Собственные и примесные полупроводники
Собственные проводники – полупроводники не содержащие примесей.
В процессе облучения или других внешних воздействий на полупроводник происходит возбуждение атомов, при этом в валентной зоне остаётся свободный энергетический уровень, который называется дыркой. В этом случае говорят о генерации пары электрон – дырка.
Особенности собственных полупроводников:
1. При температуре равной относительному нулю все атомы полупроводника находятся в невозбужденном состоянии и концентрация носителей зарядов равна нулю.
2. При повышении температуры концентрация увеличивается, но концентрация электронов равна концентрации дырок.
В процессе создания полупроводников полупроводники возникающие с избыточной концентрацией электронов – (n – тип), а с избыточной дырочной концентрацией – (р – тип). Это достигается путём добавления примесей.
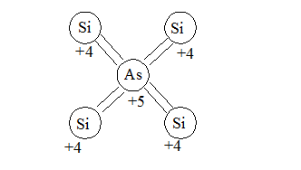
Полупроводник n – типа образуется при добавлении донорной примеси.

|
Валентные элементы атомов мышьяка образуют ковалентную связь с валентными элементами атомов кремния при этом остаётся один свободный электрон. Этот электрон находится вне валентной зоны и легко может перейти а зону проводимости.
Полупроводник p – типа образуется путём добавления акцепторной примеси. Атом гелия имеет три валентных элемента. Они образуют ковалентную связь с тремя атомами кремния, при этом остаётся свободным один энергетический уровень в валентной зоне.

|
Электронно-дырочный переход – это переход образуемый при соединении двух полупроводников разного типа проводимости.
|

|
Под действием градиента концентрации электронов из n – области переходят в р – область. В результате в р – области на границе р – n перехода возникает объемный отрицательный заряд, а в n – области – объёмный положительный заряд. Взаимодействие этих зарядов создаёт диффузионное электрическое поле. Разность потенциалов возникающих на границе называется - контактной разностью потенциалов .

|
Наличие диффузии электрического поля приводит к искривлению энергетических диаграмм n – p – перехода. Возникает потенциальный барьер
для основных носителей зарядов. Наступает состояние равновесия.
Если мы приложим к n – р – переходу прямое напряжение (“+”к р-обл. и “–“ к n-обл.), то внешнее электрическое поле будет направленно навстречу диффузионному. Это приведёт к уменьшению потенциального барьера. В результате основные носители зарядов смогут передвигаться через n – р – переход. В этом случае говорят об инжекции основных носителей зарядов.
Приложим обратное напряжение (“+” к n – обл.). В этом случае внешнее электрическое поле совпадает по направлению с диффузионным. При приложении обратного напряжения потенциальный барьер для основных носителей заряда увеличивается. Преодолеть его могут только электроны с большой энергией. В любой точке полупроводника, кроме примесной концентрации носителей заряда, существует и собственная концентрация носителей заряда. Для них обратное напряжение является прямым. В этом случае говорят об экстракции электронов неосновных носителей зарядов.
Для улучшения выпрямительных свойств n – р – перехода соединяемые области выполняют с разной концентрацией носителей зарядов.
|
Область, имеющая более высокую концентрацию зарядов называют эмиттером, другую область называют базой.

|
Основное отличие идеального n – р – перехода от реального наличие пробоев в обратной ветви ВАХ и небольшое падение напряжения на n – р – переходе при прямом включении.
1.3 Типы пробоев n – р – перехода
1. Лавинный пробой, возникает при достаточно большом обратном напряжении, больше критического для данного материала. При этом напряжённость электрона на длине свободного пробега приобретает энергию достаточную для ионизации узлов кристаллической решётки. В результате возникает лавинное размножение носителей зарядов.
2. Туннельный пробой. При приложении достаточно большого обратного напряжения энергетические зоны перехода искривляются на столько, что энергетический уровень валентной зоны становится выше уровня проводимости. В результате возможен переход носителей заряда из одной области в другую, практически без потребления энергии.
|
|
|
Туннельный и лавинные пробои при ограничении тока не являются необратимыми, т.е не приводят к разрушению n – р – перехода.
3. Тепловой пробой – возникает при обратном включении n – р – перехода при нарушении теплового баланса, т.е в том случае, когда приток тепла за счёт прохождения тока превышает его отвод, при этом повышается температура, следовательно увеличивается обратный ток, что приводит также к повышению температуры.
Дата добавления: 2015-08-04; просмотров: 1088;
