СОВРЕМЕННАЯ ПОЛИТИЧЕСКАЯ КАРТА МИРА 60 страница
Тем не менее даже сравнительно небольшой подъем уровня Мирового океана может поставить серьезные проблемы перед многими приморскими (особенно низменными) странами. Последствия этого явления могут быть прямыми (затопление низменных территорий, увеличение размыва берегов) и косвенными (потери ресурсов пресной воды из-за подъема грунтовых вод и проникновения соленой морской воды в водоносные горизонты). Особенно опасен подъем уровня Мирового океана для таких развивающихся стран, как Бангладеш, Египет, Гамбия, Индонезия, Мальдивская Республика, Мозамбик, Пакистан, Сенегал, Суринам и Таиланд. Например, в Бангладеш подъем уровня моря только на 1 м заставит сменить место жительства 10 % населения этой страны (рис. 171). В Египте подъем этого уровня только на 50 см приведет к затоплению большей части дельты Нила и мест обитания 16 % жителей. Еще большую угрозу такой подъем представлял бы для Мальдивских островов, которые состоят из 20 атоллов; 80 % их территории расположены ниже 1 м над уровнем моря. Из стран Европы подъем уровня океана был бы особенно опасен для Нидерландов. Впрочем, такой подъем уровня мог бы оказаться катастрофическим и для Нью-Йорка, поскольку он повлек бы за собой затопление большей части города со всей ее подземной транспортной инфраструктурой и тремя аэропортами.
Наконец, об уровне 2100 г. По расчетам Международной комиссии по изменению климата, в том случае, если не будут приняты радикальные меры по сокращению выбросов парниковых газов и произойдет удвоение концентрации СО2, глобальное потепление климата к концу XXI в. может достигнуть 2,5 °C, (т. е. в среднем 0,25° за каждые десять лет), а возможно и 5,8 °C. Конечно, все последствия такого потепления сегодня предвидеть невозможно. Но, по общему мнению, они будут представлять собой большую угрозу для человечества. Так, согласно некоторым оценкам, общий экономический ущерб от потепления в 2100 г. мог бы составить почти 1 трлн долл. Но за этой цифрой скрываются реальные географические изменения регионального и даже глобального характера.

Рис. 171. Возможное затопление территории Бангладеш в случае подъема уровня

Рис. 172. Последствия глобального потепления на территории бывшего СССР (по А. А. Величко)
Во-первых, потепление климата может отрицательно сказаться на сельскохозяйственном производстве многих районов, особенно чувствительном к климатическим условиям. Например, снижение урожаев и сборов может произойти в Южной Европе, в южной части США, в Центральной и Южной Америке, в Западной Австралии. Предполагается, что климатические границы сельскохозяйственных угодий в некоторых районах сдвинутся на 200–300 км на каждый градус потепления.
Во-вторых, прогрессирующее потепление к концу века может вызвать повышение уровня Мирового океана на 1,5 м. Это произойдет в результате таяния материковых и горных ледников, морских льдов, а также термического расширения воды в верхнем слое океанской массы. А отрицательные, опасные последствия такого подъема ощутят на себе уже не только коралловые острова и густонаселенные дельты крупных рек Восточной и Южной Азии, но и все прибрежные территории Земли.
В-третьих, немалый ущерб может быть связан с увеличением числа ураганов, лесных пожаров, нарушением водопотребления, деградацией горного туризма и т. п. В свою очередь, загрязнение воды и воздуха скажется на здоровье людей. Изменения климатических условий неизбежно приведут к усилению миграций населения.
Все сказанное, по-видимому, означает, что современные прогнозы глобального изменения климата Земли исходят уже не из прежних максималистских, а из средних вариантов. Никто ныне уже не пишет о подъеме уровня океана на 66 м или об уподоблении климата Подмосковья климату влажного Закавказья. Но есть и ученые, которые придерживаются еще более минималистской точки зрения.
