Фармакокинетика. А. Абсорбция.В клинической анестезиологии барбитураты чаще всего вводят через катетер в вену для индукции анестезии у взрослых и детей
А. Абсорбция.В клинической анестезиологии барбитураты чаще всего вводят через катетер в вену для индукции анестезии у взрослых и детей. Исключения — ректальное введение тиопентала или метогекситала для индукции анестезии у детей, а также в/м применение пентобарбитала или секобарбитала у больных всех возрастных групп.

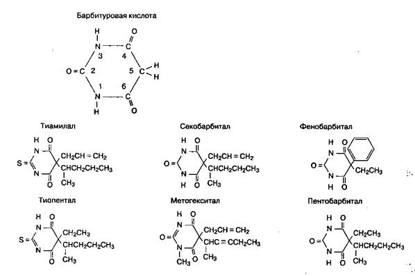
Рис. 8-3.Все барбитураты являются производными барбитуровой кислоты. Химически барбитураты отличаются радикалами в позициях C2, C5 и N1
Б. Распределение.Длительность действия препаратов, хорошо растворимых в жирах (тиопентала, тиамилала и метогекситала), определяется перераспределением, а не метаболизмом или элиминацией. Например, несмотря на большую степень связанности препарата с белками (80 %), поглощение тиопентала головным мозгом благодаря высокой жирорастворимости и большой неионизированной фракции (60 %) достигает максимума уже через 30 с после введения. Если объем центральной камеры уменьшен (например, при ги-поволемическом шоке) или снижена концентрация альбумина в сыворотке (например, при тяжелом заболевании печени), или увеличена неионизированная фракция (например, при ацидозе), то при той же дозе концентрация препарата в сердце и головном мозге увеличится. Перераспределение препарата в периферическую камеру (главным образом в мышечную группу) приводит к уменьшению концентрации препарата, которая через 20-30 мин после введения составляет 10 % от пиковой (рис. 8-4). Обрисованный фармакокинетический профиль соответствует клиническому опыту — утрата сознания наступает через 30 с и длится 20 мин. Доза тиопентала для индукции зависит от массы тела и возраста. В преклонном возрасте дозу следует снизить, что является отражением более высокой пиковой концентрации вследствие замедленного распределения. В противоположность быстрому начальному распределению, где период полусуществования составляет несколько минут, период полусуществования тиопентала в фазе элиминации длится от 3 до 12 ч. Распределение тиамилала и метогекситала протекает аналогично распределению тиопентала, в то время как у барбитуратов с меньшей растворимостью в жирах период полусуществования и продолжительность действия намного больше. Повторное введение барбитуратов приводит к насыщению периферических камер, перераспределения не возникает и продолжительность действия становится более зависимой от элиминации.

Рис. 8-4. Распределение тиопентала из плазмы в группу хорошо васкуляризованных тканей (ГХВТ), в мышечную группу (МГ) и, наконец, в жировую группу (ЖГ). (Из: Price H. L. et al. The uptake of thiopental by body tissues and its relation to the duration of narcosis. Clin. Pharmacol. Ther., 1960; 1: 16. Воспроизведено с изменениями, с разрешения.)
В. Биотрансформация.Биотрансформация барбитуратов обеспечивается окислением в печени до неактивных водорастворимых метаболитов. Вследствие высокой печеночной экстракции печеночный клиренс метогекситала в 3-4 раза превышает таковой для тиопентала и тиамилала. Хотя перераспределение обеспечивает пробуждение через одинаковый промежуток после однократного введения любого из этих трех жирорастворимых барбитуратов, полное восстановление психомоторных функций быстрее происходит при использовании метогекситала, метаболизм которого протекает интенсивнее.
Г. Экскреция.Значительная степень связывания с белками затрудняет проникновение барбитуратов через гломерулярный фильтр, тогда как высокая жирорастворимость увеличивает реаб-сорбцию в почечных канальцах. За исключением препаратов, меньше связанных с белками и слабее растворимых в жирах (например, фенобарбитал), почки выделяют только водорастворимые конечные продукты печеночного метаболизма. Метогек-ситал выводится с фекалиями.
Дата добавления: 2015-08-04; просмотров: 777;
