофизических процессов, это:
- подача в камеру сгорания горючего при помощи форсунок, с целью распыления компонента на отдельные капельки;
- подогрев и испарение капелек горючего;
- перемещение паров горючего и окислителя до такого состава, когда смесь в месте смешения становится горючей;
- воспламенение горючей смеси одним из рассмотренных выше способов;
- непосредственное химическое взаимодействие горючего и окислителя с последующим установлением энергетического и химического равновесия вновь образовавшихся молекул.
Процесс распыла можно разделить на такие этапы: ускорение и придание определенной направленности потоку жидкости на рабочих элементах форсунки; образование струи жидкости, вытекающей из форсунки, и придание ей той или иной формы под действием центробежных сил инерции и трения; дробление струи жидкости на отдельные капли, возможно, меньшего размера. Распыление или дробление жидкости на отдельные капли происходит в основном за счет турбулентных пульсаций частиц жидкости в потоке, действия сил трения между струей жидкости и средой в камере, отрывающих с поверхности струи частицы жидкости, наличия возмущений в струе, вызванных шероховатостью входного канала форсунки. Силам, разрушающим струю, противостоят силы сцепления между молекулами и силы поверхностного натяжения. Задачей впрыска и распыла является раздробление топлива на мельчайшие капельки с целью получения возможно большей поверхности испарения. Качество распыла определяется, прежде всего, тонкостью и однородностью распыла, равномерностью распределения капелек жидкости в конусе распыла. Тонкость характеризуется величиной среднего диаметра отдельных капель.
Подогрев и испарение раздробленного горючего необходимы для получения паровой фазы. На месте испарившихся капель горючего образуется множество облачков пара, в которых затем (после их перемешивания) происходит химическая реакция. Подогрев и испарение капель происходит практически одновременно: с поверхности капли уже испаряются, а внутри они еще продолжают подогреваться до температуры испарения. Процесс подогрева и испарения капли жидкости осуществляется примерно по такой схеме. Распыленная жидкость, поступая в камеру горения, непрерывно перемешивается с раскаленными газами, воспринимает от них тепло. Первоначально поток капелек имеет значительную скорость и очень низкую температуру относительно газовой среды в камере. Конвективный и лучистый тепловой обмен между газовой средой и каплями жидкости будет весьма интенсивным. За счет этого капли начнут быстро подогреваться и испаряться. Возникает поток молекул пара в направлении “поверхность капли – горючая газовая среда”, одновременно капля затормаживается газовой средой и теряет свою скорость. В результате этого конвективный теплообмен уменьшится, подвод тепла от газов к капле будет происходить в основном путем теплового излучения. По мере уменьшения диаметра капли испарение становится более интенсивным, и роль конвективного теплообмена вновь возрастает. Связано это с тем, что молекула жидкости, находящаяся на выпуклой поверхности, испытывает притяжение тем меньшего числа других молекул, чем меньше радиус кривизны поверхности. Диаметр капель вообще очень мал; когда он соизмерим с длиной свободного пробега молекул, на поверхности капель отсутствует пограничный слой, являющийся наибольшим препятствием для конвективного теплообмена.
Образование смеси компонентов топлива вполне определенного концентрационного состава, обеспечивающего наиболее полное и быстрое сгорание топлива, происходит в результате механического перемешивания и процессов диффузии.
Физические изменения, происходящие с горючим в предпламенный период, превращают его в огромное количество испаряющихся капелек. Вследствие этого горение гетерогенного топлива можно считать процессом одновременного сгорания большой массы капелек горючего в среде окислителя. Выявление закономерностей горения отдельной капли позволяет ус
тановить некоторые зависимости, характеризующие скорость горения жидкого горючего в целом.
Рассмотрим горение отдельной капли жидкого горючего. Попав в среду с высокой температурой, капля горючего 1 (рис. 3.5) нагревается и начинает испаряться. В слое 2 находятся только пары горючего. Слой 3 представляет собой смесь паров горючего и окислителя, но в этом слое окислителя еще очень мало, и только на его внешней границе состав смеси соответствует верхнему концентрационному пределу воспламенения.
Слой 4 по составу смеси паров горючего
и окислителя таков, что в нем возможно
распространение пламени. На границе
слоев 4 и 5 состав смеси соответствует
нижнему концентрационному пределу воспламенения. В слое 5 находятся практически лишь пары окислителя, и горения здесь не может быть. При определенных условиях воспламенения смеси происходит на внешней границе слоя 4, и фронт пламени перемещается к слою 3. По мере испарения горючего с поверхности капли и перемешивания его с парами окислителя размеры капли уменьшаются.
Установившийся режим горения капли характеризуется двумя взаимосвязанными процессами: испарением горючего за счет тепла, подводимого из зоны горения, и горением смеси горючего и окислителя. Очевидно, что скорость горения будет определяться интенсивностью испарения жидкости, поскольку собственно химические реакции в рассматриваемых условиях будут протекать очень быстро. Тогда время сгорания капли можно считать в первом приближении равным времени ее испарения.
Скорость испарения жидкости определяется интенсивностью теплоподвода от продуктов горения к капле и теплофизическими свойствами самой жидкости.
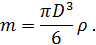
Баланс энергии в форме тепла для капли с переменной массой запишется в вид 
, (3.5)
где D –диаметр капли;
– температура в зоне горения;
– температура испарения жидкости;
m – масса капли;
– коэффициент теплоотдачи.
Величина коэффициента теплоотдачи определяется по эмпирическим уравнениям: для Re = 0 … 100 – по уравнению Nu = 2 + 0,16 Re 2/3,
для Re = 100 …1000 – по уравнению Nu = 0,56 Re 0,5.
Изменение энтальпии включает теплоту на нагрев жидкости от Тж
до Тисп , испарение ее и нагрев пара до Тг :
сж ( Тисп
Тж) + r + cp
где r - теплота испарения.
Выразим массу капли через ее объем и плотность: 

