Обобщение понятия угла
Основы тригонометрии.
| O |
| B |
| A |
Ð AOB = a, 0 ° £ a £ 180 °.
Рассмотрим в
окружность с центром в точке О радиуса r -
. На
выберем точку М.
ОА- начальный радиус
.
- радиус-вектор точки М, принадлежащей
.
Ð (ОА,
) = Ð AOМ = a.
Описание: Углом поворота AOМ называется угол, образованный вращением вокруг начала координат начального радиуса ОА до положения ОМ.
| y |
| x |
| M |
| A |
| a |
| y |
| x |
| M1 |
| M2 |
| a1 |
| a2 |
| А |
a1= Ð AOМ1 = 45° a2 = Ð AOМ2 = - 45°
Если начальный радиус повернуть против часовой стрелки на 180°, а потом еще на 30°, то угол поворота будет равен 210°. И начальный радиус сделает полный оборот, то угол поворота будет равен 360°, если он сделает полтора оборота в том же направлении, то угол поворота будет равен 540° и так далее.
Вывод: Угол поворота может принимать любые значения, большие 360° и меньшие - 360° .
Упражнение: Постройте углы 405°, - 210°, 840°, - 1320°, 2385°.
Рассмотрим в
окружность
. Построим угол a = Ð AO М = 150°.
Вопрос:Какие углы будут соответствовать этому же радиус-вектору?
Ответ: Если a= Ð AOМ = 150°, то углы 150° + 360° n, где n Î Z, соответствуют этому же радиус-вектору. При n= 0 , 1 , - 1 , 2 , - 2 получаем 150°, 510°, - 210°, 870°, -570°.
Вывод: Радиус-вектору
точки М, принадлежащей
, соответствует бесконечное множество углов, отличающихся друг от друга на целое число полных оборотов: b = a + 360 °× n , n Î Z.
Замечание: Пусть при повороте на угол a начальный радиус ОА переходит в положение
. В зависимости от того, в какой координатной четверти окажется радиус-вектор
, угол a называют углом этой координатной четверти (говорят, что угол a принадлежиткоординатной четверти).
Если a Î ( 0°; 90°), то a+ 360° n, где n Î Z, - углы 1-ой координатной четверти.
Если a Î ( 90°; 180°), то a+ 360° n, где n Î Z, - углы 2-ой координатной четверти.
Если a Î (180°; 270°), то a+ 360° n, где n Î Z, - углы 3-ей координатной четверти.
Если a Î (270°; 360°), то a + 360° n, где n Î Z, - углы 4-ой координатной четверти.
Углы 0º, ± 90º, ± 180º, ± 270º, ± 360º, … не принадлежат никакой координатной четверти.
Пример: Какой координатной четверти принадлежит угол- 2763°?
Решение: Разделив 2763° на 360°, выясним, сколько полных оборотов нужно сделать при построении данного угла. - 2763° = - 360° · 7 - 243°.
Так как угол - 243° принадлежит 2-ой к. ч., значит, угол - 2763° принадлежит 2-ой к. ч.
Ответ: - 2763° Î 2-ой к. ч.
Упражнение: Какой координатной четверти принадлежат углы: 598°, 3672°, - 1743°?
2. Градусная и радианная меры угла
| x |
| y |
| A1 |
| A2 |
| M1 |
| B1 |
| M2 |
| B2 |
часть одного полного оборота.
Рассмотрим в
окр. (О, ОА1 = r1),окр. (О, ОА2 = r2).
a = Ð A1 O В1= Ð A 2 O В2
Углу a соответствует дуга l1 = A1 М1 В1
, дуга l2 = A2 М2 В2
.
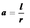
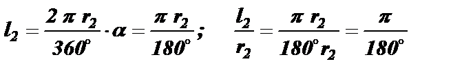
Для данного центрального угла a отношение длины дуги к длине радиуса есть величина постоянная.

