Сглаживающие фильтры
8.1 Общие сведения
Сглаживающие фильтры применяются для сглаживания пульсаций выпрямленного напряжения до уровня, который требуется по условиям эксплуатации в устройствах питаемых данным выпрямителем.
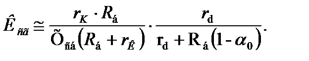
Оценка сглаживания фильтра производится по величине его коэффициента сглаживания. Коэффициентом сглаживания фильтра на основной гармонике пульсаций принято считать отношение коэффициента пульсаций на входе фильтра
к коэффициенту пульсаций на его выходе
для первой гармоники.
(1.1)
В развернутом виде коэффициент сглаживания для основной гармоники
(1.2)
где
– амплитуда основной гармоники пульсаций на входе и выходе фильтра.
- постоянная составляющая напряжения на входе и выходе фильтра.
Выражение
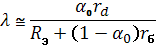
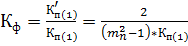
называют коэффициентом передачи постоянной составляющей напряжения с входа фильтра на его выход, характеризующим потерю напряжения в фильтре, а отношение
– коэффициентом фильтрации, который устанавливает во сколько раз уменьшается амплитуда пульсаций основной гармоники на выходе фильтра по сравнению с его амплитудой пульсаций на его входе.
Величина λ для фильтров выпрямителей большой мощности λ=0,99; малой мощности λ=0,91…0,95; для фильтров без потерь λ=1.
Пренебрегая потерями в фильтре, коэффициент сглаживания
приравнивают к коэффициенту фильтрации:
(1.3)
Коэффициент пульсации на нагрузке:
(1.4)
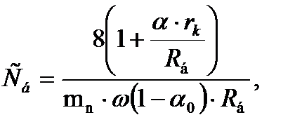
Коэффициент пульсации на входе фильтра зависит от выбранной схемы выпрямителя и определяется из выражения:
, (1.5)
где
– число основных пульсаций выпрямленного напряжения за период питающего напряжения.
Тогда коэффициент фильтрации фильтра через коэффициенты пульсаций:
(1.6)
При выборе фильтра необходимо учитывать условия, при которых работает фильтр, с тем чтобы существенно не ухудшился режим работы выпрямителя.
Необходимо предусматривать малое выходное сопротивление фильтра:
(1.7)
Чтобы существенно не ухудшался режим работы выпрямителя, необходимо правильно выбрать схему фильтра и параметры его элементов.
Например, в мощных выпрямительных установках не рекомендуется использовать фильтры емкостным входным звеном, так как амплитуда ухудшают форму тока в вентилях и обмотках трансформатора. И, наоборот, для выпрямителей малой мощности, емкостные фильтры применяемы.
Сглаживающие фильтры в зависимости от того, из каких элементов они выполнены, делятся на :
- фильтры на RLC пассивных элементах;
- электронные фильтры;
- фильтры в микроэлектронном исполнении.
8.2 Сглаживающие фильтры на пассивных элементах.
Индуктивный фильтр.
Индуктивный фильтр применяется для выпрямителей средней и большой мощности, так как позволяет обеспечить непрерывность тока в цепи нагрузки и благоприятный режим работы выпрямителя.
Под воздействием синусоидальной ЭДС с амплитудой
на нагрузке (рис.1) возникает напряжение с амплитудой
(1.8)
Постоянная составляющая напряжения на нагрузке равна среднему значению напряжения на выходе выпрямителя.
Puc.1
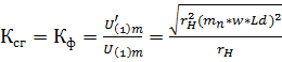
Коэффициент сглаживания фильтра равняется коэффициенту фильтрации:
(1.10)
Откуда индуктивность фильтра:
(1.11)
Учитывая выражение (1.6) и пренебрегая единицей в выражении (1.10) получим:

Для выпрямителя с двухтактной частотой пульсаций выпрямленного напряжения
.

