Значение коэффициента теплопроводности для некоторых материалов
| Медь | Лед (0° С) | 2,23 | Асбест | 0,4 - 0,8 | |
| Алюминий | Бетон | 0,7 - 0,2 | Дерево | 0,1 - 0,2 | |
| Сталь | Кирпич | 0,7 | Воздух | 0,034 |
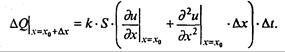
Имеем, ограничиваясь первым порядком приращения Δx,

в силу чего

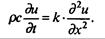
Если через сечения х = х0 и х = x0 + Δx за время Δt прошло разное количество тепла, то та его часть, которая пошла на нагревание (или, в зависимости от знака, на охлаждение) этого участка стержня, есть

Пусть за то же время температура участка изменилась на Δu; как известно, это связано с изменением ΔQ соотношением ΔQ = mcΔu, где т - масса, с - удельная теплоемкость. Приравняем два выражения для ΔQ:

Поскольку массу можно представить как т = ρ∙S∙Δx(ρ - плотность вещества), то, поделив обе части уравнения на Δt и перейдя к пределу при Δt → 0, получим
(7.48)
Это - основное уравнение теплопроводности для однородного стержня.Как следует из процедуры вывода, это уравнение локально, т.е.в данный момент времени и в данной точке выражает закон сохранения энергии.
В уравнение (7.48) входят три постоянные, характеризующие вещество. Удобно объединить их в одну, переписав уравнение в виде
(7.49)
где
-так называемый, коэффициент температуропроводности. Обозначение а2 в (7.49) удобно, таккак фиксирует знак этого коэффициента - он всегда положителен.
Уравнение (7.49) - одно из самых простых дифференциальных уравнений в частных производных. Несмотря на его элементарный вид, решение такого уравнения даже в простейшей ситуации есть весьма сложная задача.
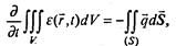
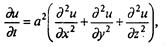
Уравнение теплопроводности в трехмерном случае. Описанный выше вывод уравнения теплопроводности достаточно элементарен. Рассмотрим вывод уравнения теплопроводности в трехмерном случае, используя более общий аппарат математического анализа.

Рис. 7.31. Иллюстрация к выводу уравнения теплопроводности в трехмерном случае
Рассмотрим некоторое тело (V), ограниченное поверхностью (S) (рис. 7.31). Закон сохранения энергии должен выполняться для любой части тела (V). По этому закону скорость изменения энергии в теле равна потокуэнергии через его границу. Имеем для энергии в объеме V

где ε (
, t) - объемная плотность энергии.
Поток энергии через границу тела S равен

- поток энергии. В этих формулах фигурируют тройной и поверхностный (первого рода) интегралы. Закон сохранения энергии (интегральный) примет вид

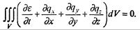
Применяя к правой части теорему Остроградского- Гаусса, получаем

Поскольку это соотношение должно выполняться для любой части тела (V), то необходимо и достаточно, чтобы в любой точке
и в любое мгновение t имело место равенство нулю подынтегрального выражения. Учитывая, что плотность энергии ε (
, t) пропорциональна температуре тела, а поток энергии пропорционален градиенту температуры, получаем (опуская детали) уравнение
(7.50)
где и = u (
, t) - температура в точке
в момент t. Уравнение (7.50) является трехмерным аналогом уравнения (7.49).
Далее будет продолжено лишь рассмотрение задачи о теплопроводности в стержне.
Начальные и краевые условия. Уравнения (7.49), (7.50) описывают процесс изменения температуры тела (перенос тепла) во времени и в пространстве. Ясно, что для отслеживания такого процесса надо знать распределение температуры в теле в некоторый начальный момент времени:
(7.51)
где f(x) - заданная функция. Кроме того, в тех местах, где возможен теплообмен с окружающей средой, надо знать условия этого теплообмена. Для стержня с теплоизолированной боковой поверхностью такими местами являются концы. Пусть длина стержня l; если один конец имеет координату x = 0, а. другой - x = l, то простейший вариант краевых условий - постоянная (но не обязательно одинаковая) температура на каждом конце стержня:

