Трубчатые теплообменники.
Это наиболее часто применяемые теплообменники.
1 — кожух; 2 — приваренные к корпусу трубные решетки; 3 — пучок труб, закрепленный в трубных решетках; 4 — крышки, крепятся к трубным решеткам на болтах.
В теплообменнике одна из обменивающихся теплом сред движется внутри труб, другая — в межтрубном пространстве.
Среды обычно направляют противотоком друг к другу.
При этом нагреваемую направляют снизу вверх, отдающую тепло — сверху вниз.
В многоходовом теплообменнике с помощью поперечных перегородок 5, установленных в крышках теплообменника, трубы разделены на секции, по которым движется жидкость.
Если средняя разность температур труб и кожуха в теплообменниках становится значительной (большей 50°С), то трубы и кожух удлиняются неодинаково, что вызывает значительные напряжения в трубных решетках и может нарушить плотность соединения труб с решетками, привести к разрушению сварных швов и смешению сред. Как результат — к аварии. Поэтому в таких случаях применяют кожухотрубчатые теплообменнники нежесткой конструкции, допускающие некоторое перемещение труб относительно кожуха аппарата.
1) теплообменники с линзовым компенсатором, подвергающимся упругой деформацией. Такая конструкция отличается простотой, применяется при небольших избыточных давлениях;
2) теплообменник с плавающей головкой, в котором нижняя трубная решетка является подвижной, что позволяет всему пучку труб свободно перемещаться независимо от корпуса аппарата, чем предотвращается температурная деформация труб и нарушение плотности соединения корпуса с трубными решетками. Однако это достигается за счет усложнения и утяжеления конструкции;
3) теплообменник с U-образными трубами, в котором сами трубы выполняют роль компенсирующих устройств, при этом облегчается и упрощается конструкция аппарата.
Для повышения скорости движения среды в межтрубном пространстве без применения перегородок, затрудняющих очистку, используют элементные теплообменники. Каждый элемент представляет собой простейший кожухотрубчатый тпелообменник. Нагреваемая и охлаждаемая среды последовательно проходят через отдельные элементы, состоящие из пучка труб в кожухе небольшого диаметра. Такой теплообменник допускает значительные избыточные давления в межтрубном пространстве. Недостаток — высокая стоимость вследствие сложности конструкции.
Двухтрубчатые теплообменники (теплообменники «труба в трубе») состоят из нескольких последовательно соединенных трубчатых элементов, образованных двумя концентрически расположенными трубами. Один теплоноситель движется по внутренним трубам, другой — по кльцевому аззору между внутренними и наружными трубами. Достоинства — довольно высокая скорость жидкости, что позволяет получать высокие коэффициенты теплопередачи и более высокие нагрузки на единису массы аппарата, а также снижать скорость загрязнения аппарата вследствие высоких скоростей движения сред. Недостатки — громоздкость, металлоемкость.
Змеевиковые теплообменники
В погружных теплообменниках капельная жидкость, газ или пар движутся по спиральному змеевику, погруженному в жидкость, находящуюся в корпусе аппарата. Для таких аппаратов характерны низкие значения коэффициента теплопередачи, устойчивая работа теплообменника при колебаниях режима, невысокое гидравлическое сопротивление аппарата, низкие тепловые нагрузки. Однако они обладают простой конструкцией, дешевы, доступны для ремонта и удобны для работы при высоких давлениях и в химически активных средах.
Оросительные теплообменникипредставляют собой змеевики из размещенных друг над другом прямых труб, соединенных калачами. Трубы обычно расположены в виде вертикальных параллельных секций с общими коллекторами для подачи и отвода охлаждаемой среды. Такие теплообменники применяются главным обращзом в качестве холодильников и конденсаторов, причем около половины тепла отводится при испарении охдаждающей воды, что резко снижает расход воды по сравнению с другими теплообменниками. Кроме того, такие теплообменники характеризуются простотой конструкции и легкостью очистки наружной поверхности труб. Однако они громоздки, подвержены коррозии кислородом воздуха, не герметичны. Помимо того, присутствует неравномерность смачивания наружной поверхности труб, что приводит к неравномерной нагрузке на различные части аппарата.
Пластинчатые теплообменники
В пластинчатом теплообменнике поверхность теплообмена образуется гофрированными параллельными пластинами, с помощью которых создается система узких каналов между стенками. Жидкости, между которыми происходит теплообмен, движутся в каналах между смежными пластинами, омывая противоположные боковые стороны каждой пластины.
Оребренные теплообменники
Применение оребрения со стороны теплоносителя, отличающегося низкими коэффициентами теплоотдачи, позволяет значительно повысить тепловые нагрузки аппаратов. Существуют конструкции с поперечными, трапециевидными, продольными, плавниковыми, проволочными, игольчатыми, непрерывными, спиральными ребрами и т.д. Трубы с поперечными ребрами часто используют в аппаратах для нагревания воздуха.
В спиральных теплообменниках поверхность теплообмена образуется двумя металлическими листами, свернутыми по спирали. Благодаря особой конструкции, внутри аппарата образуются два изолированных один от другого спиральных канала, по которым противотоком движутся теплоносители.
Теплообменные устройства реакционных аппаратовприменяются для охлаждения или нагревания реакционных и других аппаратов разнообразных конструкций. К числу таких устройств относятся рубашки (используют в качестве теплообменного элемента всю боковую поверхность стенки аппарата), змеевики (крепятся снаружи к стенке аппарата) и другие устройства.
Лекция 17Тепловой расчет теплообменных аппаратов. Проверочный расчет теплообменных аппаратов
Рассмотрим рекуперативный теплообменник, например кожухотрубчатый теплообменник.
Различают проектный и проверочный расчеты теплообменников.
Цель проектного расчета – определение необходимой площади (F) и режима работы теплообменника для обеспечения заданного переноса теплоты от одного теплоносителя к другому.
Цель проверочного расчета – определение количества передаваемой теплоты и конечных температур теплоносителей в данном теплообменнике с заданной площадью (F) при заданных условиях его работы.
Основы расчетов: уравнения теплопередачи и тепловых балансов.
Проектный расчет теплообменников.
Задано: расход,
одного из теплоносителей,
другого теплоносителя.
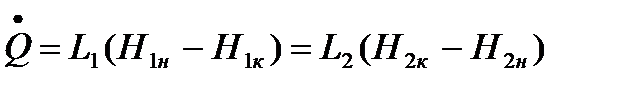
Расход тепла
определяется по основному уравнению теплопередачи:
(4.66)
тепловой баланс можно записать следующим образом:
(4.67)
Здесь
расходы теплоносителей;
начальная и конечная энтальпия более нагретого теплоносителя;
конечная и начальная энтальпия менее нагретого теплоносителя, то