;
Определение: Число а, равное отношению длины дуги l, соответствующей некоторому центральному углу a, к длине радиуса r, называется радианной мерой этого угла. 
Вывод: Если радиус окружности равен 1, то радианная мера центрального угла – это длина дуги, соответствующей этому центральному углу.
Определение: 1 радиан – единица радианной меры угла – это центральный угол, которому соответствует дуга, равная радиусу.
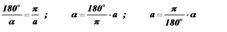
Всякий угол, заданный в градусной мере, можно перевести в радианную меру, и, наоборот, угол, заданный в радианной мере, можно перевести в градусную меру.
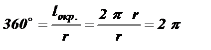
Углу 360° соответствует дуга, равная длине окружности (lокр. = 2p r ).
; 360° = 2p ;180° = p .
a – градусная мера данного угла;
а – радианная мера данного угла.

3.
| y |
| x |
| A |
| M |
| x |
| y |
| r |
| a |
Рассмотрим в
окружность с центром в точке О радиуса r =1 -
.
На
выберем точку М (x; y).
ОА- начальный радиус
.
- радиус-вектор точки М (x; y), принадлежащей
.
Ð (ОА, ОМ ) = Ð AO М = a.
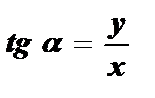
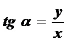
Определение: Синусом угла a называется ордината радиус-вектора точки М, принадлежащей
.

Определение: Косинусом угла a называется абсцисса радиус-вектора точки М, принадлежащей
.

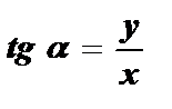
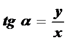
Определение: Тангенсом угла a называется отношение ординаты радиус-вектора точки М, принадлежащей
, к его абсциссе.

Определение: Котангенсом угла a называется отношение абсциссы радиус-вектора точки М, принадлежащей
,к его ординате.
С изменением угла a координаты радиус-вектора точки
меняются, а его модуль остается без изменения.
,
,
,
– переменные величины, зависящие от a. Каждому допустимому значению a соответствует единственное значение
,
,
,
. Поэтому синус, косинус, тангенс и котангенс являются функциями угла a. Их называюттригонометрическими функциями.
Функции
и
определены при любом значении
, так как для любого угла поворота можно найти значения координат y и x.
Вывод:
;
.
Функция
имеет смысл при любом
, кроме углов поворота ±
, ±
, ±
, …, так как для этих углов не имеет смысла дробь
( x = 0 ) .
Функция
имеет смысл при любом
, кроме углов поворота 0, ± p , ± 2 p, …, так как для этих углов не имеет смысла дробь
( y = 0 ) .
Вывод: 1)

2)
Замечание:
1) Углы
, называют углами вертикального диаметра (Рис.1).
| y |
| x |
| y |
| x |
, называют углами горизонтального диаметра(Рис.2).
Рис.1. Рис.2.
4. Знаки тригонометрических функций
Так как
, то знак
зависит от знака ординаты y. В 1-ой и 2-ой координатных четвертях y > 0, в 3-ей и 4-ой координатных четвертях y < 0.
Вывод:
, если a является углом 1-ой или 2-ой координатных четвертей,
, если a является углом 3-ей или 4-ой координатных четвертей.
Так как
, то знак
зависит от знака абсциссы x. В 1-ой и 4-ой координатных четвертях x > 0, во 2-ой и 3-ей координатных четвертях x < 0.
Вывод:
, если a является углом 1-ой или 4-ой координатных четвертей,
, если a является углом 2-ой или 3-ей координатных четвертей.
Так как
и
, то знаки
и
зависят от знаков x и y.
В 1-ой и 3-ей к. ч. x и y имеют одинаковые знаки, а во 2-ой и 4-ой к. ч. x и y имеют разные знаки.
Вывод:
,
, если a является углом 1-ой или 3-ей к. ч.,
,
, если a является углом 2-ой или 4-ой к. ч.
| y |
| x |
| y |
| x |
| y |
| x |
| + |
| - |
| - |
| - |
| - |
| - |
| - |
| + |
| + |
| + |
| + |
| + |