Нижеследующее утверждение физически очевидно, но его строгое математическое доказательство весьма непросто: дифференциальное уравнение (7.49) при начальном условии (7.51) и краевых условиях (7.52) имеет единственное решение.
Аналитические методы решения задачи одномерной теплопроводности существуют, но требуют значительной математической подготовки, к тому же решение обычно получается в виде ряда Фурье, и по его виду протекание процесса неочевидно. В двух- и трехмерном случаях аналитическое решение чаще всего получить не удается (по крайней мере, в практически полезном виде). Как и всюду в этой главе, ниже мы используем простейшие численные методы его решения. Вначале, однако, приведем графические результаты решений простейших задач (заимствованные из книги И.Г.Арамановича и В.И.Левина «Уравнения математической физики», Москва, 1969), способствующие пониманию рассматриваемой проблемы.
Пример 1. В конечном стержне (с теплоизолированной боковой поверхностью) оба торцевых сечения теплоизолированы, а начальная температура распределена по следующему закону:

Графики температуры построены в некоторые последовательные моменты времени, рис. 7.32. При любом t > 0 график симметричен относительно точки
.
Теплоизоляция концов стержня находит свое выражение в том, что кривые распределения температуры имеют горизонтальные касательные при x = 0 и х = l. Из физических соображений ясно, что при t → ∞ u →uo/2.

Рис. 7.32. Графическая иллюстрация решения задачи из примера 1
Пример 2. В конечном стержне (с теплоизолированной боковой поверхностью) оба торцевых сечения теплоизолированы, а начальная температура распределена по следующему закону:

Здесь u0 - максимальное значение температуры.
В точках
l и
l и =
u0 для любого t > 0, рис. 7.33. Кроме того, при каждом фиксированном t график и симметричен относительно прямой х =
l и каждая его половина симметрична относительно, соответственно, точек
и
.
Постоянная температура на торцах стержня - простейшее краевое условие. Возможна, однако, и ситуация, когда через торцы происходит теплообмен с окружающей средой. Этот теплообмен, как было установлено Ньютоном, удовлетворяет правилу: поток тепла через единицу поверхности в единицу времени пропорционален разности температур тела и окружающей среды: ΔQ = h (u -
) где и - температура конца стержня,
- температура окружающей среды, h - коэффициент теплообмена. По определению h > 0, т.е. ΔQ > 0 соответствует уходу тепла из стержня, ΔQ < 0 - приходу из окружающей среды.

Рис. 7.33. Графическая иллюстрация решения задачи из примера 2
Поскольку поток тепла во внешнюю среду пропорционален градиенту изменения температуры на торце стержня, закон сохранения энергии принимает вид
(7.53)
(знак «минус» во второй формуле связан с соотношением направления потока и оси х), k - коэффициент теплопроводности.
Ниже приведен пример эволюции температуры в стержне, у которого одинизконцов теплоизолирован, а на другом - поддерживается постоянная температура.
Пример 3. В стержне (с теплоизолированной боковой поверхностью) левый конец теплоизолирован:
, на правом - поддерживается постоянная температура
, а начальная температура постоянна по стержню:
, рис. 7.34.

Рис. 7.34. Графическая иллюстрация решения задачи из примера 3
Методы конечных разностей в моделировании свойств сплошных сред. Покажем на примере уравнения теплопроводности наиболее распространенные методы численного интегрирования уравнении в частных производных. В их основе лежит прием дискретизации.
Покроем отрезок [а, b] одномерной сеткой (т.е. разобьем на n равных частей, рис. 7.35) с узлами в точках

Искомую функцию и(х) будем аппроксимировать ее значениями в узлах сетки. Конечно, такое представление не дает полного описания, но в промежуточных точках, если сетка достаточно «мелкая», возможна интерполяция.