С – теплоемкость теплоносителя при
.
Если агрегатное состояние не меняется, то
находится как среднеарифметическое:

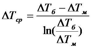
Среднюю движущую силу
определяют как среднелогарифмическую:
(4.68)
для модели идеального вытеснения.
Рис.4.28.
Для противотока уравнение (4.68) имеет вид:
(4.69)
Если
то
.
В аппаратах с противотоком
больше, чем в аппаратах с прямотоком.
Определение коэффициента теплопередачи K:
(4.70)
Значение (приближенное) можно брать из справочников, или же определить (приближенно) по критериальным уравнениям типа
.
По известным
определяют предварительное значение F.
Проверочный расчет теплообменника.
Проверочный расчет теплообменника проводят после выбора типа и конструкции теплообменника (нормализованного). Производят уточненный расчет
. Далее сопоставление
и
, если
расчет прекращают.
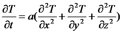
Кондуктивный теплообмен в плоской стенке
Т
Рассмотрим плоскую стенку из однородного
Т1 материала. Общее уравнение нестационарной
теплопроводности Фурье имеет вид:
λ Т2
Х
(4.1)
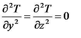
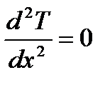
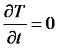
Процесс стационарный, точка
, считаем, что высота и длина стенки гораздо больше толщины стенки
, следовательно
.
Поскольку
, имеем:
(4.2)
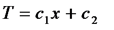
Очевидным решением этого уравнения является:

откуда:
(4.3)
Из полученного уравнения 4.3 видно, что в плоской стенке распределение Т является прямолинейным.
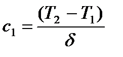
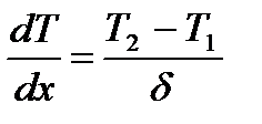
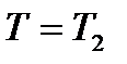
Граничные условия:
при
,
при
.
Находим
и
,
.
(4.4)
Распределение T по толщине
:
(4.5)
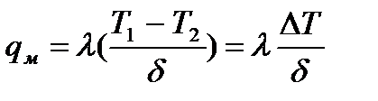
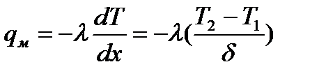
Поток тепла за счет теплопроводности определяется по закону Фурье:
(4.6)
(4.7)
Здесь
- характеризует тепловую проводимость стенки, а
- термическое сопротивление стенки.
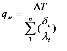
Для многослойной стенки:
(4.8)
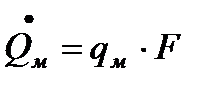
Количество теплоты:
(4.9)
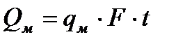
Расход тепла:
(4.10)
Здесь F – поверхность пластины, t – время.
Дата добавления: 2015-10-29; просмотров: 1273;