Например, академик А. Л. Яншин считал, что переполох, вызванный мрачными прогнозами доклада «Наше общее будущее», не имеет достаточных оснований, что в нем и угроза потепления и угроза подъема уровня Мирового океана преувеличены. То же относится и к последствиям парникового эффекта в целом. Напротив, этот эффект может иметь и положительные хозяйственные проявления – например, повлиять на рост урожайности сельскохозяйственных культур благодаря интенсификации фотосинтеза. Он же считал необоснованным предположение о таянии материковых льдов Антарктиды и Гренландии. В качестве главного довода он приводил тот факт, что ледниковый щит Антарктиды образовался 35 млн лет назад и с тех пор пережил немало эпох потепления климата Земли, причем гораздо более значительных, чем то, которое ожидается в процессе современного потепления. А в Гренландии парниковый эффект приведет, по-видимому, лишь к некоторому отступлению края ледникового щита. Отсюда А. Л. Яншин делал прогностический вывод о том, что потепление, связанное с парниковым эффектом, не будет сопровождаться значительным таянием ледников Антарктиды и Гренландии и грозит повышением уровня Мирового океана не более чем на 50 см, что не представляет особо серьезной опасности для человечества. Этой концепции придерживаются также А. А. Величко и некоторые другие ученые. По мнению же академика К. Я. Кондратьева, возлагать основную вину за глобальное потепление климата в XX в. на выбросы парниковых газов вообще было бы преждевременно; эта проблема нуждается в дополнительном изучении. Острая дискуссчия по данному поводу развернулась и на Всемирной конференции по климату, проходившей в Москве в 2003 г.

Рис. 173. Уровень дестабилизации геосистем при антропогенном изменении климата в первой половине XXI в. (по А. А. Величко)
В конечном счете, насколько оправдаются приведенные выше прогнозы, во многом зависит от действенности мер, которые принимаются мировым сообществом для того, чтобы замедлить наступление нового климатического оптимума. Эти меры касаются сокращения выбросов парниковых газов, а также энергосбережения, использования передовых технологий, применения экономических, административных стимулов и запретов и др.
Климатические изменения в России в XX в. в целом соответствовали мировым тенденциям. Например, самыми жаркими за очень длительный срок также оказались 1990-егг. и начало XXI в., в особенности в Западной и Средней Сибири.
Интересный прогноз климатических изменений, ожидаемых на территории бывшего СССР до середины XXI в., опубликовал А. А. Величко. Ознакомиться с этим прогнозом, подготовленным лабораторией эволюционной географии Института географии РАН, можно с помощью составленных той же лабораторией карт последствий глобального потепления и уровней дестабилизации геосистем на территории бывшего СССР (рис. 172, 173).
Были опубликованы и другие прогнозы. Согласно им, потепление климата в целом благоприятно скажется на Севере России, где условия жизни изменятся к лучшему. Однако перемещение к северу южной границы многолетней мерзлоты одновременно создаст целый ряд проблем, поскольку может привести к разрушению зданий, дорог, трубопроводов, построенных с учетом нынешнего распространения мерзлых грунтов. В южных районах страны ситуация окажется более сложной. Например, сухие степи могут стать еще более засушливыми. И это не говоря уже о подтоплении многих портовых городов и прибрежных низменностей.
177. Гипотеза стабилизации численности населения Земли
Вопрос о возможности стабилизации численности населения Земли давно уже волнует человечество. Интерес к нему обычно обостряется в периоды демографических революций. Так было на рубеже XVIII и XIX вв. в Европе, когда появилась упоминавшаяся уже работа Томаса Мальтуса. Так было и в 60—70-е гг. ХХ в., когда в полной мере проявился новый демографический взрыв. И хотя к этому времени уже начала складываться теория демографического перехода, согласно которой при достижении четвертой его фазы должна происходить стабилизация численности населения, в целом в этом вопросе достаточной ясности еще не было.
На начальном, особенно бурном этапе демографического взрыва большинство прогнозов роста населения мира носило откровенно алармистский характер.
Так, некоторые из подобных прогнозов исходили из того, что среднегодовой прирост населения станет возрастать и впредь, и уже в середине XXI в. на Земле будет 50 млрд людей; при этом средняя плотность населения обитаемой суши составит 370 человек на 1 км2. Сценарий на 2300 г. предполагал увеличение числа землян до 1 трлн человек. Один английский статистик вычислил, что при ежегодном приросте в 1,5 % к 3000 г. население земного шара возрастет до 14 трлн, а в 5000 г. будет определяться поистине фантастической цифрой с 27 нулями! При таком развитии событий в 3000 г. на одного жителя пришлось бы 103 см2 суши, а в 5000 г. эта цифра снизилась бы до… миллионных долей миллиметра.