Рис. 7.35. Одномерная сетка
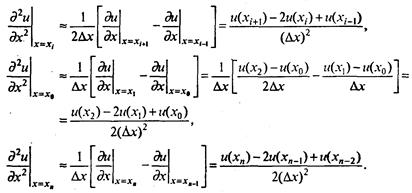
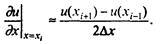
Остановимся на разностной аппроксимации производных. Производная дает информацию о локальном изменении функции в пространстве и, соответственно, связывает ее значения в соседних узлах сетки. Очевидная аппроксимация первой производной в точке х, имеет вид
(7.54)
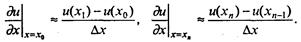
Для крайних точек, однако, такая аппроксимация невозможна, и простейший способ - ограничиться односторонними разностями:
(7.55)
Разумеется, (7.54) и (7.55) дают простейшие аппроксимации. Втягивая большое количество узлов, можно получить аппроксимации более высокого порядка, но часто бывает достаточно описанных выше. Аналогичная им аппроксимация вторых производных имеет вид
(7.56)
Что же касается методов интегрирования по времени, то это те же методы, что и для обыкновенных дифференциальных уравнений: Эйлера, Рунге - Кутта и т.д. Так как им тоже свойственна дискретизация, то возникает еще одна, временная сетка. При интегрировании уравнений по времени мы движемся по отдельным слоям, а в каждом слое определяем значение искомой функции на пространственной сетке. Если для интегрирования по времени используется метод Эйлера или другой одношаговый метод, то для работы со следующим временным слоем используются значения искомой функции из предыдущего слоя, для более сложных -из нескольких предыдущих слоев.
Далее будем индексы, соответствующие временной сетке, писать надстрочно (вверху), а пространственной - подстрочно (внизу). Таким образом, для одномерного уравнения запись u
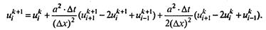
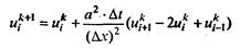
означает значение функции и(х, t) в j-м временном слое и в i-м узле пространственной сетки. Вернемся к одномерному уравнению теплопроводности (7.49) и сформулируем простейшую возможную схему его интегрирования - явную схему первого порядка - по времени, используя метод Эйлера, по пространству, используя простейшие аппроксимации (7.56). Шаг по времени обозначим Δt, по координате - Δx. Величина u
= u (tk+1, xi) находится из разностного уравнения
(7.57)
(k = 0, 1,...; i = 1, 2, ..., n - 1) для внутренних узлов пространственной сетки; в силу начального условия (7.51)

где функция f(x) задана и определяет значение температуры при t = 0. Что касается значений u
и и
(на концах стержня), то они зависят от типа краевого условия; для случая, когда концы стержня поддерживаютсяпри постоянной температуре, имеем и
=
, и
=
, где
,
- заданные числа.
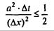
Теперь остановимся на вопросе об устойчивости и эффективности обсуждаемого метода. Устойчивость понимается в том же смысле, что и для обыкновенных дифференциальных уравнений, но шансов получить неустойчивый метод здесь гораздо больше. Существуют разностные схемы абсолютно неустойчивые, абсолютно устойчивые и условно устойчивые. Первые при любых, сколь угодно малых, шагах так «раскачивают» начальную погрешность, что приводят к результатам, не имеющим ничего общего с реальностью. Вторые ни при каких шагах не «раскачиваются», хотя, конечно, чем меньше шаг, тем меньше разница между приближенным и точным решениями. Третьи устойчивы при одних комбинациях значений Δx и Δt и неустойчивы при других. Исследование, которого мы проводить не будем, показывает, что разностная схема (7.57) устойчива при

