Глава 3 БАЛАНС ЭНЕРГИИ И МОЩНОСТИ ЭНЕРГОСИСТЕМЫ
Общие положения
Энергетический баланс охватывает все элементы энергетического хозяйства от источника получения первичных энергетических ресурсов до полезного использования всех видов энергии потребителями.
Термин «энергетический баланс» означает полное количественное соответствие (равенство) на данный момент времени между расходом и приходом топлива и энергии в энергетическом хозяйстве.
В соответствии с этим энергетический баланс содержит две части: расходную и приходную. Расходная часть определяет потребность в электроэнергии, теплоте, топливе и других энергоносителях, приходная — отображает уровни добычи и производства топливно-энергетических ресурсов, необходимых для удовлетворения этой потребности. Наиболее полную характеристику энергетического хозяйства дает общий (единый) энергетический ба-
ланс, который может быть разделен на частные балансы: топлива, теплоты и электрической энергии.
Электроэнергетический баланс представляет собой баланс потребности народного хозяйства в электроэнергии и производства ее различными типами электростанций. Баланс электроэнергии неразрывно связан с балансом электрической мощности — балансом максимальной нагрузки потребителей и генерирующих мощностей с учетом рациональной величины резерва.
По периодам времени различают следующие балансы: текущие (плановые и отчетные) — на один год и перспективные — на несколько лет.
Плановый баланс производства и поставок электрической энергии и мощности разрабатывается РАО «ЕЭС России» с участием АО «ЦДУ ЕЭС России» на основании:
предложений поставщиков ФОРЭМ* (ТЭС, ГЭС, АЭС и АО-Энерго) по поставке электрической энергии и мощности и ориентировочных расчетов тарифов на электрическую (тепловую) энергию и мощность;
предложений покупателей ФОРЭМ по балансу электрической энергии и мощности (для потребителей — субъектов ФОРЭМ предложений по объему покупки электрической энергии и мощности).
При формировании баланса электрической энергии и мощности учитываются:
потребности отраслей промышленности и населения в электрической энергии и мощности;
платежеспособность потребителей;
объемы и структура производства электрической энергии по типам генерирующих источников, электрические мощности электростанций и энергосистем, необходимые для покрытия нагрузок потребителей;
перетоки электрической энергии и мощности между регионами, странами СНГ, Балтии и Закавказья, а также экспортные (импортные) поставки.
3.2. Баланс электроэнергии
| *ФОРЭМ — Федеральный (общероссийский) оптовый рынок электрической энергии (мощности), который является сферой купли-продажи электроэнергии (мощности), осуществляемой его субъектами в пределах ЕЭС России. |
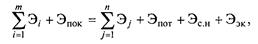
В общем виде баланс электроэнергии для энергосистемы (энергообъединения) может быть представлен следующим образом:

где Э, — выработка электроэнергии, производимой /-м типом электростанции; Эпок — покупная электроэнергия; Эу — полезное потребление электроэнергииу-м потребителем; Эпот — энергия, расходуемая на покрытие потерь; Эсн — энергия, расходуемая на покрытие собственных нужд электростанций и передающих устройств; Ээк — электроэнергия, продаваемая соседним регионам или идущая на экспорт.
Приходная часть баланса.Суммарная электроэнергия, вырабатываемая электростанциями данного энергообъединения и получаемая от других энергосистем (Эпок), составляет приходную часть баланса электроэнергии.
Электроэнергия вырабатывается на тепловых, гидро- и атомных станциях.
Расходная часть баланса.Составление расходной части электроэнергетических балансов — основа для развития энергосистем, энергообъединений и Единой энергетической системы страны. Задача проектирования развития электроэнергетической системы (энергообъединения, Единой энергосистемы) состоит в том, чтобы определить объемы развития электропотребления по группам потребителей и на этой основе найти рациональные пути увеличения мощностей и выработки электростанций, или в составлении перспективного баланса энергообъединения.
Потребителями электроэнергии являются:
промышленные предприятия (Эпром пр);
железнодорожный транспорт (Этр);
жилищно-коммунальное хозяйство (Эжк);
сельское хозяйство (Эсх);
непромышленные предприятия.
Для расчета электропотребления используется метод прямого учета, основанный на применении укрупненных удельных или сообщенных показателей расхода электроэнергии и плановых или прогнозных данных по объемам производства отраслей народного хозяйства.
Потребность в электроэнергии для действующих (нереконст-руируемых и нерасширяемых) предприятий определяется на основании отчетного электропотребления с учетом тенденции прогнозов его изменения в перспективе. Для реконструируемых и вновь сооружаемых предприятий — по данным специализированных проектных институтов.
|
| где Эпром пр — расход электроэнергии на единицу продукции; Vnpi — планируемый годовой объем продукции i-го промышленного производства. |
Для промышленных предприятий потребность в электроэнергии вычисляется по следующей формуле:
|
| данного энергообъединения в момент времени |
Удельный расход электроэнергии, как правило, устанавливается на единицу натуральной готовой продукции (например, 1 кВт-ч на 1 т проката). Для производств, характеризующихся большой номенклатурой изделий, устанавливают общезаводской удельный расход с отнесением его в промышленности к 1 млн р. валовой продукции предприятия, а в строительстве — к 1 млн р. объема выполняемых строительно-монтажных работ.
Потребление энергии магистральным железнодорожным транспортом зависит от протяженности электрифицированных дорог и рассчитывается на основе удельного электропотребления.
Для ориентировочной оценки перспективного потребления электроэнергии на производственные нужды сельскохозяйственных потребителей используется обобщенный показатель удельного электропотребления Эудсх на одного сельского жителя, кВт • ч:

где Ж,. х — число жителей, занятых в сельскохозяйственном производстве.
Расход электроэнергии на нужды быта и сферы обслуживания оценивается на основании данных о числе жителей города или сельского населенного пункта Ж и удельных норм расхода электроэнергии Эж к и рассчитывается по формуле

Численные значения удельных норм расхода электроэнергии в жилом и общественном секторе зависят от экономического района и должны корректироваться с учетом местных условий и фактически достигнутого в данном городе удельного электропотребления.
Расход электроэнергии на собственные производственные нужды электростанций Эсн в значительной мере зависит от выработки электрической и тепловой энергии на электростанциях и колеблется от 0,3 до 10 % в зависимости от типа электростанции, ее мощности и вида сжигаемого топлива.
Технологический расход электроэнергии на передачу и распределение (потери в сетях) включает в себя омические потери электрической энергии в линиях электропередачи (ЛЭП) и распределительных линиях разных напряжений, а также элементах подстанций. Величина потерь в электросетях Эпот может быть определена как разница между всей электрической энергией, поступившей в сеть энергообъединения, Эс и общим полезным отпуском из этих сетей Эпол:
Потери в электросетях составляют, %:

Дата добавления: 2015-08-01; просмотров: 1392;