Пример: Определить знак выражения: 1) sin 973º; 2)
.
Решение:
1) 973º = 360º·2 + 253º; 253ºÎ (180°; 270°), значит, 973ºÎ 3-ей к. ч.,
следовательно, sin 973º < 0 .
2)
Î 4-ой к. ч., значит,
Î 4-ой к. ч.,
следовательно,
.
Ответ: sin 973º < 0;
.
Упражнения:
№1. Среди углов 770º, 480º, – 50º, 1560º, – 240º, – 310º найдите такие углы, при которых начальный радиус займет то же положение, что и при повороте на угол: а) a = 50º; б) a = 120º.
№2. Определите знак выражения:
cos 567º; sin 5791º; tg 269º; ctg (– 705º); cos 1259º; ctg
.
№3. Какой знак имеют
,
,
,
, если:
.
№4. Определите знак выражения:
а) sin 190º · tg 200º ; б) cos 320º · ctg 79º ; в) cos 271º · sin 453º · tg 514º · ctg 378º,
г) – sin 50º ·(– cos (– 91º)) · tg 170º· ctg (– 640º) · sin 530º.
№5. Углом какой координатной четверти является угол a, если:
а) sin a > 0 и cos a > 0; г) sin a > 0 и tg a > 0;
б) sin a < 0 и cos a > 0; д) tg a < 0 и cos a > 0;
в) sin a < 0 и cos a < 0; е) ctg a > 0 и sin a < 0.
5. Значения тригонометрических функций основных углов.
210º
|
330º
|
| х |
| у |
| 0º (0) |
30º
|
45º
|
60º
|
90º
|
120º
|
240º
|
225º
|
135º
|
150º
|
| 180º (p ) |
270º
|
315º
|
300º
|
| 360º (2p ) |
.
Воспользуемся определениями тригонометрических функций для нахождения значений тригонометрических функций основных углов.
Основные углы:
| у |
| x |
| М1 (1; 0) |
| М2 (0; 1) |
| М3 (– 1; 0) |
| М4 (0; –– 1) |
Радиус-вектор
,образующий углы 0º и 360º, имеет координаты (1; 0 ).
sin 0º = sin 360º = y = 0; cos 0º = cos 360º = x = 1;
tg 0º = tg 360º =
= 0; ctg 0º = ctg 360º =
– не существует.
Радиус-вектор
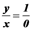
,образующий угол 90º, имеет координаты (0; 1 ).
sin 90º = y = 1; cos 90º = x = 0;
tg 90º =
– не существует; ctg 90º =
= 0 .
Радиус-вектор
,образующий угол 180º, имеет координаты ( – 1; 0 ).
sin 180º = y = 0; cos 180º = x = –1;
tg 180º =
= 0; ctg 180º =
– не существует.
Радиус-вектор
,образующий угол 270º, имеет координаты (0; – 1 ).
sin 270º = y = –1; cos 270º = x = 0;
М
|
М
|
М
|
| у |
| у |
| у |
| х |
| х |
| х |
| А |
| А |
| А |
| В |
| В |
| В |
| х |
| у |
| у |
| у |
| х |
| х |
| a |
| a |
| a |
– не существует; ctg 270º =
= 0
Рис.1. a = 30º. Рис.2. a = 60º. Рис.3. a = 45º.
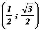
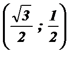
Рис.1. Радиус-вектор
, образующий угол a = 30º, имеет координаты
.
sin 30º = y =
; cos 30º = x =
; tg 30º =
=
; ctg 30º =
=
.
Рис.2. Радиус-вектор
, образующий угол a = 60º, имеет координаты 
sin 60º = y =
; cos 60º = x =
; tg 60º =
=
; ctg 60º =
=
.
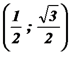
Рис.3. Радиус-вектор
, соответствующий углу a = 45º, имеет координаты
