Сопротивление воздухоносных путей
Воздух проходит через трубку (рис. 17.20), если между ее концами существует перепад давлений. От его величины зависят скорость и особенности воздушного потока. При низких скоростях линии течения могут быть параллельны стенкам трубки {А). Это так называемый ламинарный режим. По мере возрастания скорости потока он становится все менее однородным, особенно в местах ветвления трубки, где разделение воздушных струй может происходить с образованием местных завихрений (Б). Наконец, при очень высоких скоростях линии течения полностью теряют упоря-дочность, и поток называется в этом случае турбулентным (В).
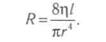
Уравнение, связывающее давление и расход (т. е. объемную скорость) при ламинарном потоке было впервые выведено французским
|
врачом Пуазейлем. Для прямых трубок с круглым сечением оно записывается следующим образом:

где V — расход флюида, Р — давление, создающее поток (АР см. на рис. 17.20), г — радиус трубки, ц — вязкость флюида, / — длина трубки. Из уравнения видно, что давление пропорционально расходу (Я = KV). Поскольку сопротивления потоку R равно давлению, деленному на расход, можно записать:

Как видно, большую роль играет радиус трубки; когда он уменьшается вдвое, сопротивление потоку увеличивается в 16 раз.
Важно также, что на взаимоотношение между давлением и расходом влияет вязкость, а не плотность флюида.
Одна из особенностей полностью развитого ламинарного потока заключается в том, что частицы газа в центре трубки передвигаются со скоростью, в два раза превышающей среднюю (см. рис. 17.20).
Особенности турбулентного потока совершенно иные. Давление в этом случае пропорционально уже не расходу флюида, а примерно квадрату расхода (Р = KV2). Вязкость при таком режиме не играет существенной роли, а увеличение плотности флюида при данном расходе повышает перепад давлений.
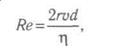
Будет поток ламинарным или турбулентным, в значительной степени зависит от так называемого числа Рейнольдса (Re), получаемого по уравнению:

где d — плотность флюида, v — средняя линейная скорость, г — радиус трубки, г] — вязкость флюида. В прямых гладких трубках турбулентность возможна при числе Рейнольдса больше 2000.
|
| Сопротивление воздухоносных путей можно рассчитать, разделив разность давления в ротовой полости и альвеолах на расход |
Применить все эти закономерности к такой сложной системе трубок, как бронхиальное дерево — со всеми его разветвлениями, изменениями диаметра и неровными стенками —трудно. Практически особенности потока очень сильно зависят от «входных» характеристик трубки. Если у какой-либо развилки возникает завихрение, воздушная струя как бы «тянет» его за собой, и оно исчезает лишь на определенном расстоянии от места зарождения. Поскольку же бронхиальное дерево постоянно ветвится, можно полагать, что истинный ламинарный поток (см. рис. 17.20) возникает лишь в самых мелких воздухоносных путях, где число Рейнольдса очень мало (в конечных бронхиолах оно может составлять около 1). На остальных участках течение носит переходный характер (Б). Турбулентный поток может наблюдаться в трахее, особенно при физической нагрузке, когда скорость воздуха возрастает. В целом для ра'счета «перепада» давления в бронхиальном дереве следует использовать как первую, так и вторую степень расхода воздуха:
|
|
воздуха (см. рис. 17.20). В ротовой полости давление легко измеряется с помощью манометра, а в альвеолах его можно оценить с помощью общего плетизмографа.
Сопротивление воздухоносных путей равно отношению разности давлений между альвеолами и ротовой полостью к расходу воздуха (см. рис. 17.20). Его можно измерить методом общей плетизмографии (рис. 17.21). Перед тем, как обследуемый делает вдох (А),
давление в плетизмографической камере равно атмосферному. Во время вдоха давление в альвеолах снижается, а объем альвеолярного воздуха увеличивается на величину AV. При этом воздух в камере снижается и по изменению его давления можно рассчитать AV(см. рис. 17.22).