Емкостной фильтр
Для маломощных потребителей простейшим фильтром является конденсатор, подключенный параллельно нагрузке (рис.2)
Puc.2
Если сопротивление нагрузки значительно больше емкостного сопротивления конденсатора для основной гармоники, то можно считать, что переменная составляющая тока вентиля равна току конденсатора, а постоянная составляющая – току нагрузки.
Ток в вентиле однополупериодного выпрямителя определяется по методике, применяемой к расчету однофазного мостового выпрямителя с емкостной нагрузкой.
,
где
– сопротивление учитывающие потери в обмотках трансформатора и вентилей.
Постоянная составляющая тока в вентиле:

Амплитуда основной гармоники тока в вентиле:

Таким образом:

Амплитуда переменной составляющей напряжения на конденсаторе( на нагрузке):

где
Id – постоянная составляющая тока вентиля, 
Если коэффициент пульсации на нагрузке:
,
То, учитывая, что
, получим выражение, позволяющее определить емкость конденсатора для однополупериодного выпрямителя:
(1.11)
Для двухполупериодных выпрямителей:


oтсюда 
Для большинства режимов
, следовательно,
, поэтому для двухполупериодных выпрямителей:
(1.12)
Обычно
, тогда из (1.9)
(1.13)
Сглаживающая способность фильтра на основании выражения (1.13) повышается с увеличением числа фаз выпрямителя, а также с увеличением индуктивности
и уменьшения
.
В маломощных выпрямителях применение простейшего индуктивного фильтра менее эффективно, так как
относительно велико. Для получения необходимого коэффициента сглаживания пришлось бы с целью выполнения условия
значительно завышать индуктивность сглаживающего дросселя.
Эту задачу решают не увеличением L , а уменьшением сопротивления цепи нагрузки переменному току путем включения параллельно нагрузке конденсатора фильтра, т.е. использованием Г-образного LC-фильтра (рис.3).
Puc.3
С помощью конденсатора более эффективно осуществляется разделение переменной и постоянной составляющих в входной цепи выпрямителя: задержание дросселей переменной составляющей напряжения Ud и пропусканием им постоянной составляющей в нагрузку.
Коэффициент сглаживания Г-образного LC-фильтра:
С учетом неравенства 


Отсюда 
Или через
LC-1 – для однополупериодного выпрямителя.
Для двухполупериодного выпрямителя m=2.

Отсюда
где 
При расчете LC учитывают его выходное сопративление переменному току
и постоянной времени 
При проектировании LC-фильтров необходимо избегать явления резонанса. Для этого необходимо, чтобы собственная частота фильтра
была меньше частоты основной гармоники пульсаций
и не кратна ей. При работе фильтра обычно является достаточным обеспечением условий.

Для получения лучшего сглаживания напряжения применяют многозвенные Г-образные LC-фильтры, состоящие их двух, трех и более отдельных фильтров (рис.4)
Puc.4
Их применяют при
. Расчет производят по суммарному коэффициенту сглаживания с учетом коэффициента сглаживания входящих звеньев
.

Принимают элементы фильтра
n,
n.
П-образный фильтр.
П-образный фильтр относится к многозвенным фильтрам (последовательное соединение LC-фильтров). Элементы звеньев такого фильтра подбирают таким образом, чтобы каждое последующие звено не влияло на работу предыдущего.
Необходимо чтобы сопротивление дросселя последующего звена значительно превышало сопротивление конденсатора предыдущего звена, а сопротивление
, было больше сопротивления шунтирующего конденсатора для основной гармоники.
В П-образном фильтре (рис.5), (рис 6) для потребителей малой мощности, первым звеном является конденсатор
, а вторым – Г-образный LC или RC-фильтр.
Коэффициент фильтрации П-образных фильтров
,
Puc.5 Puc.6
где
– коэффициент фильтрации емкостного фильтра
;
– коэффициент фильтрации Г-образного фильтра, который связан с параметрами L и C выражением:

Расчет П-образного фильтра.
Если задан коэффициент пульсации на нагрузке
и выбрана схема выпрямителя
, то рассчитываем коэффициент фильтрации всего фильтра. Затем задаемся коэффициентом пульсаций на выходе первого звена и вычисляем емкость
.
При этом
рекомендуется брать не меньше 0,02 и не больше 0,1, так как в противном случае конденсатор
будет сильно искажать форму выпрямленного тока.
Определив коэффициент фильтрации второго звена и задавшись емкостью
, подсчитываем индуктивность дросселя, чтобы выполнялось условие:

Для выпрямителей питающих потребители малой мощности ( так нагрузки несколько миллиампер, а сопротивление
несколько тысяч Ом), вместо дросселя в Г-образном фильтре используют резистор (рис7)
Puc.7
Коэффициент фильтрации такого фильтра
откуда

– коэффициент передачи постоянного напряжения с входа на выход фильтра.
– коэффициент сглаживания.
Величина сопротивление r выбирают из условия:

Из более сложных схем однофазных фильтров находит применение схема LC-фильтра с компенсирующей обмоткой (рис.8)
Puc.8
Напряжение наводимое током
на обмотке 3-4, получается в противофазе с напряжением на конденсаторе С. Коэффициент сглаживания для него:

Число витков компенсационной обмотки
,
где
– число витков основной обмотки.
Дроссель с
рекомендуется применять во втором звене двухзвенного фильтра. Основным недостатком таких дросселей является влияние величины и характера нагрузки выпрямителя на сглаживающие действия фильтра.
Перенапряжения на элементах фильтра.
Возникают при включении выпрямителей о=и отключении нагрузки . В выпрямителях с емкостным фильтром при сбросе нагрузки конденсаторы заряжаются до амплитудного значения напряжения, тоесть, до 
В выпрямителях с индуктивным фильтром при сбросе нагрузки напряжение на конденсаторах достигает значения

При включении выпрямителя напряжение на конденсаторах

Из-за этого переменное напряжение на выходе фильтра (обмотки 0-4) получается меньшим, чем на конденсаторе С.
В таком фильтре удается повысить коэффициент сглаживания пульсаций в 3-4 раза.
Резонансные фильтры.
Резонансные фильтры обладают высоким коэффициентом фильтрации гармоник напряжения. Они основаны на явлении резонанса токов (рис.9) (фильтры пробки) и резонанса напряжений (режекторные фильтры) (рис.10)
Puc.9
Puc.10
Коэффициент фильтрации резонансного Г-образного фильтра для любой гармоники (фильтры-пробки) (рис.9)

Сопротивление резонансного контура

Применяя цепочку фильтров-пробок, настроенных каждая в резонансах на определенную гармонику, можно осуществить фильтрации нескольких гармоник.
Сопротивление резонансной цепочки
режекторного фильтра (рис.10) при резонансе минимально и определяется активным сопротивлением ветви
.
Коэффициент фильтрации такого фильтра для любой гармоники:

Для фильтрации ряда гармонических составляющих пульсирующего тока параллельно нагрузки подключают несколько режекторных фильтров, настроенных каждый на определенную частоту.
Для высокой фильтрации гармоник используют фильтр-пробку и режекторный фильтр совместно.
Недостатками резонансных фильтров является необходимость индивидуальной настройки каждого фильтра и снижение коэффициента фильтраций при изменении частоты внешнего источника питания.
2. Электронные сглаживающие фильтры.
Недостаток RLC – фильтров:
- большая масса и габариты;
- вредное влияние на питаемую радиоэлектронную аппаратуру оказывают магнитные поля рассеяния дросселя с воздушным зазором.
Полупроводниковые фильтры не содержат сглаживающих дросселей. Коллекторная характеристика транзистора подобна кривой намагничивания ферримагнитного сердечника дросселя. Поэтому транзистор может выполнять роль дросселя фильтра.
Схемы транзисторных фильтров различают в зависимости от способа подключения нагрузки. Это схемы с потребителем, включенным последовательно в цепь коллектора или эмиттера либо параллельно транзистору.
Рис.11
Включение в схему (рис.11) резистора
позволяет значительно снизить э.д.с.
в коллекторной цепи, а включение элементов ослабляет переменную составляющую пульсаций на входе транзистора.
- коэффициент передачи напряжения
,
где
– статический коэффициент усиления в схеме с общей базой.