sin 45º = y =
; cos 45º = x =
; tg 45º =
= 1; ctg 45º =
= 1.
Пример:
№1. Вычислить значения всех тригонометрических функций углов:
a)
| х |
| у |
М3
|
М1
|
М2
|
М4
|
М5
|
М6
|
| А |
| a2 |
| a1 |
| a3 |
;
b) a2 = 225º
;
c) a3 = 330º
.
Решение:
a) Радиус-вектор
, соответствующий углу a = 60º, имеет координаты 
Радиус-вектор
, соответствующий углу a =120º, имеет координаты 
sin 120º = y =
; cos 120º = x =
; tg 120º =
=
; ctg 120º =
=
.
b)Радиус-вектор
, соответствующий углу a = 45º, имеет координаты
.
Радиус-вектор
, соответствующий углу a =225º, имеет координаты
.
sin 225º = y =
; cos 225º = x =
; tg 225º =
= 1; ctg 225º =
= 1.
c) Радиус-вектор
, соответствующий углу a = 30º, имеет координаты 
Радиус-вектор
, соответствующий углу a=330º, имеет координаты
.
sin 330º = y =
; cos 330º = x =
; tg 330º =
=
; ctg 330º =
=
.
№2. Для каких значений угла верно равенство: 1) cos b = 0; 2)
.
Решение:
| y |
| x |
| y |
| x |
a +
=
+ 2p k , k Î Z
a =
–
+ 2p k , k Î Z
a = - p + 2p k , k Î Z
a = p + 2p k , k Î Z
b =
+ p k , k Î Z
Ответ: 1) b =
+ p k , k Î Z ; 2) a = p + 2p k , k Î Z .
№3. Найти область допустимых значений аргумента a :
.
Решение:
1) Исключаем значения a , при которых не существует ctg a: a ¹ p k , k Î Z.
2) Исключаем значения a, при которых знаменатель дроби sin a +1 обращается в нуль: sin a +1 ¹ 0; sin a ¹– 1;a ¹
+ 2p k , k Î Z
Ответ:a ¹ p k , k Î Z ; a ¹
+ 2p k , k Î Z .
Упражнения:
№1. Вычислить значения всех тригонометрических функций углов:
135º
; 150º
; 210º
; 240º
; 300º
; 315º
.
№2. Найти значение выражения:
а) 2 sin p –2 cos
+3 tg
– ctg
; б) cos 2
– cos 2
;
в) 3 sin 2
–4 tg 2
– 3 cos 2
+3 ctg 2
; г) tg
× cos 2
× sin
;
д)
; е)
.
№3. Для каких значений углаверно равенство:
а) sin a = 1; б) cos b = – 1; в) tg a = 0; г) ctg b =1.
6. Изменение тригонометрических функций с увеличением угла.
Рассмотрим в
окружность с центром в точке О радиуса r= 1.
ОА- начальный радиус окр. (О, r =1).
- радиус-вектор точки М (x; y), принадлежащей окр. (О, r =1).
Ð (ОА , ОМ ) = a.
Проследим за изменением каждой из четырех тригонометрических функций в отдельности при изменении угла a от 0º до 360º.
sin a ведет себя как ординатаy радиус-вектора точки М, принадлежащей окр. (О, r =1).
(Рис. 1.)
Если a Î ( 0°; 90°), то
увеличивается от 0 до 1.
Если a Î ( 90°; 180°), то
уменьшается от 1 до 0.
Если a Î (180°; 270°), то
уменьшается от 0 до – 1.
Если a Î (270°; 360°), то
увеличивается от – 1 до 0.
Вывод: 1.
– не монотонная функция.
2.
, то есть
– множество значений 
3.
– ограниченная функция, так как
.
| y |
| x |
| (1; 0) |
| (0; 1) |
| (– 1; 0) |
| (0; – 1) |
| y |
| x |
| (1; 0) |
| (0; 1) |
| (– 1; 0) |
| (0; – 1) |
Рис. 1. Рис. 2.

