Теоретичні відомості. Рівноперемінний рух. Прискорення
Заняття 3
Рівноперемінний рух. Прискорення
Мета: розглянути особливості рівноприскореного руху; усвідомити поняття про прискорення, навчитись будувати графіки координат, швидкості та прискорення для рівноприскореного руху
1. Рівноприскорений рух
2. Графік переміщення та координати при рівноприскореному русі.
3. Графіки швидкості та прискорення при рівноприскореному русі.
Ключові слова: переміщення, швидкість, прискорення, графік швидкості та прискорення, графік координат.
Теоретичні відомості
Рівноприскорений рух
Рівноприскорений рух це нерівномірний рух, під час якого швидкість змінюється однаково за рівні інтервали часу
Прискорення характеризує стрімкість зміни швидкості тіла під час його нерівномірного руху
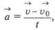
Прискорення - це векторна фізична величина, що дорівнює відношенню зміни миттєвої швидкості тіла до інтервалу часу, протягом якого відбулася така зміна:

де
- початкова швидкість тіла;
- його кінцева швидкість; t - інтервал часу, протягом якого ця зміна відбувалася.
З означення рівноприскореного руху випливає, що його прискорення є сталою величиною
. Прискорення вимірюється в метрах за секунду в квадраті
.
Зокрема, в проекціях на вісь Х (мал.) матимемо вираз для прискорення: 
У випадку прискореного руху ах> 0, оскільки швидкість руху збільшується, отже, и
і вектор прискорення збігається з напрямом руху.
Якщо рух сповільнений і швидкість тіла з часом зменшується
, то вектор прискорення буде протилежний до напряму руху і в даному разі відповідно до обраного напряму координатної осі Х проекція прискорення ах < 0 (мал.).
Кінематичне рівняння миттєвої швидкості для рівноприскореного руху: 
або в проекціях на обрану вісь х: 
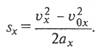
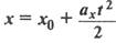
Кінематичне рівняння переміщення для рівноприскореного руху

або в проекціях на обрану вісь Х

Здійснивши певні математичні перетворення, одержимо формулу 
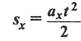
Якщо початкова швидкість тіла дорівнює 0, то кінематичне рівняння переміщення спрощується:
або 
Для прямолінійного руху одержимо кінематичне рівняння руху:
при
.
Дата добавления: 2015-07-22; просмотров: 1180;
