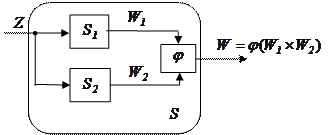
Параллельное соединение. Начальное состояние не выделено.
Начальное состояние не выделено.
- функциональный преобразователь (автомат без памяти).
.
Результирующий автомат 
1.
- множество всевозможных пар вида
;
2.
- входной алфавит автоматов
и
;
3.
- заданное отображение
4. Функция переходов
определяется следующим образом:
, или по другому:

5. Функция выходов
определяется следующим образом:
, или иначе:
.
Пример:

|
| ||||||||||||
|
|
|
|
|
| ||||||||
|
|
|
|
|
|
|
| ||||||
|
|
|
|
|
|
|
| ||||||
|
|
| |||||||||||
|
|
|
|
|
| ||||||||
|
|
|
|
|
|
|
|
| |||||
|
|
|
|
|
|
|
|
|
Построим автомат
.




|
|
|
|
|
| |
|
|
|
|
|
| |
|
|
|
|
|
|
|
|
|
|
|
|
|
|

|
|
|
|
|
| |
|
|
|
|
|
| |
|
|
|
|
|
|
|
|
|
|
|
|
|
|
Построение таблиц:
Пример

Последовательное соединение:


, у которого:
1)
, или

2) 
3) 
4)
, определяется следующим образом:
или

5)
, определяется следующим образом:
или

Пример:
- тот же, что при параллельном соединении.

|
| |||||||
|
|
|
|
|
| |||
|
|
|
|
|
|
|
| |
|
|
|
|
|
|
|
|
|
| ||||||||
|
|
|
| ||||||
|
|
|
|
|
| ||||
|
|
|
|
|
|
Результирующим автоматом будет автомат
, у которого
1) 

2) 
3) 
4) 
|
|
|
|
|
| |
|
|
|
|
|
| |
|
|
|
|
|
|
|
|
|
|
|
|
|
|
Здесь, например, 

5) 
|
|
|
|
|
| |
|
|
|
|
|
| |
|
|
|
|
|
|
|
|
|
|
|
|
|
|
Дата добавления: 2015-08-11; просмотров: 701;
