Способи абсолютних та відносних різниць.
Спосіб абсолютних різниць є однією з модифікацій елімінування. Як і спосіб ланцюгової підстановки, він застосовується для розрахунку впливу факторів на приріст результативного показника в детермінованому аналізі, але тільки в мультиплікативних та мультиплікативно-адитивних моделях:
Y = (а - b) с
У = a (b - с).
І хоча його використання обмежене, але завдяки своїй простоті він отримав широке застосування в АГД. Особливо ефективно застосовується цей спосіб у тому випадку, якщо вихідні дані вже містять абсолютні відхилення по факторним показникам.
При його використанні величина впливу факторів розраховується множенням абсолютного приросту досліджуваного чинника на базову (планову) величину факторів, які знаходяться праворуч від нього, і на фактичну величину факторів, розташованих ліворуч від нього в моделі.
Розглянемо алгоритм розрахунку для мультиплікативної факторної моделі типу Y = axbxcxd. Є планові і фактичні значення по кожному факторному показнику, а також їх абсолютні відхилення:

Визначаємо зміну величини результативного показника за рахунок кожного фактора:

Як видно з наведеної схеми, розрахунок будується на послідовній заміні планових значень факторних показників на їх відхилення, а потім на фактичний рівень цих показників.
Розглянемо методику розрахунку впливу факторів цим способом для четирьохфакторної мультиплікативної моделі валової продукції:

Таким чином, спосіб абсолютних різниць дає ті ж результати, що й спосіб ланцюгової підстановки. Тут також необхідно стежити за тим, щоб алгебраїчна сума приросту результативного показника за рахунок окремих факторів дорівнювала загальному його приросту.
Розглянемо алгоритм розрахунку факторів цим способом в змішаних моделях типу V = (а - b) с. Для прикладу візьмемо факторну модель прибутку від реалізації продукції, яка вже використовувалася в попередньому параграфі :
П = VРП(Ц - С).
Приріст суми прибутку за рахунок зміни обсягу реалізації продукції:

цены реализации:

себестоимости продукции:

Розрахунок впливу структурного фактора за допомогою цього способу проводиться наступним чином:

Як видно з табл. 6.4, за рахунок зміни структури реалізації середня ціна за 1 т молока зменшилася на 40 тис. руб., А за весь фактичний обсяг реалізації продукції прибутку було отримано менше на 10 млн руб. (40 тис. руб. Х 250 т). .
Спосіб відносних різниць, як і попередній, застосовується для вимірювання впливу факторів на приріст результативного показника тільки в мультиплікативних та адитивно-мультиплікативних моделях типу:
V = (а - b) с.
Він значно простіше ланцюгових підстановок, що за певних обставин робить його дуже ефективним. Це насамперед стосується тих випадків, коли вихідні дані містять уже визначені раніше відносні прирости факторних показників у відсотках або коефіцієнтах.
Розглянемо методику розрахунку впливу факторів цим способом для мультиплікативних моделей типу V = А х В х С. Спочатку необхідно розрахувати відносні відхилення факторних показників:

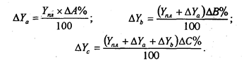
Тоді зміна результативного показниказа рахуноккожного фактора визначається наступним чином:

Згідно з цим правилом, для розрахунку впливу першого фактора необхідно базисну (планову) величину результативного показника помножити на відносний приріст першого фактора, вираженого у відсотках, і результат поділити на 100.
Щоб розрахувати вплив другого чинника, потрібно до планової величини результативного показника додати зміну його за рахунок першого фактора і потім отриману суму помножити на відносний приріст другого чинника у відсотках і результат розділити на 100.
Вплив третього фактора визначається аналогічно: до планової величини результативного показника необхідно додати його приріст за рахунок першого і другого факторів і отриману суму помножити на відносний приріст третього фактора і т.д.
Закріпимо розглянуту методику на прикладі, наведеному в табл. 6.1 :


Як бачимо, результати розрахунків ті ж, що і при використанні попередніх способів.
Спосіб відносних різниць зручно застосовувати в тих випадках, коли потрібно розрахувати вплив великого комплексу факторів (8-10 і більше). На відміну від попередніх способів значно скорочується кількість обчислень.
Різновидом цього способу є прийом відсоткових різниць. Методику розрахунку впливу факторів з його допомогою розглянемо на тому ж прикладі (табл. 6.1).
Для того щоб встановити, наскільки змінився обсяг валової продукції за рахунок чисельності робітників, необхідно планову його величину помножити на відсоток перевиконання плану по чисельності робітників ЧР%:

Для розрахунку впливу другого чинника необхідно помножити плановий обсяг валової продукції на різницю між відсотком виконання плану по загальній кількості відпрацьованих днів усіма робітниками D% і відсотком виконання плану по середньообліковій чисельності робітників ЧР%:

Абсолютний приріст валової продукції за рахунок зміни середньої тривалості робочого дня (внутрішньозмінних простоїв) встановлюється шляхом множення планового обсягу валової продукції на різницю між відсотками виконання плану по загальній кількості відпрацьованих годин усіма робітниками t% і загальною кількістю відпрацьованих ними днів D%:

Для розрахунку впливу середньогодинного виробітку на зміну обсягу валової продукції необхідно різницю між процентом виконання плану по валовій продукції ВП% і процентом виконання плану по загальній кількості відпрацьованих годин усіма робітниками t% помножити на плановий обсяг валової продукціі. Для розрахунку впливу середньогодинного виробітку на зміну обсягу валової продукції необхідно різницю між процентом виконання плану по валовій продукції ВП% і процентом виконання плану по загальній кількості відпрацьованих годин усіма робітниками t% помножити на плановий обсяг валової продукції ВПпл:

Перевага цього способу полягає в тому, що при його застосуванні не обов'язково розраховувати рівень факторних показників. Достатньо мати дані про відсотки виконання плану по валовій продукції, чисельності робітників і кількості відпрацьованих ними днів і годин за аналізований період.
Дата добавления: 2015-08-26; просмотров: 1610;