Подобным же алармизмом отличались и первые прогнозы Римского клуба, доказывавшие необходимость перехода к «нулевому росту? населения в соответствии с еще одной модной в то время концепцией, которая появилась в середине 1960-х гг. Многие ученые и политические деятели рассматривали «нулевой рост» как своего рода универсальное средство борьбы с демографическим взрывом и сопровождавшими его такими социальными бедствиями, как бедность, безработица, расхищение природных ресурсов, загрязнение окружающей среды и др.
Фактически «нулевой рост» населения (и экономики) был положен в основу докладов Римскому клубу, резко ограничивавших «пределы роста» человечества.
С другой стороны, именно на этом этапе стали появляться и научно более обоснованные гипотезы стабилизации численности населения Земли, исходившие из того, что со временем должно произойти не просто уменьшение, а прекращение роста населения. Такие гипотезы выдвигались как отдельными учеными, так и органами ООН. В результате в 1970-х гг. они в какой-то мере приобрели уже «права гражданства». При этом обычно особенно привлекали внимание два вопроса: во-первых, на каком количественном уровне и когда такая стабилизация наступит и, во-вторых, в какой последовательности она затронет отдельные регионы и страны земного шара.
Рассмотрим сначала вопрос о времени стабилизации. Если говорить об отдельных ученых, то можно сослаться и на видных российских экономистов и демографов. Сначала свою гипотезу стабилизации выдвинул академик С. Г. Струмилин. А в 1970-х гг. более детальные расчеты опубликовал видный демограф Б. Ц. Урланис.
Б. Ц. Урланис предположил, что стабилизация численности населения (или простое замещение поколений) должна произойти при условии, когда средняя продолжительность жизни мужчин и женщин составит 74,8 года, показатели рождаемости и смертности сравняются на уровне 13,4 человека на каждую 1000 жителей. При этом стабилизируется и возрастной состав населения: доля детей до 15 лет снизится до 20 %, доля людей в трудоспособном возрасте (15–64 года) составит 63 %, а доля лиц старше 65 лет возрастет до 17 %.
Б. Ц. Урланис считал, что подобная стабилизация должна наступить в начале XXII в. на уровне 12,3 млрд человек. Позднее в отечественных источниках стали преобладать цифры в 10–12 или 10–15 млрд человек.
Еще больший общественный резонанс имели, естественно, официальные прогнозы-гипотезы ООН. О будущей стабилизации численности населения Земли говорилось уже во «Всемирном плане действий в области народонаселения», принятом в 1974 г. в качестве документа ООН. После того как на Всемирной конференции ООН по народонаселению (Мехико, 1984) экспертами ООН было высказано предположение о ее стабилизации в XXII в. на уровне 10,5 млрд человек, именно эта цифра получила наибольшее распространение в научной литературе. Но встречаются и другие прогнозы. Например, директором Международного института системного анализа в Вене Г. Маркетти было высказано предположение о стабилизации мирового населения к 2100 г. на уровне 25 млрд человек.

Таблица 181
ПРОГНОЗ ООН ЧИСЛЕННОСТИ НАСЕЛЕНИЯ ЗЕМЛИ ДО 2100 г.[112]
В докладе Международной комиссии по окружающей среде и развитию с опорой на долгосрочные прогнозы ООН были приведены расчеты, имеющие более гибкий характер, а именно:
– если к 2000 г. коэффициент фертильности достигнет уровня воспроизводства, население Земли к 2060 г. стабилизируется на численности 7,7 млрд человек;
– если это случится в 2035 г., то в 2095 г. на Земле будет проживать 10,2 млрд человек;
– если же это произойдет лишь в 2065 г., то в 2100 г. население мира составит 14,2 млрд человек.[113]
Обратимся теперь к таблице 181, составленной по данным прогноза ООН. Хотя к настоящему времени этот прогноз уже несколько устарел, он ценен тем, что охватывает период до конца XXI в., тогда как, скажем, прогноз 1994 г. был хронологически ограничен 2050 г. Поэтому именно данные таблицы 181 позволяют более предметно ответить на первый из поставленных выше вопросов. Из них со всей очевидностью вытекает, что стабилизация численности населения Земли в основном должна произойти к концу XXI в.