и неустойчива в противном случае.
Эффективность схемы можно представить лишь при сопоставления с другой схемой того же назначения. Прежде всего, под эффективностью понимают возможность относительно быстро получить решение с достаточной точностью. Иногда оказывается не менее важным объем оперативной памяти под массивы, хранение которых неизбежно в данном методе. Схема (7.57) с точки зрения быстродействия малоэффективна, с точки зрения объема памяти - вполне удовлетворительна, так как, получив значения и
на некотором временном слое, не обязательно сохранять в ОЗУ значения на предыдущем слое (их можно вывести на диск или на печать).
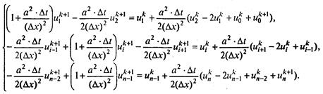
Получим более эффективный и устойчивый метод. Он аналогичен переходу от метода Эйлера к одному из вариантов метода Рунге - Кутта второго порядка (называемому иногда модифицированным методом Эйлера). Усредним пространственный член уравнения (7.49) по времени:
(7.58)
Это, безусловно, лучшая чем в (7.57) аппроксимация производной
. Исследование показывает, что схема (7.58) (называемая в литературе схемой Кранка-Николсона) абсолютно устойчива и более эффективна.
Расплатой за эффективность является то, что (7.58) - неявная схема, т.е. не формула для непосредственного расчета, как (7.57), а система линейных алгебраических уравнений для величин u
, u
, …, u
которую еще предстоит решать (поскольку неизвестные на (k + 1)-м временном слое величины u
входят и в левую, и в правую часть (7.58)). Поскольку неявные схемы, как правило, устойчивей, к ним прибегают часто.
Заметим, что (7.58) есть система специального вида - с трехдиагональной матрицей. В самом деле, если выписать первое, последнее и некоторое промежуточное ;'-е уравнения, перенося неизвестные в левые части, получим
(7.59)
Конечно, к таким системам можно применять стандартные методы решения систем линейных алгебраических уравнений, но для них существует и специализированный высокоэффективный метод, называемый «методом прогонки». За деталями отсылаем к учебникам по численным методам.
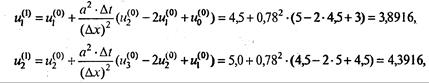
Пример. Рассмотрим динамику изменения температуры в стержне длиной 4 м с теплоизолированными концами, температура на которых поддерживается постоянной и равна 3°С с начальным условием f(x) = -0,5x2 + 2x + 3. Коэффициент а в уравнении (7.49) примем равным 0,78 (выбор этот достаточно произволен).
Для демонстрации работы явной схемы (7.57) произведем расчеты по этой формуле на первом шаге. Ограничимся пятью узлами на пространственной сетке. В начальный момент (t = 0) имеем u
= 3,0000, u
= 4,5000, и
= 5,0000, и
= 4,5000, и
= 3,0000.
Из краевых условий получаем и
= и
= 3,0000. Подставляя в формулу (7.57) соответствующие значения, получаем

аналогично получаем u
=3,8916.
Таблица 7.7
Результаты моделирования процесса теплопроводности, полученные по неявной схеме (7.59)
x
t
| |||||
| 3,000 | 4.500 | 5,000 | 4,500 | 3,000 | |
| 3,000 | 4,000 | 4,428 | 4,000 | 3,000 | |
| 3,000 | 3,688 | 3,975 | 3,688 | 3,000 | |
| 3,000 | 3,476 | 3,669 | 3,476 | 3,000 | |
| 3,000 | 3,325 | 3,461 | 3,325 | 3,000 | |
| 3,000 | 3,225 | 3,316 | 3,225 | 3,000 | |
| 3,000 | 3,154 | 3,218 | 3,154 | 3,000 | |
| 3,000 | 3,106 | 3,150 | 3,106 | 3,000 | |
| 3,000 | 3,073 | 3,103 | 3,073 | 3,000 | |
| 3,000 | 3,050 | 3,071 | 3,050 | 3,000 | |
| 3,000 | 3,034 | 3,049 | 3,034 | 3,000 |
На рис. 7.36 представлена графическая иллюстрация результатов расчетов.