где
– динамический коэффициент усиления
,где


На рис.12 представлена схема фильтра вавтоматическим смещением напряжения по базе транзистора.
Рис.12
Схема (рис.12) устойчиво работает при изменении температуры окружающей среды в широком диапазоне. Она мало чувствительна к изменению нагрузки и не требует индивидуальной настройки при замене транзистора. Но максимальный
её в два раза меньше, чем в схеме с фиксированным смещением.
Фильтры с потребителем в коллекторной цепи применяют при малых нагрузках, когда

т.е. когда сопротивление нагрузки значительно больше выходного сопротивления фильтра.
Для уменьшения входного сопротивления транзисторный фильтр целесообразно составить на основе эмиттерного повторителя с включением потребителя в эмиттерную цепь (рис.13).
Рис.13
В результате выходное сопротивление фильтра становится минимальным, коэффициент усиления по напряжению равен единице. В схеме имеет место автоматическое смещение постоянной составляющей напряжения на базу транзистора. Поэтому фильтр устойчиво работает при изменении температуры окружающей среды.



Коэффициент сглаживания этого фильтра ниже, чем фильтра с
нагрузкой в коллекторной цепи.
можно увеличить, если в схему последовательно с резистором
ввести дроссель L (рис.14) или применить двухфазную фильтрующую цепочку на входе (рис.15), либо составной транзистор (рис.16), или же увеличить число звеньев (рис.17).
Рис.14
Рис.15
Рис.16
Рис.17
Сглаживающие фильтры в микроэлектронном исполнении обладают высокими качественными показателями – значительным коэффициентом фильтрации, низким выходным сопротивлением, хорошими динамическими характеристиками.
Схема активного сглаживающего фильтра (АСФ) в гибридно-интегральном исполнении с регулирующим элементом повышенной мощности, выполняется в виде составного транзистора.
Сетевые фильтры
Высшие гармонические токи в обмотках генератора питающих сеть, вызывают в них дополнительные потери мощности и нагрев. Падение напряжения от высших гармонических на внутренних сопротивлениях питающей сети (индуктивностях) вызывает искажения формы кривой напряжения питания, что оказывает вредное влияние на работу других потребителей.
Искажения формы кривой напряжения особенно ощутимы, когда выпрямитель питается от сети, мощность которой соизмерима с мощностью, потребляемой выпрямителем.
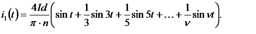
Разложение в ряд Фурье кривой первичного тока, однофазных выпрямителей дает:

В токе
помимо основной присутствуют также 3-я, 5-я, 7-я гармоники и т.д. Процентный состав гармонических в кривой тока
по отношении к амплитуде основной гармоники, принимаемой за 100% следующий: 3-я гармоника – 33%; 5-я – 20%; 7-я – 14,3%; 9-я – 11,1%; 11-я – 9,1%; и т.д.
Кривая
определяется рядом Фурье вида:
- для однофазных выпрямителей:

где
.
- для трехфазного мостового
:

В этом выражении в кривой тока
отсутствует 3-я гармоника и гармоники, кратные ей. Благодаря этому упрощается задача фильтрации гармонических в кривой тока сети.
Состав гармонических: 5-я – 20%; 7-я – 14,3%; 11-я – 9,1% и т.д.
Для исключения влияния высших гармонических на питающую сеть применяют сетевые фильтры. Они представляю собой цепь из последовательно соединенных конденсаторов и индуктивностей катушки, настроенной в резонанс на частоту соответствующей гармонической тока и подключают параллельно шинам питающей сети в близи выпрямительной установке на частоте гармонической тока. Такая цепь обладает малым сопротивлением и оказывает для гармонической шунтирующее действие, не пропуская её в питающую сеть.
| <== предыдущая лекция | | | следующая лекция ==> |
| Тепловые насосы | | | Скорость химической реакции. |
Дата добавления: 2015-10-21; просмотров: 4748;