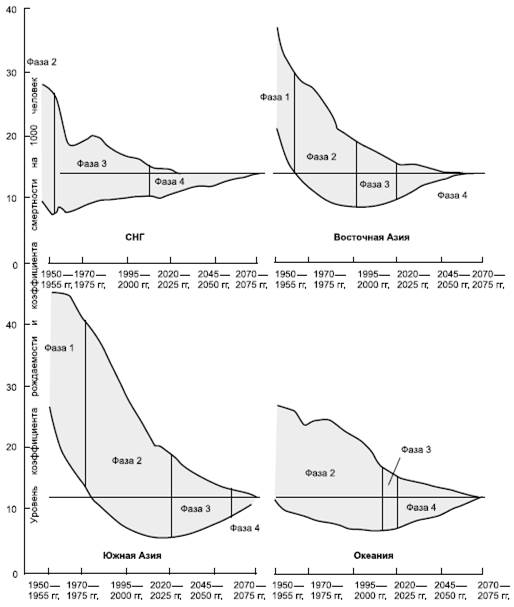
Теперь о втором вопросе – об очередности перехода к стабилизации отдельных крупных регионов Земли. Б. Ц. Урланис считал, что в Европе и в Северной Америке такая стабилизация должна наступить в середине XXI в., в Латинской Америке и в Южной Азии – в последней четверти XXI в., а в Африке – в первой четверти XXII в. В основных чертах эти предположения совпали с прогнозами ООН. В самом деле, если обратиться еще раз к таблице 181, то нетрудно заметить, что стабилизация численности населения в зарубежной Европе должна произойти, по прогнозу ООН, в середине XXI в., в зарубежной Азии, Северной и Латинской Америке, Австралии и Океании и бывшем СССР – в последней четверти XXI в. И только в Африке она наступит уже за пределами этого столетия. Именно этот регион влияет и на общемировые показатели. Графическое изображение перехода к стабилизации населения по восьми регионам демонстрирует рисунок 174. Соответственно и доля Африки в мировом населении в течение всего XXI в. будет возрастать, тогда как доли других регионов – уменьшаться {рис. 175).
К сказанному остается добавить, что пересмотр демографических прогнозов в сторону уменьшения, характерный для последних лет, позволяет сделать вывод о том, что и стабилизация численности населения в некоторых регионах мира наступит значительно раньше, чем предполагалось. В первую очередь это относится к зарубежной Европе, население которой уже практически не растет или почти не растет, и к СНГ.
Что же касается отдельных стран, то, согласно прогнозу конца 1980-х гг., стабилизацию численности населения тогда ожидали в них при достижении следующих уровней {в млн человек): в Индии – 1700, в Китае – 1570, в Нигерии – 530, в Индонезии – 370, в Пакистане – 330, в Бангладеш – 310, в Бразилии – 300, в США – 290, в Эфиопии – 205, в Мексике – 200, в Иране – 165, в Египте – 125, в Турции – 110. В дальнейшем в этот прогноз вносились уточнения – как в сторону повышения, так и в сторону понижения приведенных показателей.

Рис. 174, а. Фазы демографического перехода и стабилизации численности населения Земли
С большой точностью определить пути предстоящей стабилизации численности населения Земли, видимо, не представляется возможным. Да и нужно ли это? Ведь еще в 1881 г. Ф. Энгельс в письме К. Каутскому, касаясь вопроса о будущем росте населения и путях его регулирования, писал: «Во всяком случае, люди в коммунистическом обществе уже сами решат, следует ли применять для этого какие-либо меры, когда, как и какие именно. Я не считаю себя призванным к тому, чтобы предлагать что-либо или давать им по этому поводу советы. Эти люди, во всяком случае, будут не глупее нас с вами». В принципе Энгельс был, вероятно, прав. И тем не менее несомненно и то, что будущий демографический портрет нашей планеты, включая такой важный «штрих», как стабилизация численности населения, во многом зависит именно от образа жизни и действий нынешних поколений людей.