Рис. 7.36. Графики зависимости температуры от координаты в разные моменты времени (сверху вниз t = 0, t = 2, t = 4, t = 6, t = 8), в начальный момент времени температура самая высокая, затем она постепенно выравнивается, и зависимости температуры от времени в разных точках стержня. Верхняя кривая соответствует x = 2; ниже - x = 1 и х = 3; прямая линия, совпадающая здесь с осью абсцисс, - значение температуры на концах стержня
Ясно, что по мере эволюции во времени температура стержнябудет выравниваться и асимптотически стремиться к 3oС во всех точках.
Контрольные вопросы и задания
1 Какие причины обусловливают особую значимость компьютерного моделирования в физике?
2. Какие аналогии проводятся между реальным и компьютерным экспериментами?
3. Почему при исследовании реальныхпроцессов движения тел нужна дифференциальная форма законов Ньютона?
4. Как зависит сила сопротивления от скорости движущегося тела?
5. Какая из составляющих силы сопротивления - линейная или квадратичная - будет доминировать при погружении в воду полого стального шара - батискафа диаметром 2 м и с толщиной стенки 1 см при достижении им постоянной скорости погружения?
6. Почему учет силы сопротивления среды делает многие, известные из школьного курса физики модели, более реалистичными? Приведите примеры таких моделей.
7. Как надо преобразовать формулировку содержательной задачи, прежде чем приступать к ее решению?
8. Как можно отобразить результаты моделирования в задаче о свободном падении тела в наиболее удобной для восприятия форме?
9. В чем преимущества и недостатки моделирования с помощью составления программ и с использованием табличных процессоров?
10. Разработайте программу для ЭВМ, используя одиниз методов численного интегрирования системы дифференциальных уравнений, позволяющую моделировать падение тела с учетом сопротивления среды. Предусмотрите интерактивный интерфейс для ввода данных, выбора формы представления результатов и т.д.
Решите с помощью этой программы одну из следующих задач:
а) с высоты Н падает предмет, через время t он оказывается на земле, требуется определить, с какой скоростью приземлится предмет;
б) металлический шарик падает в воде и в глицерине,провести сравнение результатов моделирования;
в) определить момент встречи (высоту и время) тела массы т1 свободно падающего с высоты Н0, и тела массы т2, брошенного вертикально вверх с достаточно большой начальной скоростью.
11. Какова траектория движения тела, брошенного под углом к горизонту, при отсутствии сопротивления среды? Как меняется эта траектория качественно при наличии сильного сопротивления?
12. Для чего производится обезразмеривание величин, характеризующих движение? Возможен ли з рассматриваемой задаче другой способ обезразмеривания?
13. Сделайте сравнительный анализ характеристик движения тела, брошенного под углом к горизонту, с учетом и без учета сопротивления воздуха. Как они будут изменяться с увеличением начальной скорости?
14. Разработайте программы решения задач:
а) при построении модели полета тела, брошенного под углом к горизонту, поверхность Земли считалась плоской, учтите в математической моделикривизнуЗемли, проведите соответствующее моделирование.
б) произведите моделирование полета тела, брошенного под углом к горизонту на Луне, проведите сравнение с результатами моделирования для Земли при аналогичных начальных условиях;
в) задача о подводной охоте: на расстоянии т под углом а подводный охотник видит неподвижную акулу, на сколько метров выше ее надо целиться, чтобы гарпун попал в цель? как будет выглядеть постановка и решение этой задачи, если акула движется? произведите соответствующее моделирование.
15. В чем могут заключаться усовершенствования приведенной выше модели взлета ракеты?
16. Насколько в действительности хороша аппроксимация, принятая для зависимости силы сопротивления от скорости, при очень больших скоростях?
17. Найдите в специальной литературе данные о характере зависимости силы сопротивления от скорости движения при скоростях порядка скорости звука и больших и внесите усовершенствования в модель.
18. Запишите математическую модель для движения двухступенчатой ракеты.
19. Проведите исследование на тему: с каким минимальным запасом топлива некоторая ракета может вывести на орбиту спутник? Все необходимые параметры задайте правдоподобными самостоятельно.
20. Какой может быть траектория космического аппарата, запускаемого сЗемли,относительно нее, если пренебречь влиянием других небесных тел? Чем определяется эта траектория?
21. Как будут выглядеть уравнения движения в системеЗемля - Луна - малоенебесное тело, если пренебречь влиянием Солнца-и других планет?