где Я, и Р2 — давление в камере соответственно до попытки вдохнуть и во время нее, V{ — объем камеры до этой попытки, a AV— изменение объема камеры (или легких). Отсюда можно рассчитать
AV. Если объем легких известен, можно перейти от Д1/к внут-риальвеолярному давлению, используя закон Бойля-Мариотта (P3V2 = P4(V2 + AV), где Р3 и Р4 — давление в полости рта соответственно до попытки вдохнуть и во время нее, a V2 — ФОЕ, которая и рассчитывается по этой формуле).
Одновременно измеряется расход воздуха, что дает возможность рассчитывать сопротивление воздухоносных путей. Такие же измерения проводятся при выдохе. Способ определения объема легких приведен на рис. 17.22.
Сопротивление воздухоносных путей можно рассчитать и при спокойном дыхании, измерив внутриплевральное давление с помощью введенного в пищевод катетера (см. рис. 17.19). Однако при этом результаты будут включать также сопротивление тканей. Внутриплевральное давление определяется с одной стороны силами, противодействующими эластической тяге легких, а с другой — силами, преодолевающими сопротивление воздухоносных путей и тканей.
|
При движении легких и грудной клетки необходимо прикладывать некоторое давление для преодоления вязких сил, действующих в тканях при их деформации. Именно наличием таких сил частично объясняется заштрихованная область кривой на рис. 17.19. Однако у молодых здоровых людей сопротивление тканей составляет лишь около 20% общего (т. е. суммы сопротивления тканей и воздухоносных путей), хотя при некоторых заболеваниях оно может увеличиваться.
Для того, чтобы при дыхании происходили движения легких и грудной клетки, необходимо затрачивать работу. В данном случае ее удобнее всего измерять произведением давления на объем.
Работу, затрачиваемую на движение легких можно оценить по кривой «давление—объем» (рис. 17.23). При вдохе внутриплев-ральное давление изменяется в соответствии с кривой АБВ и на движение легких затрачивается работа, соответствующая площади ОАБВГО. Трапеция ОАДВГО отражает работу, необходимую для преодоления упругих сил, а заштрихованный участок АБВДА — работу, затраченную на преодоление вязкого сопротивления воздухоносных путей и тканей (см. рис. 17.19). Чем выше сопротивление воздухоносных путей или расход воздуха при вдохе, тем более отрицательным будет внутриплевральное давление, тем больше сместится вправо (в сторону отрицательных величин) точка Б по сравнению с точкой Д и тем больше будет площадь заштрихованного участка.
Работе, необходимой для преодоления сопротивления воздухоносных путей (и тканей) при выдохе, соответствует участок АДВЕА. В нормальных условиях он «вписан» в трапецию ОАДВГО, т. е. работа по преодолению вязких сил может быть совершена за счет энергии, запасенной в упругих структурах и высвобождающейся при пассивном выдохе. Разница между площадями АДВЕА и ОАДВГО соответствует энергии, рассеивающейся в виде тепла.
Чем выше частота дыхания и расход воздуха, тем больше площадь участка АБВДА (т. е. работа по преодолению вязких сил). С другой стороны, чем больше дыхательный объем (ДО), тем больше площадь трапеции ОАДВГО (т. е. работа по преодолению упругих сил).
Больные со сниженной растяжимостью легких (пневмосклероз, эмфизема и др.) как правило, дышат чаще и дыхание поверхностное; а при обструкции дыхательных путей — дыхание медленное. В обоих случаях это способствует уменьшению затрачиваемой работы.
При выполнении тяжелой физической работы, при занятиях спортом, особенно циклическими видами спорта (академическая гребля, плавание, лыжные гонки, стайерский бег и др.) происходит увеличение затрачиваемой работы, и затраты увеличиваются, если спортсмен тренируется в неблагоприятных климатических условиях (среднегорье, зоны с жарким и влажным климатом и т. п.).
Общую работу, затрачиваемую на движение легких и грудной клетки, измерить трудно, хотя некоторые ее оценки были получены при искусственной вентиляции в респираторе типа «искусственные легкие». Такую работу можно рассчитать так же, измеряя затраты кислорода на дыхание и учитывая коэффициент полезного действия (КПД):

Полагают, что этот коэффициент составляет около 5—10%.
Затраты кислорода на спокойное дыхание исключительно малы — менее 5% от общего потребления 02. При произвольной гипервентиляции они могут увеличиваться до 30%. У спортсменов во время физической работы (тренировки или соревнования) поглощение кислорода дыхательными мышцами увеличивается и тем самым дыхательная мускулатура является лимитирующим фактором в выполнении физической работы (нагрузки).

|
Работа, необходимая для преодоления эластического сопротивления легких и грудной стенки, как полагают, не зависит от времени. Максимум работы производится тогда, когда дыхательный объем также максимален. Эту форму сопротивления можно вычислить, определив давление, необходимое для измерения объема легких и грудной клетки. Эта величина называется растяжимостью (С).