ведет себя как абсцисса x радиус-вектора точки М, принадлежащей окр. (О, r =1).
(Рис. 2.)
Если a Î ( 0°; 90°), то cos a уменьшается от 1 до 0.
Если a Î ( 90°; 180°), то cos a уменьшается от 0 до – 1.
Если a Î (180°; 270°), то cos a увеличивается от – 1 до 0.
Если a Î (270°; 360°), то cos a увеличивается от 0 до 1.
Вывод: 1.
– не монотонная функция.
2.
, то есть
– множество значений
.
3.
– ограниченная функция, так как 

Через конец начального радиуса ОА точку А проведем ось АТ, параллельную оси Оу. Радиус-вектор
, соответствующий углу a , продолжим до пересечения с осью АТ в
точке N. Алгебраическая величина отрезка АN равна tg a , где a – угол любой из четырех координатных четвертей (Рис. 1).
| x |
| y |
| + ¥ |
| - ¥ |
| N |
| N |
| N |
| N |
| A |
| x |
| y |
| N |
| М |
| N |
| A |
| М |
| М1 |
| М |
| М1 |
| М |
| Т |
| Т |
Рис.1. Рис.2.
Если a Î ( 0°; 90°), то tg a = АN возрастает от 0 до + ¥ при увеличении угла a.
Если a Î ( 90°; 180°), то tg a = АN возрастает от –¥ до 0 при увеличении угла a.
Если a Î (180°; 270°), то tg a = АN возрастает от 0 до + ¥ при увеличении угла a.
Если a Î (270°; 360°), то tg a = АN возрастает от –¥ до 0 при увеличении угла a.
Вывод: 1.
– возрастающая функция.
2.
, то есть
– множество значений
.
3.
– неограниченная функция, так как
.

Так как дроби
и
взаимно обратны, следовательно,
и
взаимно обратны.
Если a Î ( 0°; 90°), то ctg a убывает от + ¥ до 0 при увеличении угла a.
Если a Î ( 90°; 180°), то ctg a убывает от 0 до –¥ при увеличении угла a.
Если a Î (180°; 270°), то ctg a убывает от + ¥ до 0 при увеличении угла a.
Если a Î (270°; 360°), то ctg a убывает от 0 до –¥ при увеличении угла a.
Вывод: 1.
– убывающая функция.
2.
, то есть
– множество значений
.
3.
– неограниченная функция, так как
.
Упражнения:
№1. Определить знак выражения: а) sin 130º – sin 140º; б) tg 220º – tg 210º.
№2. Каковы наибольшее и наименьшее значения выражения:
а) 1 + sin a ; б) 2 – cos a ; в) 1 – sin a ; г) 2 + cos a .
№3. Может ли sin aпринимать значение, равное:
.
№4. Записать в порядке возрастания значений:
а) sin 40º, sin 90º, sin 220º, sin 270º, sin 10º;
б) cos 15º, cos 0º, cos 90º, cos 138º, cos 180º;
в) cos 10º, sin 135º, cos 180º, sin 90º.
7. Соотношения между тригонометрическими функциями одного аргумента.
| x |
| y |
| A |
| M |
| x |
| y |
| r |
| a |
| В |
Рассмотрим в
.
ОА- начальный радиус
.
ОМ - радиус-вектор точки М (x; y), принадлежащей
.
Ð (ОА , О М ) = Ð AO М = a .

Возведем равенства (1) и (2) в квадрат и сложим почленно:

Координаты х и у радиус-вектора ОМ , взятые по абсолютной величине, представляют собой длины катетов ОВ и МВ прямоугольного треугольника ОМВ ; сумма их квадратов равна квадрату гипотенузы ОМ : х 2 + у 2 = r 2 .
sin 2a + cos 2a = 1
Сумма квадратов синуса и косинуса одного и того же угла равна единице.
По определению
(
), величина дроби
(
)не изменится, если ее числитель и знаменатель разделить на одно и то же число r ¹ 0 .

, a ¹
+ p k , k Î Z .
Тангенс угла есть отношение синуса этого угла к косинусу того же угла.
, a ¹ p k , k Î Z .
Котангенс угла есть отношение косинуса этого угла к синусу того же угла.
tg a · сtg a = 1 или сtg a =
или tg a =
, a ¹
k , k Î Z .
Котангенс угла есть величина, обратная тангенсу этого же угла, и наоборот.
Разделим обе части равенства sin 2 a + cos 2 a = 1 на cos 2 a, получим:

Разделим обе части равенства sin 2 a + cos 2 a = 1 на sin 2 a, получим:
, a ¹
+ p k , k Î Z .
Дата добавления: 2016-11-22; просмотров: 1781;