178. Гипотеза Эйкуменополиса
Постепенный рост городского населения, «городской взрыв», увеличение количества сверхгородов уже сами по себе видоизменяют и усложняют урбанистическую картину мира. Это относится и к пространственным формам урбанизации, среди которых все большее распространение получают не просто города и даже не городские агломерации, а урбанизированные районы и еще более крупные и сложные по составу урбанизированные зоны, каждая из которых включает в себя несколько таких районов. Иными словами, в мире продолжается процесс гиперурбанизации, мегалополизации расселения, создания все более сложных урбанистических систем.

Рис. 174, б. Фазы демографического перехода и стабилизации численности населения Земли
Некоторые ученые пытались определить географические черты такого глобального каркаса урбанизации. Было отмечено, что особенно значительная концентрация городов наблюдается в поясе шириной 1000 км, который расположен между 30 и 40° с. ш. Именно в его пределах находятся такие крупные скопления городов, как Европейское, Северо-Амери-канское, Восточно-Азиатское. Наряду с этим крупные скопления городов возникли и в других частях земного шара, например в Южной Азии.

Рис. 175. Изменение доли крупных регионов в населении Земли
Все это создает предпосылки для глобального прогнозирования, выдвижения гипотез будущего развития мировой урбанизации.
Одним из центров такого прогнозирования еще в 70-х гг. XX в. стал Международный центр экистики в Афинах, руководимый известным греческим ученым К. Доксиадисом, который разрабатывал программу под названием «Город будущего». Специалисты этого центра прогнозировали быстрый рост мегалополисов, число которых в мире, по их мнению, уже к 2000 г. должно было достигнуть 160, с концентрацией в них почти половины всего населения земного шара. Срастаясь между собой, эти мегалополисы должны были сформировать своего рода непрерывный город под названием Эйкуменополис, или Ойкуменополис (рис. 176).
Еще в 1970 г. сам К. Доксиадис выразил эту свою идею следующими словами: «Эйкуменополис, который человечество построит за следующие 150 лет, может быть настоящим городом человека, потому что впервые в истории человек будет иметь один город, а не множество городов, принадлежащих различным национальным, расовым, религиозным или местным группам, каждая из которых готова защищать своих членов, но также и готова сражаться с людьми из других городов. Эйкуменополис вследствие своего физического протяжения, структуры и формы будет состоять из многих больших и малых городов, взаимосвязанных в единую систему. Это будет уникальный город человека, образующий непрерывную, дифференцированную, но также объединенную структуру. N управляться он будет как единый организм».

Рис. 176. Эйкуменополис – непрерывный город К. Доксиадиса
Хотя прогнозы центра экистики не совсем оправдались, в целом в этой гипотезе, пожалуй, больше реалистичного, чем несбыточного. Вопрос только во времени.
179. Стратегия устойчивого развития
По вопросу об общей оценке современного состояния цивилизации существуют разные мнения – от относительно оптимистических до крайне пессимистических. В качестве примера очень пессимистической оценки можно привести довольно развернутую характеристику ситуации, которую дают видные отечественные ученые-экологи В. И. Данилов-Данильян и К. С. Лосев. Свои выводы они подтверждают пятью следующими доводами.
Это жестокий экологический кризис, который осознается еще далеко не всеми людьми и даже политиками, хотя последствия отрицания и даже преуменьшения этой опасности несопоставимы с издержками, потребовавшимися за последнюю четверть века для создания международной и национальной инфраструктур, с затратами на охрану окружающей среды и внедрение ресурсосберегающих технологий.
Это нарастающий социальный кризис с такими его атрибутами, как рост численности бедных и голодных, безработицы, разрыва между богатыми и бедными, и др.
Это демографический кризис, в результате которого поддерживается социальная напряженность, снижается площадь пахотных земель и объем продовольствия на душу населения. К тому же на арену жизни выходит огромная масса молодых людей, требующих своего места и своей доли благ. Наконец, идет ускоренный распад генома человека.
Это подспудно развивающийся экономический кризис, который время от времени проявляется в форме локальных финансовых кризисов, торгово-экономических войн и т. д.
Это духовный кризис человека, его «хроническая шизофрения» на фоне распада генома.[114]
В такой ситуации вполне закономерно, что мировое сообщество давно уже начало вести поиск более или менее единой стратегии действий, которую можно было бы противопоставить ухудшению всех перечисленных выше направлений мирового развития. Эта стратегия и получила наименование стратегии устойчивого развития.