22. Составьте программу моделирования движения малого космического тела. Получите с помощью этой программы круговую орбиту. Экспериментально подберите безразмерные начальные условия для получения всех видов орбит: эллиптических, параболических, гиперболических. Для эллиптических орбит вычислите длину большой полуоси, эксцентриситет, период обращения.
23. Проверьте в ходе моделирования второй закон Кеплера дляэллиптическихорбит.
24. Проверьте в ходе моделирования третий закон Кеплера для эллиптических орбит.
25. Уточните модель, учитывая действие на спутник, движущийся вокруг Земли, помимо силы притяжения Земли, слабой постояннойсилы W, обусловленной «солнечным ветром».
26. Есть ли качественные различия в задачах о взаимном движении двух небесных тел и двух заряженных частиц, и чем они обусловлены?
27. Произведите моделирование движения тела массы т, несущего зарядq, поддействием электростатических сил, создаваемых произвольно расположенной группой тел с зарядами Q1, Q2,..., Qn (все они - в одной плоскости).
28. Как выглядит первая нелинейная поправка при переходе от полного уравнения свободных колебаний к уравнению малых колебаний?
29. Какое периодическое движение называют гармоническим?
30. Как выглядит в общем случае формула гармонического разложения периодической функции (разложения в ряд Фурье)?
31. Какие качественные изменения вносит учет трения при анализе движения маятника?
32. С какой частотой происходят вынужденные колебания при наличии гармонической вынуждающей силы?
33. В чем состоит особенность параметрического возбуждение колебательного движения?
34. Изучите в ходе компьютерного моделирования зависимость периода колебаний математического маятника от их амплитуды. Изобразите эту зависимость графически в диапазоне амплитуд 0 < θ < π. Выполните спектральное разложение колебаний для амплитуд
,0,9π, выделив 3-5 гармоник.
35. Изучите с помощью компьютерного моделирования колебания пружинного маятника, движущегося под влиянием упругой силы F = -ах-bх3, где х - смещение из положения равновесия.
Слагаемое (-ах) связано с законом Гука и доминирует при малых х (область упругих деформаций), слагаемое (-bх3) - нелинейный член силы упругости, доминирующий при больших x. Изучение может включать те же элементы, которые описаны для математического маятника.
36. «Постоянной времени» τ0 колебательной системы с затуханием называется промежуток времени, за который начальная амплитуда уменьшится в е раз. Для линейной системы она равна
Определите с помощью компьютерного моделирования постоянную времени для затухающих нелинейных колебаний, ее зависимость от начальной амплитуды.
37. Относительно каких процессов атмосферу можно рассматривать как сплошную газовую среду и относительно каких - нельзя?
38. Какие примеры сплошных сред и соответствующих процессов вам известны?
39. Как в общем случае связаны потенциал и напряженность электростатического поля?
40. Что такое эквипотенциальная поверхность? силовая линия?
41. Какие изменения и дополнения следует внести в приведенную выше программу, чтобы она позволила строить трехмерные эквипотенциальные поверхности? их сечения произвольными плоскостями?
42. Реализуйте программу построения силовых линий электростатическогополя, создаваемого системой точечных зарядов.
43. Разработайте компьютерную модель, позволяющую строить изолинии поля, создаваемого совокупностью заряженных пластин и точечных зарядов. Создайте с ее помощью изображение
а) поля в плоском конденсаторе;
б) поля, создаваемого пластинами, стоящими под углом друг к другу.
44. В чем заключается процесс теплопроводности, и какие физическиемеханизмы его поддерживают на молекулярном уровне?
45. Как выглядит уравнение теплопроводности в двумерномслучае?
46. В чем заключаются начальные и краевые условия в задаче теплопроводности?
47. Как выглядит конечно-разностная аппроксимация первой производнойповремени? по пространству? В чем различие этих аппроксимаций для внутренних и граничных узлов сетки?
48. В чем заключаются устойчивость и эффективность численного метода решения краевых задач?
49. В чем состоит принципиальная разница между явной и неявнойсхемами конечно-разностного решения дифференциальных уравнений?
50. Получите результаты, приведенные выше в примерах моделирования процесса теплопроводности, постройте соответствующие графики. Как еще можно представить результаты расчетов?
51. Выясните, как в рассмотренных примерах моделирования процесса теплопроводности будут изменяться результаты расчетов при уменьшении (увеличении) параметра a.
52. Какими величинами можно обезразмерить переменные в рассмотренных выше примерах моделирования процесса теплопроводности? Проведите обезразмеривание в одном из них для явной и неявной схем.
53. Проведите моделирование теплопроводности, когда начальные условия заданы функцией

где х* - некоторая точка стержня.
Дата добавления: 2015-07-30; просмотров: 1194;

x
t