где А V— изменение объема, а АР — изменение давления.
Общую растяжимость легкого и грудной стенки можно определить, составив график, выражающий внутрилегочное давление, необходимое для поддержания в легком известного объема газа. Экспериментально это производится путем наполнения легких неким объемом, расслабления всех дыхательных мышц и измерения давления во рту (при закрытых ноздрях). Растяжимость легкого равна величине внутриплеврального давления и может быть определена таким же образом (рис. 17.24).
Установлено, что от 3/4 до 7/8 общего эластического сопротивления создается поверхностным натяжением пленки жидкости, выстилающий внутреннюю поверхность альвеолы, а остальная часть — эластическими свойствами ткани. Чем выше поверхностное натяжение, тем больше нужно энергии для преодоления его сопротивления. Поверхностное натяжение снижается за счет сур-фактанта. Как полагают, сурфактант стабилизирует легочные альвеолы, так что они не спадаются при выдохе.
Показано, что сопротивление воздушному потоку создается главным образом в бронхах среднего размера (рис. 17.25). На основании уравнения Пуазейля следовало бы ожидать, что местом

наибольшего сопротивления будут самые мелкие бронхиолы, но на самом деле это не так. Воздушные пути с диаметром меньше 2 мм создают менее 20% измеренного сопротивления воздушному потоку. Обилие мелких воздушных путей создает большое суммарное поперечное сечение для воздушного потока. Для очень малого объема легких описано явление «закрытого воздухоносного пути», т. е. обратимого спадения мелких бронхиол. В таких условиях некоторое количество энергии затрачивается при вдохе на открывание
|
|
спавшихся бронхиол. Сопротивление воздушному потоку зависит от времени; оно наибольшее при частом дыхании и достигает максимума, даже если объем вдоха не максимален.
Работа по перемещению грудной клетки и легкого против сопротивления неэластичных тканей тоже зависит от времени. У взрослых мужчин она составляет около 20% общего расхода энергии при дыхании.
Общую работу, затрачиваемую на перемещение воздуха в легкое и из него, включая движение грудной клетки, можно вычислить по графику «давление—объем» (рис. 17.26):
Эта работа складывается из работы против эластических сил (см. рис. 17.26) и против неэластических (см. рис. 17.26). Для данного минутного объема существует интенсивность работы, при
которой сумма эластического и зависимого от времени неэластического компонентов минимальна (рис. 17.27). При нормальном дыхании для перемещения воздуха в легкие и из них требуется менее 5% общего потребления кислорода (рис. 17.28).
|
Чем интенсивнее физическая работа, тем выше потребление кислорода дыхательной мускулатурой.
J.M. Petit и др. (1962)установили зависимость между КПД и частотой дыхания у человека. Авторы регистрировали ЭМГ диафрагмы и прямой мышцы живота и сделали вывод, что при медленном и глубоком дыхании возникает дискоординация мышц-антагонистов, а при учащенном дыхании их функционирование было более согласованным. Именно этим фактором они объясняют увеличение КПД по мере учащения дыхания.
А.В. Otis (1950) предложил определить механическую мощность дыхания при помощи следующего уравнения:

где W — механическая мощность внешнего дыхания (Вт); V — минутный объем дыхания; К{\\ К2 — константы.
Первая часть уравнения характеризует мощность, необходимую для преодоления эластического сопротивления легких и грудной клетки плюс ламинарного сопротивления воздушного потока в дыхательных путях; вторая часть — мощность, необходимую для преодоления турбулентного сопротивления потока воздуха в дыхательных путях. У человека в покое и при легкой физической работе с величинами МОД, не превышающими 30 л, механическая мощность внешнего дыхания составляет 0,04—0,31 Вт, однако при величине МОД 120—125 л эта мощность достигает 6,97—8,37 Вт.
При увеличении МОД на 25 л по отношению к состоянию покоя (8— 12л) кислородная стоимость дыхания увеличивается и на каждый литр вентиляции затрачивается дополнительно 1 мл кислорода (02), а при возрастании МОД на 50—80 л — соответственно 2,0— 3,2 мл 02. Если величина МОД превышает 100 мл, на работу дыхательной мускулатуры затрачивается более 1 л 02. Если МОД превышает 150 л, то кислородная стоимость дыхания составляет около 4,5 л. R. J. Shepard (1966) считает, что уровень МОД в 120 л — это критическая граница, выше которой энергетическая стоимость работы аппарата внешнего дыхания становится особенно высокой.
Дата добавления: 2015-07-24; просмотров: 1381;