Продифференцировав это выражение, получим
.
Перепишем выражение (3.5) в виде
После сокращения будем иметь:
.
Принимая значение
постоянным, после интегрирования от начального диаметра D0 до текущего, получим:
Обозначим:
тогда будем иметь:
(3.6)
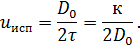
Выражение (3.6) получено Б. Срезневским, здесь к - константа испарения с единицей измерения мм2/с (в реальных процессах к = 0,5…1,5 мм2/с). Уравнение (3.6) устанавливает линейную зависимость текущего диаметра капли от времени.
Из выражения (3.6) можно определить время, потребное для полного испарения капли (до D = 0):

Например, при к = 1 мм2/с капля диаметром 0,5 мм испарится за 0,25 с.
Скорость испарения

В реальных случаях одновременно испаряется и сгорает множество капель различных размеров. Испарение совокупности капель отличается от испарения единичной капли, которая характеризуется некоторой экспоненциальной функцией, расчета по ней показывают, что в первый период испарения капель различных размеров количество испарившейся жидкости будет больше того количества, которое испарилось бы в случае капель одного размера. В конечном же итоге испарение капель разного размера затягивается.
Весь объем, где происходит сгорание жидкого горючего можно условно разделить на несколько зон. Непосредственно у области впрыска находится зона подогрева, в которой успевают испариться наиболее мелкие капли горючего. Образующаяся в результате этого смесь сгорает в следующей зоне по законам кинетического горения. Часть выделяющейся теплоты расходуется на нагрев и испарение капель большого размера. Осуществляется их воспламенение. Далее следует зона диффузионного горения, в которой сгорает оставшаяся часть горючего, завершается процесс тепловыделения и развивается наиболее высокая температура.
Из зоны диффузионного горения передается поток тепла в зону кинетического горения, приводящий к увеличению скорости распространения пламени и к расширению концентрационных пределов воспламенения по сравнению с однородными газовыми смесями. Связано это с тем, что средний состав смеси капель, окруженных парами и продуктами сгорания, отличается от состава чисто паровой фазы. В то же время состав топлива в первой фазе будет находиться в пределах устойчивого воспламенения (смесь паров сможет хорошо гореть). За счет выделяющегося при этом тепла будет подготавливаться к горению оставшаяся жидкая фаза.
Такая схема горения смесей со значительной неоднородностью подтверждается экспериментально на примерах горения топлив с большим избытком одного из компонентов.
3.4.2. Горение твердого горючего в среде газообразного окислителя
Из гетерогенных топлив очень часто используются твердое горючее (уголь, дрова, торф и др.) и газообразный окислитель (кислород воздуха).
Основы современной теории горения твердых горючих разработаны Л.Б. Зельдовичем. Модель горения построена в предположении термического разложения горючего (за счет подвода теплоты от высокотемпературной газовой зоны) и последующей диффузией горючих элементов с его поверхности. Предполагается протекание всех реакций в достаточно тонком слое диффузионного пламени в газовой фазе.
Выделим из твердого горючего элемент цилиндрической формы, горящий с торца, (рис. 3.6). Вдоль оси цилиндра направим координату «х», а по радиусу – «Т». Весь процесс превращения исходного компонентов в конечные продукты сгорания является многозонным. В каждой зоне протекают физико-химические процессы, определяющие состояние вещества в фиксированный момент времени.
Зона 1 – исходное состояние твердого горючего.
2 – зона прогрева, условно заканчивающаяся при Тпрог., соответствую-
щей температуре начала
термического разложения твердого горючего.
3 – пористый газопроницаемый обугливающийся слой. В этой зоне небольшая доля газообразных продуктов пиролиза, состоящих из горючих и окислительных элементов, сгорает в коксовом слое в режиме тления.
4 – подготовительная зона. Здесь перемешиваются компоненты горючего и окислителя, образуются активизированные комплексы молекул и начинаются химические реакции.
5 – зона пламени. В этой зоне концентрации горючих и окислительных элементов достигают оптимальной величины, а реакции – химического равновесия. Устанавливается максимальное значение температуры продуктов сгорания.
6 – зона продуктов сгорания.
Каждая зона характеризуется значением температурного поля, концентрацией веществ и их агрегатным состоянием.
На протяженность зон оказывают сильное влияние химический состав, теплофизические свойства, форма и размер элемента горючего; состав окислителя и его количество; величина теплового потока от продуктов сгорания. От этих же факторов зависит и скорость горения.
Под скоростью горения твердого горючего понимают скорость перемещения горящего слоя по нормали к поверхности.
Скорость горения обозначают через uн и измеряют в мм/с.
Дата добавления: 2015-08-04; просмотров: 1251;