Концепция устойчивого развития (sustanable development) восходит, по-видимому, к идее устойчивой экономики, предложенной еще в начале 1970-х гг., хотя корни ее уходят в еще более далекое прошлое. В начале 1980-х гг. руководитель института «Уорлду-отч» в Вашингтоне Лестер Браун начал применять этот термин к развитию городов, сельского хозяйства, промышленности и других сфер человеческой деятельности. В то же время во «Всемирной стратегии охраны природы» концепция устойчивого развития была напрямую связана с экологической проблематикой. Но в широкий обиход она вошла в 1987 г. после опубликования отчета о работе Международной комиссии по окружающей среде и развитию (МКОСР), созданной Генеральной Ассамблеей ООН и возглавлявшейся премьер-министром Норвегии Г. X. Брундтланд, который вышел под названием «Наше общее будущее». Вскоре эта концепция получила поддержку и на Второй всемирной конференции ООН в Рио-де-Жанейро (1992).
Само понятие об устойчивом развитии формировалось постепенно. В отчете «Наше общее будущее» говорилось о том, что «устойчивое развитие – это такое развитие, которое удовлетворяет потребности настоящего времени, но и не ставит под угрозу способность будущих поколений удовлетворять свои собственные потребности». На конференции в Рио-де-Жанейро такая трактовка была принята за основу, но значительно усовершенствована – главным образом благодаря прямой увязке устойчивого развития с глобальной экологической проблемой. В Декларации конференции устойчивое развитие было охарактеризовано как «стратегия, реализованная таким образом, чтобы в равной степени обеспечить удовлетворение потребностей в развитии и сохранении окружающей среды как нынешнего, так и будущих поколений». В 2000 г. это определение было безоговорочно поддержано участниками Саммита тысячелетия ООН.
В отечественной научной литературе приводилась и более детальная расшифровка этого понятия, включающая следующие основные положения:
– в центре внимания – люди, которые должны иметь право на здоровую и плодотворную жизнь в гармонии с природой;
– охрана окружающей среды должна стать неотъемлемым компонентом процесса развития и не может рассматриваться в отрыве от него;
– удовлетворение потребностей в развитии и сохранении окружающей среды должно распространяться не только на нынешнее, но и на будущие поколения;
– уменьшение разрыва в уровне жизни между странами, искоренение бедности и нищеты принадлежат к числу важнейших задач мирового сообщества;
– чтобы добиться устойчивого развития, государства должны исключить или уменьшить не способствующие этому модели производства и потребления.
При этом следует заметить, что хотя термин «устойчивое развитие» в целом, можно сказать, «прижился», в русскоязычной литературе он часто подвергается серьезной критике. Особенно непримиримым его противником выступал академик Н. Н. Моисеев, по мнению которого английское словосочетание sustanable development на русский язык следовало бы перевести как «допустимое развитие», или «развитие, согласованное с состоянием природы и ее законами». В трактовке же «устойчивого развития», по мнению ученого, применение этого термина может иметь негативный эффект хотя бы уже потому, что общественность может рассматривать такое развитие в качестве своего рода «панацеи» в борьбе с кризисом цивилизации. «Не вдаваясь в детали, объясняющие, почему термин «устойчивое развитие» бессмыслен с научной точки зрения, – пишет Н. Н. Моисеев, – скажу только, что понятие о развитии – антипод понятия об устойчивости и стабильности. Устойчивого развития просто не может быть, если есть развитие, то стабильности уже нет![115] Аналогичные критические замечания по отношению к этому термину не раз высказывали и другие российские ученые – экологи и географы. То же можно сказать и о ряде зарубежных специалистов. Некоторые авторитетные международные организации (ЮНЕП, МСОП) уже предлагали заменить его термином «устойчивая жизнь». Вспомним и то, что одна из книг бывшего вице-президента США, видного эколога Альберта Гора называлась «Сбалансированная Земля. Экология и дух человека».
