Графіки прискореного руху
1. Графік проекції прискоренняах = ах(t). При рівноприскореному русі прискорення є величиною сталою, тому графік проекції прискорення являтиме собою пряму, паралельну осі часу t. Залежно від значення проекції прискорення – додатна вона чи від’ємна – ця пряма розташована над віссю чи під нею (мал.).
2. Графік проекції швидкості
.Лінійна залежність проекції швидкості від часу зумовлена математичним видом її кінематичного рівняння
Залежно від значень проекцій прискорення і початкової швидкості
, графік матиме різний вигляд (мал.), зокрема:

Якщо
, то пряма виходитиме з початку координат і залежно від значення проекції прискорення буде здійматися вгору
або спадатиме вниз
. Нахил прямих залежить від значення проекції прискорення: чим більше прискорення, тим крутіше здіймається чи спадає графік.
3. Графік проекції переміщенняSx = Sx(t) і координати х = х(t). Кінематичні рівняння переміщення і координати є квадратними рівняннями виду y = а + bх + сх2 . Тому графіками залежності проекції переміщення і координати від часу є параболи, гілки яких згідно з параметрами руху мають різний вигляд. Наприклад, якщо
і ах > 0, то графіки мають вигляд, зображений на мал. 1.39. У графіку залежності координати від часу, якщо хо ≠ 0, вершина параболи зміщується по осі ординат вгору або вниз, залежно від значення хо.
Якщо
= 0 і ах < 0, то гілки параболи зорієнтовані вниз (мал. 1.40) і зміщення вершини параболи вгору або вниз по осі ординат так само залежить від значення хо.

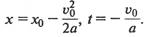
Якщо
(мал. 1.41), то вершина параболи зміщується в точку, координати якої визначаються співвідношеннями:

Контрольні питання
1. Який рух називається рівноприскореним? Наведіть приклади.
2. Що таке прискорення? Чи змінюється прискорення під час рівноприскореного руху?
3. Що означає прискорення 5 м/с2 ?
4. В якому випадку проекція прискорення має додатне а в якому від’ємне значення?
5. Що таке кінематичне рівняння рівноприскореного руху? Чим воно відрізняється від рівняння переміщення?
6. Чи можна знайти прискорення, не знаючи часу руху?
7. Який вигляд має графік проекції прискорення для рівноприскореного руху?
8. В яких випадках графік проекції швидкості рівноприскореного руху здіймається вгору, а в яких він спадає вниз? Коли графік проекції швидкості починається в початку координат?
9. Графік проекції швидкості рівноприскореного руху перетинає вісь часу. Що це означає?
10. Яку форму має графік проекції переміщення? Коли його гілки «дивляться» вниз, а коли вгору? В якому випадку графік проекції переміщення починається в початку координат?
Дата добавления: 2015-07-22; просмотров: 5386;