Несмотря на такие терминологические разногласия, подавляющее большинство стран мира в целом уже поддержало стратегию устойчивого развития. Причем само это понятие получило дальнейшее углубление. В частности, Департаментом координации политики и устойчивого развития ООН разработан набор индикаторов устойчивого развития, включающий экономическую, социальную и экологическую категории. В соответствии с этим западными, а затем и российскими учеными были сформулированы три главных составных понятия устойчивого (сбалансированного) развития.
Во-первых, это устойчивое социальное развитие, при котором использование ресурсов должно быть направлено на цели обеспечения равноправия людей и социальной справедливости, на социальное благополучие, развитие культуры, на поддержание демографической стабильности и искоренение нищеты. Во-вторых, это экономически устойчивое развитие, которое имеет целью поддержание созданного материального и человеческого капитала (в том числе информационного и культурного). В-третьих, это экологически устойчивое развитие, при котором благополучие людей обеспечивается сохранением источников сырья и окружающей среды, недопущением уровня выбросов, превышающего ассимилизационные способности природы, организацией замещения невозобновляемых ресурсов возобновляемыми.
Из перечисленных выше трех составных частей особое внимание в научной литературе привлекает экологически устойчивое развитие. При этом речь идет либо о коэволюции природы и общества (Н. Н. Моисеев), либо о естественной биологической регуляции окружающей среды (В. Г. Горшков), либо о достижении динамического экологического равновесия. Но тем не менее всегда подчеркивается взаимосвязанность всех трех компонентов этого многопланового понятия. И действительно, устойчивое развитие человечества не может быть обеспечено без, по возможности, скорейшего затухания демографического взрыва с последующей стабилизацией численности населения Земли. Оно не может быть обеспечено без общего повышения благосостояния, ликвидации бедности, нищеты, голода, болезней в развивающемся мире. Оно подразумевает снижение удельных показателей потребления сырья и энергии при одновременном постепенном переходе от невозобновляемых к возобновляемым источникам природных ресурсов. Благоприятное воздействие на устойчивое развитие могло бы оказать и дальнейшее оздоровление международного политического климата.
В аспекте стратегии устойчивого развития ныне принципиально по-иному ставится вопрос об экономическом росте и экономическом развитии.
Еще в 60—70-х гг. XX в. понятия экономического роста и экономического развития обычно рассматривались как синонимы. Но затем мировой опыт показал, что подобное отождествление вряд ли можно считать правильным. Так, пример большинства развивающихся стран свидетельствует о том, что экономический рост вовсе не обеспечивает улучшения жизни людей. Американский ученый Лестер Браун назвал такой рост без развития «иллюзией прогресса». А на окружающую среду он оказывает сильнейшее деформирующее воздействие. Следовательно, экономический рост, как таковой, не может быть самоцелью.
Экономика, функционирующая в пределах глобальной экосистемы, должна иметь свои пределы. А экономическое развитие может быть успешным лишь в рамках экологических ограничений. Это и есть экологический императив. Под этим термином Н. Н. Моисеев подразумевал совокупность ограничений и запретов, нарушение которых должно привести к нарушению и даже разрушению благоприятных для жизни людей свойств окружающей среды. Можно сказать и иначе: под ростом подразумеваются в первую очередь количественные, а под развитием – качественные изменения.
Ученые отмечают, что в аспекте устойчивого развития в настоящее время сложились два подхода, довольно сильно различающиеся между собой.[116]
Первый подход – это стратегия «тотальной очистки», которая связывает устойчивое развитие человечества с экологически чистой энергетикой, безотходными технологиями, замкнутыми циклами производства. Данный подход исходит из того, что изменения в окружающей среде и деградация экологических систем являются следствием неправильного ведения хозяйства и могут быть устранены путем такой его перестройки, в результате которой оно не будет угнетать окружающую среду. Однако современные экологически чистые технологии обезвреживают производство максимум на 90–95 %, а достижение абсолютно полной очистки требует слишком больших средств. Создание абсолютно замкнутого технологического цикла, изолирующего производство от природы, также либо невозможно, либо слишком дорого. Во всяком случае, осуществить подобную стратегию, несмотря на определенные попытки, не удалось ни странам с рыночной, ни странам с централизованной экономикой. Поэтому при помощи первого подхода внедрить в жизнь в полном объеме концепцию устойчивого развития вряд ли возможно.
Дата добавления: 2015-05-05; просмотров: 429;
